0.ZAGADNIENIA WSPOLNE
a)równanie określające strumień objętościowy dla jednowymiarowego, ustalonego, izotermicznego przepływu jednorodnego płynu nieściśliwego.
Równanie określające powyższe pyt. To całka równań Eulera wzdłuż linii prądu dla przepływów ustalonych, w polu sił grawitacyjnych, dla płynów nieściśliwych przybiera postać: ![]()
+![]()
+ z =const ; które znane jest jako równanie Bernoullego, ma ono szerokie zastosowanie w obliczaniu różnych zadań związanych z przepływami cieczy jak i gazów.
Gdzie; - ![]()
- wysokość prędkości
- ![]()
- wysokość ciśnienia
- z - wysokość położenia
1. CECHOWANIE ROTAMETRU.
a)zasada pomiaru strumienia objętości płynu rotametrem
Rotametr jest klasycznym przyrządem pływakowym służącym do pomiaru strumienia masy. W przezroczystym kanale rozszerzającym się ku górze znajduje się pływak swobodnie zawieszony w strumieniu płynu poruszającego się pionowo w górę. Płyn omywa pływak, przepływając następnie przez najmniejszy przekrój będący różnicą pomiędzy polem przekroju kanału i pływaka. W celu stabilizacji położenia pływaka zostaje on wprowadzony w ruch obrotowy wokół własnej osi za pomocą ukośnych rowków naciętych w górnej części pływaka.. Pływak utrzymuje się na określonej wysokości dzięki różnicy ciśnień w przestrzeni pod i nad pływakiem, która działając na pole przekroju pływaka równoważy jego pozorny ciężar (ciężar pomniejszony o siłę wyporu działającą zgodnie z prawem Archimedesa). Dla tego przypadku stosujemy wzór zwężkowy:![]()
![]()
f0 = F - f - pole przekroju przewężenia [m2]
delta - liczba przepływu
epsilon - liczba rozprężania (ekspansji)
delta p = p1 - p2 - ciśnienia przed i za pływakiem [Pa]
ro - gęstość wody [kg/m3]
Rotametry są wycechowane w jednostkach natężenia przepływu, przy czym dana skala obowiązuje dla określonego płynu, temperatury i zakresu przepływu.
błędy jakie mogą wystąpić podczas pomiarów
W celu uzyskania liniowej skali kształt wewnętrznej powierzchni rotametru w przedziale pomiarowym jest zbliżony do paraboloidy obrotowej. Rotametry są bardzo wrażliwe na zanieczyszczenia, które osiadając na pływaku zmieniają nie tylko jego masę, ale również gładkość jego powierzchni. Pierwsza z tych przyczyn wpływa na zmianę wartości delta p (zmienia się ciężar pozorny), druga - liczby przepływu alfa, występujących we wzorze, co w rezultacie jest przyczyną błędów pomiarowych. Zmiana temperatury powoduje również zmianę charakterystyki przyrządu i w zasadzie czyni jego skalę bezużyteczną. Dlatego też, gdy rotametry mają być użytkowane jako przyrządy pomiarowe, należy je wzorcować w temp., w jakich będą wykonywane pomiary. Oczywiście rotametry muszą być czyste. Może się zdarzyć, ze ulegną one zanieczyszczeniu w czasie trwania pomiarów, wpływając w istotny sposób na dokładność. Dlatego tez kontrolne wzorcowanie należy wykonywać również po ukończeniu cyklu pomiarowego. Rotametry spełniają dobrze swe zadania w przypadku, gdy dla istoty jakiegoś nadzorowanego procesu konieczne jest utrzymanie natężenia przepływu płynu na określonym poziomie z dość dużymi granicami tolerancji. Ze sposobu pracy wynika, że dla zachowania symetrii przepływu jego oś musi być pionowa. Dlatego też rotametry w lepszych wykonaniach są wyposażone w poziomice.
