Na czym polega analiza, a na czym synteza układu?
Analiza układu / lub jego modelu matematycznego / polega na pobudzeniu go sygnałem zdeterminowanym lub losowym i badaniu zmian wartości wielkości wyjściowych.
Synteza. Celem syntezy jest określenie celowego, wzajemnego uwarunkowania sygnałów układu, gwarantującego wykonanie zadania sterowania.
W jakim celu dokonuje się analizy układu?
Wymienić i omówić standardowe sygnały wymuszające?
Najczęściej stosuje się następujące sygnały wejściowe / wymuszające /:
1. Skok jednostkowy 1 ( t ). Przy stosowaniu tego sygnału założono, że czas jednego narastania jest równy zeru, co jest tylko przybliżeniem w stosunku do rzeczywistości, dającym jedna w wielu przypadkach obraz wystarczająco dokładny. Niekiedy stosuje się sygnał skokowy o amplitudzie U0 , który zapisuje się w postaci u(t) = U0 1(t). Funkcja skokowa przedstawia nagłe przyłożenie siły, napięcia, ciśnienia itd. Zamiast skoku jednostkowego stosuje się także skok przesunięty w czasie lub impuls prostokątny.
2. Impuls / funkcja / Diraca δ ( t ). Impuls Diraca jest definiowany jako impuls o nieskończenie wielkiej amplitudzie i nieskończenie małym czasie trwania oraz o polu równym jedności. Analitycznie zapisać to można:
oraz
Funkcja impulsowa przedstawia: impuls elektryczny, uderzenie mechaniczne, hydrauliczne itp. Tego rodzaju sygnał, jakkolwiek zdefiniowany w sposób zupełnie abstrakcyjny, znajduje szerokie zastosowanie w badaniu dynamiki układów.
3. Funkcje potęgowe. Funkcje te ogólnie można przedstawić w postaci:
u(t) = U0 t n 1 (t) , n = 1, 2, 3, .... Jeśli n = 1 to u(t) jest funkcją liniowo-narastającą, jeśli n = 2 - funkcją paraboliczną itd. Funkcje te wykorzystuje się głównie do analizy układów śledzących.
4. Funkcja harmoniczna. Najczęściej stosuje się sygnał sinusoidalny o postaci:
u(t) = U0 sin ωt . Jeżeli wymuszenie nie jest przyłożone w chwili t = o , lecz z pewnym opóźnieniem t = t 1 , funkcja opisująca takie wymuszenie ma postać:
u(t) = 1 ( t - t 1 ) U0 sin ω ( t - t 1 ) . Na tego typu sygnale bazują głównie metody częstotliwościowe analizy.
Scharakteryzować klasyczne metody analizy.
Klasyczne metody analizy bazują na teorii rozwiązania równań różniczkowych i nazwane są także metodami analizy układów w dziedzinie czasowej. metody wymienione poniżej mogą być stosowane stosowane wyłącznie w przypadku liniowych równań różniczkowych zwyczajnych. Mają one jednak tą zaletę, że w wyniku uzyskuje się rozwiązanie w ogólnej analitycznej postaci, słuszne dla wszystkich dopuszczalnych wartości parametrów i warunków początkowych.
Rozwiązanie różniczkowego, niejednorodnego równania liniowego, składa się z dwóch części:
1/ rozwiązania szczególnego równania niejednorodnego, które opisuje zachowanie się układu w stanie ustalonym; rozwiązanie to często nazywane jest składową wymuszoną i charakteryzuje właściwości transmisyjne układu w odniesieniu do danego wymuszenia. rozwiązaniem szczególnym jest funkcja spełniająca wyjściowe równanie różniczkowe z zadaną funkcją wymuszającą i otrzymuje się go z rozwiązania niejednorodnego równania różniczkowego. Jeżeli rozwiązanie to jest w postaci funkcji uwikłanej, to nazywa się je całką szczególną tego równania. W przypadku analizy stacjonarnych układów liniowych zachodzi konieczność rozwiązania równań różniczkowych o stałych współczynnikach, przy czym prawe strony tych równań są określone poprzez funkcje standardowe typu: impuls Di raca, funkcje potęgowe lub funkcje harmoniczne. Wówczas możliwe jest dla równania niejednorodnego znalezienie rozwiązania szczególnego za pomocą metody uzmiennienia stałych lub metody współczynników nieoznaczonych.
