łożysko, Dane


Dane

Obliczenia

Wyniki

D=300[mm]

n=50[obr/min]

Q=100[kN]

L=300[mm]

D=300[mm]

pśr=1,11[MPa]

pdop=15[MPa]

(pV)dop=10÷20[MW/m2]

D=300[mm]

1.Dane

siła poprzeczna Q=100[kN]

średnica czopa D=300[mm]

obroty n=50 [obr/min]

2. Założenia projektowe:

- długość względna L/D=1

- kąt opasania czopa przez panewkę β=1800

- łożysko chłodzone naturalnie

- materiał na korpus łożyska Zl200 wg PN-79/M-83101

- panewka wahliwie zamocowana w korpusie łożyska

smarowanie za pomocą pierścienia luźnego

3.Prędkość obwodowa czopa

0x01 graphic

4. Naciski średnie:

0x01 graphic

5. Materiał wykonania panewki:

Jako materiał panewki przyjmuje stop niskocynowy Łh16 według PN-62/M-87111 dla którego pdop=15[MPa] i (pV)dop=10÷20[MW/m2]

1,11<15 → pśr<pdop

0x01 graphic

pśrV<(pV)dop

6. Obliczenie wymiarów maksymalnych i minimalnych czopa wału i panewki dla pasowania φ300 H7/e8

Czop:

0x01 graphic

Otwór:

0x01 graphic

V=0,79[m/s]

pśr=1,11[MPa]

pdop=15[MPa]

(pV)dop=10÷20[MW/m2]

dmin=299,809 [mm]

dmax=299,89 [mm]

Dmin=300[mm]

Dmax=300,052 [mm]

Dane

Obliczenia

Wyniki

D=300[mm]

dmin=299,809 [mm]

dmax=299,89 [mm]

Dmin=300[mm]

Dmax=300,052 [mm]

αp=23*10-6

αw=11*10-6

TB0=313[K]

0x01 graphic

η= 0,05[Pa*s]

n=50[obr/min]

pśr=1,11[MPa]

0x01 graphic

s=0,055

β=1800

0x01 graphic

Q=100[kN]

V=0,79[m/s]

D=300[mm]

L=300[mm]

W=1[m/s]

P0=98,177[W]

K=19

A=1,35[m2]

7. Lepkość dynamiczna oleju turbinowego (SAE 20) w założonej wstępnie temperaturze pracy według charakterystyki temperaturowej oleju

TB0=400C= 313[K]

η= 0,05[Pa*s]

8. Rzeczywisty luz względny:

0x01 graphic

zmiana luzu wywołana temperaturą:

0x01 graphic

9.Liczba Sommerfelda:

0x01 graphic

10. Obliczenie współczynnika tarcia płynnego na podstawie charakterystyki pracy łożyska ślizgowego o L/D=1

0x01 graphic

11. Obliczenie mocy tarcia powstałej w wyniku tarcia wewnętrznego:

0x01 graphic

12. Temperatura łożyska wynikająca z bilansu cieplnego:

0x01 graphic

0x01 graphic

0x01 graphic

W-prędkość powietrza względem łożyska

0x01 graphic

0x01 graphic

TB0= 313[K]

η= 0,05[Pa*s]

0x01 graphic

0x01 graphic

s=0,055

0x01 graphic

P0=98,177[W]

A=1,35[m2]

W=1[m/s]

K=19

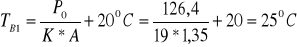
TB1=23,80C

Dane

Obliczenia

Wyniki

TB0=400C

TB1=23,80C

αp=23*10-6

αw=11*10-6

TB0=304,9[K]

0x01 graphic
η= 0,05[Pa*s]

n=50[obr/min]

pśr=1,11[MPa]

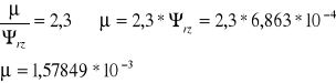
s=0,102

β=1800

0x01 graphic

Q=100[kN]

V=0,79[m/s]

P0=113,8[W]

K=19

A=1,35[m2]

αp=23*10-6

αw=11*10-6

TB0=301,15[K]

0x01 graphic
η= 0,1[Pa*s]

n=50[obr/min]

pśr=1,11[MPa]

s=0,16

β=1800

0x01 graphic

Q=100[kN]

V=0,79[m/s]

P0=124,7[W]

K=19

A=1,35[m2]

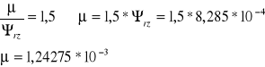
Dokonuje korekty temperatury:

0x01 graphic

KOLEJNY KROK ITERACJI

TB0=31,90C= 304,9[K]

η= 0,07[Pa*s]

zmiana luzu wywołana temperaturą:

0x01 graphic
0x01 graphic

0x01 graphic

0x01 graphic

0x01 graphic

Dokonuje korekty temperatury:

0x01 graphic

KOLEJNY KROK ITERACJI

TB0=28,150C= 301,15[K]

η= 0,1 [Pa*s]

zmiana luzu wywołana temperaturą:

0x01 graphic
0x01 graphic

0x01 graphic

0x01 graphic

0x01 graphic

Dokonuje korekty temperatury:

0x01 graphic

TB0'=31,90C

TB0= 304,9[K]

η= 0,07[Pa*s]

0x01 graphic

s=0,102

0x01 graphic

P0=113,8[W]

TB1=24,40C

TB0'=28,150C

TB0= 301,15 [K]

η= 0,1[Pa*s]

0x01 graphic

s=0,16

0x01 graphic

P0=124,7[W]

TB1=24,90C

TB0'=26,50C

Dane

Obliczenia

Wyniki

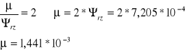
αp=23*10-6

αw=11*10-6

TB0=299,5[K]

0x01 graphic
η= 0,1[Pa*s]

n=50[obr/min]

pśr=1,11[MPa]

s=0,17

β=1800

0x01 graphic

Q=100[kN]

V=0,79[m/s]

P0=126,4[W]

K=19

A=1,35[m2]

β=1800

s=0,17

D=300[mm]

0x01 graphic

h0=0,02899 [mm]

Rzc=1,6μm

Rzp=3,2μm

KOLEJNY KROK ITERACJI

TB0=26,50C= 299,5[K]

η= 0,1 [Pa*s]

zmiana luzu wywołana temperaturą:

0x01 graphic
0x01 graphic

0x01 graphic

0x01 graphic

0x01 graphic

Dokonuje korekty temperatury:

0x01 graphic

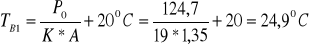
Różnica między temperaturą założoną TB0 a temperaturą obliczoną TB1 jest mniejsza niż 3 stopnie zatem po dokonaniu korekty temperatury mogę przyjąć temperaturę pracy łożyska jako TB1'=25,750C i dla tej temperatury poprawne są wartości:

s = 0,17

13. Minimalna grubość filmu olejowego:

Z wykresu dla s= 0,17 i β=180 odczytuje:

0x01 graphic

Warunek stabilności ruchu czopa jest spełniony, ponieważ h0/σ<0,3001

0x01 graphic

Warunek jest zachowany z nadmiarem wynoszącym

h0/( Rzc+ Rzp)=0,6

0x01 graphic

TB0= 299,5 [K]

η= 0,1[Pa*s]

0x01 graphic

s=0,17

0x01 graphic

P0=126,4[W]

TB1=250C

TB0'=25,750C

h0/σ=0,29

σ=0,099975

[mm]

h0=0,02899 [mm]

Dane

Obliczenia

Wyniki

0x01 graphic

0x01 graphic

Q=100[kN]

V=0,79[m/s]

q=1,4[l/min]

D=300[mm]

L=300[mm]

Q=100[kN]

η=0,1[Pa*s]

Vol=21205,75

[cm3]

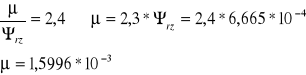
14. Wyznaczenia ilości oleju przepływającego przez szczelinę łożyskową wskutek ruchu obrotowego czopa:

Z wykresu odczytuje wskaźnik przepływu smaru:

0x01 graphic

Wskutek ciśnienia panującego w szczelinie smarnej łożyska część oleju qB wycieknie wzdłuż panwi. Upływy boczne obliczam na podstawie wskaźnika upływów bocznych:

0x01 graphic

Taką ilość oleju może dostarczyć tylko pierścień luźny o wymiarach: średnica wnętrza D= 375 [mm], szerokości b=35 [mm], głębokości zanurzenia pierścienia w oleju: t=28[mm]

15. Pozostałe parametry łożyska:

a) maksymalne ciśnienie w filmie olejowym:

0x01 graphic

b) Kąt określający miejsce maksymalnego ciśnienia na podstawie wykresu: θ=130

c) Kąt określający miejsce minimalnej grubości filmu olejowego(na podstawie wykresu)

φ=540

16. Minimalna prędkość obrotowa, przy której w łożysku może jeszcze występować tarcie płynne:

0x01 graphic

q=1,4[l/min]

qS=0,91[l/min]

D= 375 [mm]

b=35 [mm]

t=28[mm]

Pmax=4,5[MPa]

θ=130

φ=540

Vol=21205,75

[cm3]

nkr=47,2 [obr/min]

0x01 graphic

1



Wyszukiwarka

Podobne podstrony:
Inne, projekt 6 łożysko ślizgowe, Dane
Dane techniczne Wał korbowy Panewki łożysk głównych wału korbowego
C5 (X7) B1BBPGP0 2 17 08 2011 Dane techniczne Wał korbowy Panewki łożysk głównych wału korbowe
dane
3 łożyska ślizgowe
Przedwczesne odklejanie się łożyska prawidłowo usadowionego
ŁOŻYSKA TOCZNE
A dane,inf,wiedza,uj dyn stat proc inf w zarz 2008 9
Przedwczesne odklejanie się łożyska prawidłowo usadowionego
PKM lozyska slizgowe
Dane Projekt nr 1 MK
dane mastertig2300mls
Łożyska ślizgowe
Dane P1 F II nst 2010 11
Dane techniczne SW50 700 now
mury dane do tematu

więcej podobnych podstron