metoda cechowania rotametru i zakres ważności tego cechowania
Cechowanie polega na pomiarze faktycznego przepływu cieczy przez rotametr tzn. ustawia się na nim badaną wartość przepływu na skali rotametru, przepuszcza się dla tej wartości ciecz przez rotametr za pomocą której odmierzamy do naczynia określoną objętość cieczy do naczynia. Przy napełnianiu tego naczynia mierzymy jednocześnie czas napełnienia danej objętości. Mając dane wartości objętosci oraz czasu jego napełniania możemy obliczyć strumień przepływu masy przez rotametr tj. sprawdzić czy dane są faktyczne z tymi które są przedstawione na rotametrze. Korzystamy ze wzoru; Qrz =V : t
Cechowanie rotametru będzie prawidłowe wtedy gdy nie będą występowały błędy typu: ścianki kanału przepływowego jak i również pływaka nie będą pokryte zanieczyszczeniami, dokładnie wykonamy pomiary objetości cieczy i czasu jej napełniania,.
2. CECHOWANIE MANOMETRU NACZYNIOWEGO O POCHYŁEJ RURCE.
na czym polega cechowanie manometru naczyniowego o pochyłej rurce
Cechowanie manometru polega na sprawdzeniu szczelności a następnie wypoziomowaniu i wyzerowaniu manometrów. Następnie dokonać odczytów ciśnień w manometrze wzorcowym ascania , a następnie cechowanym w całym zakresie pomiarowym manometru cechowanego. Manometr cechowany jest manometrem Racknagla wypełnionym skażonym alkoholem etylowym , a wzorcowy wodą destylowaną. W oparciu o uzyskane wyniki wyznaczyć równanie przedstawiającą krzywą cechowania jako równania regresji liniowej.
porównanie manometru w kształcie litery U i manometru naczyniowego o pochyłej rurce
Manometry są to przyrządy służące do pomiaru różnicy ciśnień. Manometr składa się zasadniczo z dwóch komór oraz przegrody, której położenie lub odkształcenie jest zależne od wielkości różnicy ciśnień.
Do pomiaru małych różnic ciśnień używa się manometry cieczowe, w których ruchomą przegrodę stanowi słup cieczy zmieniające swoje położenie. Manometry cieczowe wykonane są z rurki szklanej, wygiętej w kształcie litery U (manometr U - rurkowy wypełniony wodą destylowaną, alkoholem, lub mieszaniną wody z alkoholem), wypełnionej cieczą manometryczną o gęstości większej od gęstości płynu w zbiorniku. Jeden koniec rurki jest połączony z naczyniem, drugi jest otwarty i pozostaje pod działaniem ciśnienia atmosferycznego. Manometr w kształcie litery U ma następujące wady: konieczność odczytywania poziomu cieczy w każdym z ramion manometru (podwójny odczyt), trudność dokładnego odczytu (odczytanie z dokładnością do 0,2 mm), niedokładność odczytu spowodowana meniskiem cieczy.
Celem uniknięcia konieczności odczytywania poziomu cieczy w każdym ramieniu z osobna, stosuje się manometr naczyniowy (jedno z jego ramion ma średnicę znacznie większą od średnicy drugiego) natomiast w celu zwiększenia dokładności odczytu stosuje się manometr o ramieniu pochyłym. W wyniku zastosowania obu tych sposobów powstaje manometr naczyniowy o ramieniu pochyłym - manometr naczyniowy o pochyłej rurce.