2/ rozwiązania ogólnego równania jednorodnego, opisującego stan nieustalony układu; rozwiązanie to nazywane jest także składową swobodną. Rozwiązaniem ogólnym nazywa się funkcją spełniającą wyjściowe równanie różniczkowe przy założeniu, że funkcja wymuszająca u(t) ≡ 0 . równanie takie nazywa się jednorodnym równaniem różniczkowym zwyczajny. Postać rozwiązania ogólnego zależna jest od rodzaju pierwiastków równania charakterystycznego. Rozróżnia się tu trzy przypadki:
wszystkie pierwiastki równania charakterystycznego są różne i rzeczywiste,
wszystkie pierwiastki równania charakterystycznego są różne, ale wśród nich są pierwiastki zespolone,
równanie charakterystyczne posiada pierwiastki wielokrotne.
Podać interpretację fizyczną rozwiązania szczególnego i ogólnego równania różniczkowego.
Podstawowe zasady wyznaczania rozwiązania szczególnego liniowego równania różniczkowego o stałych współczynnikach.
Rozwiązaniem szczególnym jest funkcja spełniająca wyjściowe równanie różniczkowe z zadaną funkcją wymuszającą i otrzymuje się go z rozwiązania równania różniczkowego. Jeżeli rozwiązanie to jest dane w postaci funkcji uwikłanej, to nazywa się je całką szczególną tego równania. W przypadku analizy stacjonarnych układów liniowych zachodzi konieczność rozwiązania równań różniczkowych o stałych współczynnikach, przy czym prawe strony tych równań są określone poprzez funkcje standardowe typu: impuls Di raca, funkcje potęgowe lub funkcje harmoniczne. Wówczas możliwe jest dla równania niejednorodnego znalezienie rozwiązania szczególnego za pomocą metody uzmiennienia stałych lub metody współczynników nieoznaczonych.
Podstawowe zasady wyznaczania rozwiązania ogólnego.
To pytanie jest mniej więcej opisane wyżej.
Omówić metody operatorowe analizy.
Jakie korzyści w analizie układów daje zastosowanie przekształcenia Laplace'a.
Zastosowanie przekształcenia Laplace'a do rozwiązań równań różniczkowych daje następujące korzyści:
włącza automatycznie warunki początkowe,
rozwiązanie uzyskuje się przez proste operacje algebraiczne,
paca jest usystematyzowana,
użycie tablicy transformat zmniejsza nakład pracy potrzebny przy rozwiązywaniu,
umożliwia proste ujęcie nieciągłych sygnałów wejściowych,
rozwiązanie ogólne i szczególne uzyskuje się jednocześnie.
Wadą tej metody jest przede wszystkim to, że brak zrozumienia teorii może prowadzić do poważnych błędów, a także pewne typy równań różniczkowych dają się rozwiązać łatwiej metodami klasycznymi.
Jakie warunki musi spełniać funkcja f(t) aby można było wyznaczyć jej transformatę F(s)?
Aby przekształcenie (transformata) miało sens, całka występująca po prawej stronie wzoru musi być zbieżna, tj.
Przekształcenie powinno być także jedno-jednoznaczne, tzn. danej funkcji f(t) powinna odpowiadać jedna i tylko jedna transformata F(s) i na odwrót - danej transformacie F(s) powinna odpowiadać jedna i tylko jedna funkcja / oryginał / f(t). Powyższe jest spełnione jeśli:
1. Funkcja f(t) jest ciągła dla t ≥ 0, poza co najwyżej punktami izolowanymi, w których ma nieciągłości pierwszego rodzaju, tzn. posiada w tych punktach skończone granice prawo- i lewostronne, przy czym w skończonym przedziale leży skończona liczba takich punktów.
2. Funkcja f(t) ≡ 0 dla t < 0.
3. Funkcja f(t) jest wykładniczego rzędu, tzn. istnieją takie liczby rzeczywiste a i M większe od zera, że dla t > 0 f(t)≤ Me a t. Warunek ten oznacza, że funkcja da się ograniczyć krzywymi wykładniczymi.
5.11 Co to znaczy , że funkcja jest wykładniczego rzędu ?
Funkcja f(t) jest wykładniczego rzędu tzn. istnieją takie liczby rzeczywiste a i M większe od zera , że dla t > 0
| f(t) | ≤ M eat warunek ten oznacza , że funkcja f(t) da się ograniczyć krzywymi wykładniczymi .
5.12 Wymienić podstawowe własności przekształcenia Laplace'a ?
Podstawowe własności to :
- Liniowość * [ a1f1 (t) +a2f2 (t)]= a1F1 (s)+a2F2 (s)
- Przeunięcie w dziedzinie zmiennej rzeczywistej * [ f(t-t0) 1(t-t0)]= e -sto F (s)
- Rózniczkowanie w dziedzinie zmiennej zespolonej (ogólnie) * [tn f(t) ]= (-1)n
- Przesunięcie w dziedzine zmiennej zespolonej * [e at f(t)]= F (s - a)
- Różniczkowanie w dziedzinie zmiennej rzeczywistej
- Transformata funkcji okresowej
5.13 Przedstawić sposoby wyznaczania odpowiedzi czasowej na podstawie :
- bezpośredniego korzystania z tablic
Transformaty najczęściej spotykanych funkcji zostały zebrane i stablicowane . Można się nimi posługiwać przy rozwiązywaniu równań różniczkowych . Orginały dla najczęściej spotykanych transformat zamieszczono w tabelach .
Najczęściej jednak transformata określona jako wynik rozwiązania równania różniczkowego albo nie znajduje się w tablicach albo występuje w postaci uniemożliwiającej korzystanie z tabeli .Wówczas należy transformatę tak przekształcić aby można było posłużyć się tabelami lub ewentualnie korzystać z podstawowych twierdzeń dotyczących transformaty Laplace'a .
- metody rozdziału na ułamki proste
Gdy transformata odpowiedzi Y(s) jest funkcją wymierną , będącą ilorazem dwóch wielomianów o stałych współczynnikach , to wtedy przekształcenie odwrotne wyznacza się po rozłożeniu Y(s) na ułamki proste . Zakłada się , że stopień m wielomianu licznika jest mniejszy od stopnia wielomianu mianownika . Gdy natomiast zachodzi n=m ,to należy wykonać dzielenie licznika przez mianownik , co spowoduje obniżenie stopnia licznika . W metodzie rozkładu na ułamki proste mogą występować różne przypadki w zależności od tego , jakie są pierwiastki mianownika .
- metody residuów
Metoda residuów jest ogólniejsze od metody rozkładu na ułamki proste , gdyż ma zastosowanie także do transformat nie będących funkcjami wymiernymi . Podstawowym wzorem tej metody jest * -1[Y(s)] = ![]()
5.14 Kiedy wskazane jest stosowanie metody współczynników nieoznaczonych do wyznaczania współczynników
rozkładu transformaty na ułamki proste ?
Metode tą stosuje się wtedy , kiedy występują pojedyńcze i wielokrotne rzeczywiste pierwiastki .
5.15 Jakie są podstawowe zasady budowy schematów blokowych ?
Schematy blokowe elementów lub układów automatyki sporządza się na podstawie ich schematów konstrukcyjnych lub wyznaczonych uprzednio modeli matematycznych . Ogólne zasady postępowania można sprowadzić do następującej procedury :
- na podstawie schematu konstrukcyjnego określić schemat funkcjonalny , wyodrębniający poszczególne podzespoły i elementy z uwzględnieniem przepływu sygnałów między nimi
- dla każdego podzespołu czy też elementu zbudować schemat ideowy
- na podstawie schematów ideowych wyznaczyć modele matematyczne
- jeżeli układ równań jest nieliniowy , dokonaćjego linearyzacji
- dokonać transformacji Laplace'a zlinearyzowanego układu równań różniczkowych
- na podstawie układu równańoperatorowych i schematu funkcjonalnego narysować schemat blokowy .
5.16 W jakim celu przekształca się schematy blokowe ?
Schematy blokowe przekształca się w celu doprowadzenia ich do postaci dogodnej pod względem przeprowadzanych rozważań .
5.17 Podstawowe metody przekształcania schematów blokowych - omówić i podać przykłady ?
Znane są cztery metody pzrekształcania (upraszczania) schematów blokowych :
- metoda przekształcania układu równań opisujących układ (stosuje się najczęściej na etapie budowy schematu blokowego)
- metoda krok po kroku przez kolejne dokonywanie prostych przekształceń schematu (pozwala zarówno przekształcać jak i upraszczać schema blokowy . Stosuje się ją do przekształcania dowolnie skomplikowanych schematów . Zalety : nie wymaga określania klasy schematu , a więc ma zastosowanie do wszystkich schematów układów liniowych ; umożliwia dokonywanie kontroli poprawności każdego kroku .)
- metoda mnemotechniczna ( stosuje się do przekształcania schematów blokowych ograniczonej klasy układów tj. schematów , które w torze głównym nie posiadają połączeń równoległych , a posiadają znaczną ilość połączeeń szeregowych i sprzężeń zwwnętzrnych . Korzystając z tej metody postępuje się następująco :
- ustala się ilość torów , którymi można przejść od wyjścia do wejścia
- dla każdego toru buduje się ułamki , którymi licznikami jest iloczyn transmitancji członów gałęzi sprzężenia zwrotnego występujących w danym torze , a mianownikiem - gałęzi głównej
- odwrotność transmitancji układu jest sumą utworzonych ułamków )
- metoda Masona
5.18 W jakich przypadkach wygodniej stosować jest schematy blokowe , a w jakich - grafy przepływu sygnałów ?
Zaletą metody schematów blokowych jest to , że dają one dogodny i przejrzysty obraz struktury układu sterowania i funkcjonalnych powiązań między poszczególnymi częściami układu , głównie z punktu widzenia powiązań między wejściem a wyjściem. Natomiast grafy przepływu sygnałów przedstawiają model układu w sposób mniej obrazowy , ale mają z kolei tę zaletę , że na ich podstawie łatwiej można określić transmitancje między dowolnymi punktami układu .
5.19 Scharakteryzować podstawowe zasady budowy grafów przepływu sygnałów ?
Model matematyczny opisany układem równań algebraicznych przedstawia się graficznie rysując tzw. graf przepływu sygnałów , definiowany jako zbiór punktów zwanych wężłami i skierowanych gałęzi łączących ze sobą odpowiednie węzły . W takim grafie węzły reprezentują zmienne niezależne lub zależne , krótko mówiąc - sygnały , natomiast gałęzie - transmitancje opisujące związki między sygnałami .
5.21 Wymienić i podać interpretację fizyczną podstawowych parametrów członków dynamicznych i
układów regulacji ?
Parametry i ich interpretacja fizyczna:
- współczynnik wzmocnienia statycznego k , który określa wzmocnienie układu w stanie ustalonym przy stałym sygnale wejściowymm
- wzmocnienie amplitudowe układu określone jako moduł z G(jω), co odpowiada stosunkowi amplitud syg. wyjściowego i wejściowego w stanie ustalonym , przy wymuszeniu harmonicznym .
- stała czasowa T
- współczynnik tłumienia ξ , zdefiniowany jako stosunek rzeczywistego współczynnika tłumienia do krytycznego wspólczynnika tłumienia
- pulsacja drgań własnych nietłumionych ωn , jest to pulsacja drgańodpowiedzi układu w przypadku braku tłumienia , układ generuje wówczas oscylacje , których amplituda nie maleje z upływem czasu
- pulsacja drgań własnych tłumionych ωt , jest to pulsacja ,z jaką oscyluje odpowiedź układu tłumionego
- przeregulowanie ℵ, parametr ten określa maksymalne odchylenie odpowiedzi skokowej układu odniesione do wartości ustalonej tej odpowiedzi i wyrażony jest w procentach .
- czas ustalania tr , dla układów regulacji parametr ten nazywany jest czasem regulacji i jest to czas do chwili osiągnięcia przez odpowiedź skokową układu stanu ustalonego z określoną dokładnością
- uchyb ustalony eu , parametr ten określa wartość uchybu e(t) w stanie ustalonym . Charakteryzuje tylko układ regulacji .
Jakie zależności występują między sygnałami w układzie regulacji ?
U E G Y Y=G*E
E=U-HY
G0=G*H
Gu=E/U=1/1+GH
H Gz=Y/U=G/1+GH
Co oznaczają pojęcia statyzmu i astatyzmu układu regulacji ?
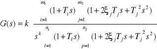
Ogólną postać transmitancji układu otwartego przedstawia wyrażenie:

Kk- współczynnik wzmocnienia statycznego (k=0), prędkościowego (k=1), przyśpieszeniowego (k=2), sk-
k-krotny biegun s=0. W zależności od wartości k rozróżnia się następujące układy zamknięte:
statyczne (astatyczne zerowego rzędu) k=0;
astatyczne pierwszego rzędu k=1;
astatyczne p-tego rzędu k=p.
Czy astatyzm względem sygnału zadanego jest równoważny astatyzmowi względem zakłucenia?
Jakie są sposoby wyznaczania uchybu ustalonego ?
![]()

C0u(t)- uchyb położeniowy; C1du(t)/dt- uchyb prędkościowy; C2d2u(t)/2dt2- ucyb przyspieszeniowy
Dla k=0 ![]()
,
Dla k=1 C0=0, ![]()
, 
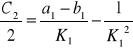
Dla k=2 C0=0 , C1=0 , ![]()
, ![]()
Na czym polegają metody częstotliwościowe analizy ?
Metoda analizy układów w dziedzinie częstotliwościowej upraszcza tok postępowania przy badaniu złożonych układów wyższych rzędów gdyż w dziedzinie częstotliwościowej operacje na transmitancjach ograniczają się do operacji arytmetycznych na liczbach zespolonych (dodawanie, mnożenie itp.).
Jakie są podstawowe człony dynamiczne i ich transmitancje ?
człon proporcjonalny G(s)=k;
człon inercyjny pierwszego rzędu ![]()
;
człony całkujące ![]()
;
człony całkujące z inercją ![]()
;
człony różniczkujące G(s)=ks;
człony różniczkujące z inercją ![]()
;
człony drugiego rzędu ![]()
;
człon opóźniający ![]()
;
przesuwnik fazowy ![]()
;
przesuwnik fazowy drugiego rzędu 
;
człon forsujący G(s)=1+Ts lub G(s)=1-Ts
Określić dla każdego członu dynamicznego charakterystyki czasowe i częstotliwościowe.
Podać przykłady realizacji praktycznej członów podstawowych.
-człon proporcjonalny : dzielnik napięcia, idealny wzmacniacz elektroniczny, prądnica tachometryczna, dźwignia dwuramienna, prasa hydrauliczna.
-człon inercyjny pierwszego rzędu : czwórnik RC, obcowzbudny generator prądu stałego, ruch masy pod wpływem siły z uwzględnieniem tarcia lepkiego, zbiornik gazu z tłumionym dopływem.
-człony całkujące : kondensator idealny, zbiornik cieczy, siłownik hydrauliczny, silnik elektryczny.
-człony całkujące z inercją : silnik prądu stałego, siłownik hydrauliczny, przekładnia mechaniczna.
-człony różniczkujące : kondensator idealny, idealny tłumik olejowy, sprężyna idealna, prądnica tachometryczna.
-człony różniczkujące z inercją : czwórnik RC, czwórnik RL, silnik prądu stałego jako pojemność dynamiczna, transformator stabilizujący, tłumik olejowy.
-człony drugiego rzędu : czwórnik RLC o odpowiednio dobranych parametrach, dwa czwórniki RC połączone kaskadowo, silnik obcowzbudny prądu stałego.
-człon opóźniający : linia długa przenośnik taśmowy, rurociąg.
-przesuwnik fazowy : mostek RC.
Co to jest układ minimalnofazowy, a co nieminimalnofazowy ? Podać przykłady.
Układy minimalnofazowe są to układy dla których przebieg charakterystyki fazowej jest określony jednoznacznie przez charakterystykę amplitudową. Do układów minimalnofazowych zalicza się następujące człony podstawowe : proporcjonalny (k>0), inercyjny (k>0, T>0), całkujący (k>0, T>0), różniczkujący (k>0, T>0), oscylacyjny (k>0, ξT>0), forsujący (T>0). Układy nieminimalnofazowe to układy dla których przebieg charakterystyki fazowej nie jest określony jednoznacznie przez charakterystykę amplitudową. Do układów nieminimalnofazowych zalicza się człony : proporcjonalny (k<0), inercyjny (k<0, T<0), całkujący (k<0, T<0), różniczkujący (k<0, T<0), oscylacyjny (k<0, ξT<0), forsujący (T<0), opóźniający i przesuwnik fazowy.
Jakimi sposobami wyznaczyć można charakterystyki częstotliwościowe układu gdy dana jest jego transmitancja ?
Transmitancję operatorową liniowego układu stacjonarnego minimalnofazowego będącego funkcją wymierną zmiennej zespolonej s można przedstawić w postaci :

z tego wzoru wynika że logarytmiczne charakterystyki układu o podanej transmitancji można wyznaczyć jako sumę algebraiczną logarytmicznych charakterystyk członów : proporcjonalnego, idealnie całkującego, forsującego, inercyjnego pierwszego rzędu i oscylacyjnego.
5.32 Wymienić i omówić podstawowe rodzaje zmiennych stany układu ?
Zmienne stanu fizykalne : reprezentują odpowiednie wielkości fizyczne występujące w układzie ;
Zmienne stanu fazowe : stanowią przypadek szczególny zmiennych stanu ; często stosuje się je ze względu na to , że otrzymuje się wtedy postać dogodną do rozważań analitycznych , obliczeń i modelowania analogowego .
Zmienne stanu kanoniczne : zmienne stanu odpowiadają postaci kanonicznej Jordana macierzy stanu , w szczególności macierzy diagonalnej .
5.33 Co to jest przestrzeń stanów , a co przestrzeń fazowa ?
5.34 Podać zalety i wady metody przestrzeni stanów ?
Metody przestrzeni stanów pozwalają :
- sformalizować zapis modelu matematycznego poprzez stosowanie równań wektorowo-macierzowych , umożliwiających analizę nawet bardzo złożonych systemów przy pomocy prostych reguł rachunku macierzowego
- łatwo uwzględnić warunki początkowe
- opisać także układy wtedy , gdy opis przy pomocy transmitancji jest niewystarczający , niemożliwy lub fałszywy
- łatwo opisać obiekty niestacjonarne i nieliniowe
5.35 Omówić podstawowe zasady zapisu układów przestrzeni stanów ?
Zapisać transmitancje bez zer i z zerami w przestrzeni stanów.
Zapisać transmitancje o pojedynczych i wielokrotnych biegunach w przestrzeni stanów metodą szeregową i równoległą?
Podać sposób zapisu w przestrzeni stanów transmitancji o biegunach zespolonych?
Wymienić i podać cel stosowania podstawowych transmitancji zmiennych tanu?
Co to są wartości własne układu ?
Równania stanu układu dynamicznego mają postać :
dx/dt=Ax(t)+Bu(t), x0=x(t0)
y(t)=Cx(t)+Du(t)
Równanie charakterystyczne macierzy stanu A określone jest w postaci wyznacznika det(λI-A)=0 a jego pierwiastki λ1,λ2,...,λn nazywane są wartościami własnymi.
Metody transformacji równania stanu do postaci kanonicznej Jordana.
T-1AT=J Można wykazać że jeżeli macierz A jest macierzą Frobeniusa spełniającą założenia (macierz podobna do diagonalnej) to tę ostatnią można przetransformować do postaci Jordana za pomocą macierzy Vandermonde'a V:
0 1 0 ... 0 1 1 ... 1
0 0 1 ... 0 λ1 λ2...λn
A=F= ...................... T=V= λ21 λ22...λ2n
0 0 0 1 .................
-a0 -a1 -a2 -an-1 λ1n-1 λ2n-1...λ3n-1
6.1 Wyjaśnić pojęcia układ :
stabilny - jeśli wielkość wyjściowa , jako odpowiedź na dowolne ograniczone wymuszenie , będzie ograniczona
stabilny asymptotycznie - jeśli y(t) dla t→∝ po zaniknięciu wymuszenia zdąża do stanu równowagi (lub trajektoria stanu zdąża do punktu równowagi )
stabilny nieasymptotycznie - gdy odpowiedź y(t) dla t→∝ nie zdąża do stanu równowagi , ale jest ograniczona
stabilny globalnie - gdy układ jest stabilny dla dowolnych warunków początkowych
stabilny lokalnie - jeżeli jest stabilny dla warunków początkowych leżących w pobliżu stanu równowagi
niestabilny - gdy y(t) →∝ dla t→∝
6.2 Co to jest punkt (stan) równowagi ?
Stan równowagi jest to stan , do którego wraca układ po ustaniu działania wymuszenia , w jakim znajdował się przed zmianą wymuszenia .
6.3 Jakie są znane kryteria stabilności i kiedy można je stosować ?
- algebraiczne kryteria stabilności - pozwalają stwierdzić czy liniowy układ jednowymiarowy jest stabilny asymptotycznie na podstawie wartości współczynników równania charakterystycznego - bez jego rozwiązywania tzw. warunek konieczny . Warunki dostateczne podali Routh oraz Hurwitz.
a)kryterium Routha - aby sprawdzić stabilność układu , wyznacza się tzw. tabelę Routha i na podstawie własności jej wyrazów sprawdza się czy spełniony warunek dostateczny stabilność asymptotycznej .
b)kryterium Hurwitza
- częstotliwościowe kryteria stabilności
Podać warunek konieczny i wystarczający stabilności asymptotycznej układu.
- Układ jest stabilny asymptotycznie, gdy spełniony zostanie warunek konieczny i dostateczny: wszystkie rzeczywiste pierwiastki równania charakterystycznego / bieguny transmitancji lub wartości własne macierzy stanu / wszystkie części rzeczywiste pierwiastków zespolonych muszą być ujemne - czyli pierwiastki te muszą w lewej półpłaszczyźnie zmiennej zespolonej.
- Warunek konieczny, ale niewystarczającym stabilności asymptotycznej układu jest żeby jego równanie charakterystyczne miało wszystkie współczynniki a0, a1, ...., an jednego znaku niezerowe. Dowód tego warunku wynika z rozłożenia wielomianu na czynniki i po założeniu, że wszystkie pierwiastki leżą w lewej półpłaszczyźnie.
Warunek dostateczny, których spełnienie zapewnia stabilność asymptotyczną układu zostały podane przez Routha oraz Hurwitza.
Procedura analizy stabilności w oparciu o tabele Routha
1. Warunkiem koniecznym i wystarczającym żeby układ był stabilny asymptotycznie jest, by wszystkie wyrazy pierwszej kolumny tabeli Routha były dodatnie lub w ogólnym przypadku niezerowe i tego samego znaku.
2. Jeżeli układ jest niestabilny, to ilość zmian znaku w pierwszej kolumnie jest równa ilości pierwiastków leżących w prawej półpłaszczyźnie
3. Jeśli wyraz w pierwszej kolumnie w dowolnym wierszu jest równy zeru, a pozostałe wyrazy są różne od zera, to wyraz zerowy można zastąpić przez bardzo małą liczbę dodatnią „e” i obliczyć pozostałą część tabeli. Gdy znak współczynnika zajmującego w tabeli miejsce powyżej zera „e” jest taki sam jak poniżej, oznacza to, że występuje para pierwiastków urojonych. Jeżeli jednak znaki są przeciwne, oznacza to, że występują dwie zmiany znaków.
4. Jeśli wszystkie współczynniki w dowolnym z obliczonych są równe zeru, wskazuje to, że jedna lub więcej par pierwiastków rzeczywistych ma równe wartości bezwzględne, a przeciwne znaki lub występuje jedna lub więcej par pierwiastków urojonych.
Kryterium Hurwitza podaje warunki, które powinny być spełnione, aby równanie charakterystyczne układu miało wyłącznie pierwiastki leżące w lewej półpłaszczyźnie. Aby to zachodziło, muszą być spełnione warunki:
1. Wszystkie współczynniki równania są większe od zera / jest to warunek konieczny, ale nie wystarczający /.
2. Podwyznaczniki Δ i , i = 2, 3, ..., n - 1, wyznacznika głównego Δ n , są większe od zera.
Co to jest równanie / wielomian / charakterystyczne układu.
Równanie charakterystyczne jest to równanie różniczkowe którego zadaniem jest przedstawienie odpowiedzi układu na sygnał wejściowy ( wymuszenie w postaci funkcji stałej lub innej funkcji okresowej ), inaczej mówiąc przedstawia odpowiedź układu w postaci zależności sygnałów; wejściowego do wyjściowego.
Określić wpływ położenia biegunów na charakterystyki układu.
Wymienione zostały w 6.4
Układ jest stabilny asymptotycznie, gdy spełniony zostanie warunek: wszystkie rzeczywiste pierwiastki równania charakterystycznego / bieguny transmitancji lub wartości własne macierzy stanu / wszystkie części rzeczywiste pierwiastków zespolonych muszą być ujemne - czyli pierwiastki te muszą w lewej półpłaszczyźnie zmiennej zespolonej.
Układ jest stabilny nieasymptotycznie, / stabilny w sensie Lapunowa /, gdy oprócz pierwiastków leżących w lewej półpłaszczyźnie występują:
jeden pierwiastek rzeczywisty równy zeru,
pojedyncze pary pierwiastków urojonych,
jeden pierwiastek rzeczywisty i pojedyncze pary pierwiastków urojonych,
tzn. Żaden z pierwiastków nie znajduje się w prawej półpłaszczyźnie, natomiast na osi urojonej występują pierwiastki pojedyncze, w tym co najwyżej jeden rzeczywisty równy zeru.
Układ jest niestabilny, jeśli co najmniej jeden pierwiastek znajduje się w prawej półpłaszczyźnie zmiennej losowej
Przedstawić kryterium stabilności Routha.
Aby stwierdzić stabilność układu wyznacza się tzw. tabelę Routha i na podstawie właściwości jej wyrazów sprawdza się czy jest spełniony warunek dostateczny stabilności asymptotycznej.
Poszczególne wyrazy b1,b2,...,c1,c2,...,k1,l1 znajdujące się w kolejnych wierszach i kolumnach oblicza się wg zasady : b1=(an-1an-2 - anan-3)/an-1 , b2=(an-1an-4 - anan-5)/an-1 , c1=(b1an-3 - an-1b2)/b1,... itd.
sn |
an |
an-2 |
an-4 |
an-6 |
... |
sn-1 |
an-1 |
an-3 |
an-5 |
an-7 |
... |
sn-2 |
b1 |
b2 |
b3 |
b4 |
... |
sn-3 |
c1 |
c2 |
c3 |
... |
|
... |
... |
... |
|
|
|
s1 |
k1 |
0 |
|
|
|
s0 |
l1 |
0 |
|
|
|
Przedstawić kryterium stabilności Hurwitza.
Kryterium Hurwitza podaje warunki które powinny być spełnione aby równanie charakterystyczne układu
ansn + an-1sn-1+...+ a1s + a0 = 0 miało wyłącznie pierwiastki leżące w lewej półpłaszczyźnie. Aby to zachodziło muszą być spełnione warunki :
-wszystkie współczynniki równania są większe od zera ai>0 i=0,1,...,n
-podwyznaczniki Δi i=2,3,...,n-1 wyznacznika głównego Δn są większe od zera Δi>0 i=2,3,...,n-1
an-1 an 0 0 0 ... 0 an-1 an
an-3 an-2 an-1 an 0 ... 0 Δ2= an-3 an-2
Δn= an-5 an-4 an-3 an-2 an-1 ... 0
an-7 an-6 an-5 an-4 an-3 ... 0 an-1 an 0
........................................... Δ3= an-3 an-2 an-1
0 0 0 0 0 ... 0 an-5 an-4 an-3
Co to jest zapas stabilności ? Przedstawić sposób wyznaczania zapasu stabilności.
Projektując układ sterowania dąży się do tego aby jego bieguny (wartości własne) były odpowiednio oddalone od granicy stabilności którą stanowi oś urojona. Oddalenie to daje gwarancję że przypadkowe zmiany wartości parametrów tego układu nie spowodują jego niestabilności. Jak już wcześniej wspomniano miarą odległości położenia biegunów od granicy stabilności jest zapas stabilności. Zapas stabilności określa się za pomocą :
zapasu modułu (wzmocnienia) ΔLm lub Δa
zapasu fazy Δϕ


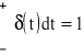
0 dla t ≠ 0
δ(t) =
∞ dla t = 0