błąd naczyńkowy
zaniedbanie odczytu delta H poziomu cieczy w naczyniu pociąga za sobą tzw. błąd naczyńkowy
przyczyny jego powstania:
- wadą wody jest czułość na zanieczyszczenia, a w szczególności na zatłuszczenia rurek (błąd wynikający z zanieczyszczenia rurki może wyrazić się wysokością słupa wody 60/d mm, d - średnica rurki manometru)
- woda może podnieść się w rurce na skutek zjawiska włoskowatości (o 30/d mm), błąd wynikający ze zjawiska włoskowatości dla alkoholu jest mniejszy bo 11/d mm
- przy zatłuszczeniu rurki możemy zaobserwować, że pomimo zwiększania ciśnienia poziom cieczy w manometrze utrzymuje się bez zmian. Rurki manometru U najczęściej nie posiadają identycznej średnicy, a na skutek lepkości cieczy przy opadaniu poziomu rtęci w jednej rurce, spowodowanego różnicą ciśnień, część cieczy przylepia się do ścianek i spływa powoli, co powoduje, że odczytujemy położenie menisku w rurce niższe niż wynikałoby to z podniesienia się cieczy w drugiej rurce manometru
wyprowadzenie równania określającego błąd naczyńkowy w manometrze o pochyłej rurce
BŁĄD = (pprawdziwe - podczytane)/pprawdziwe = 1/(1 + H/deltaH) = 1/(1 + lsin alfa/deltaH) = 1/( 1 +
D2sin alfa/d2)
sposoby jego likwidacji
+zmiana ciężaru właściwego cieczy w stosunku do obliczeniowego
+zmiana poziomu menisku w naczyniu
+odpowiednie skalowanie podziałki manometru
+napełnienie naczyńka mieszaniną alkoholu z wodą w odpowiednim stosunku
+możemy podnosić lub opuszczać naczyńko, aby poziom cieczy w naczyńku sprowadzić do zera
+zmiana pochylenia rurki manometru (zmiana kąta alfa w stosunku do obliczeniowego)
Zasada eliminacji błędu polega na dobraniu czynnika korygującego w taki sposób, by ciśnienie odczytywane było równe ciśnieniu rzeczywistemu.
Pprawdziwe = podczytane
Np.: eliminując błąd naczyniowy poprzez wypełnienie manometru mieszaniną o innym ciężarze właściwym niż ten wg którego obliczamy różnicę ciśnień korzystamy ze wzorów:
Ciężar właściwy mieszaniny (H + delta H) = ciężar właściwy obliczeniowe H
Ciężar właściwy mieszaniny = ciężar właściwy obliczeniowe 1/(1 + d2/D2)
Przeważnie do wyeliminowania błędu stosuje się zmianę pochylenia rurki:
Ciężar właściwy(delta H + lsin alfa) = ciężar właściwy l sin alfa prim
Sin alfa prim = sin alfa - d2/D2
zasada pomiaru różnicy ciśnień mikromanometrem Ascania
Odczytu wskazań dokonuje się na podziałce kolumny i podziałce (mikrometrycznej) głowicy po odpowiednim ustawieniu ( poprzez pokręcenie głowicy) naczyńka względem poziomu cieczy w wizjerze. Dokładne określenie różnicy poziomów cieczy w naczyniu i w wizjerze otrzymuje się przez dwukrotny odczyt położenia naczynia, a mianowicie przy zerowaniu oraz przy pomiarze pewnego ciśnienia. Poziom cieczy w wizjerze określamy za pomocą ostrza. Ostrze i jego obraz odbity na pow. Swobodnej cieczy widoczne są w odpowiednio ustawionym zwierciadle. Jeżeli w lusterku widzimy obraz nie zetkniętych ostrza i odbicia to znaczy, że poziom cieczy w naczyniu i wizjerze jest wyższy niż poziom ostrza. Jeżeli ostrze i jego odbicie zetkną się to oznacza, że manometr jest wyzerowany. Gdy ostrze i odbicie zleją się to poziom cieczy w naczyniu jest niższy od poziomu ostrza. Podłączając do końcówki wyzerowanego manometru przewód o ciśnieniu różnym od atmosferycznego, powodujemy zmianę położenia menisków w cieczy w wizjerze i naczyniu. Jeżeli teraz podniesiemy lub opuścimy naczynie, sprowadzając układ ponownie do położenia zerowego, wielkość przyłożonego ciśnienia odczytamy jako różnicę położenia naczynia dla obu przypadków.
3. POWIERZCHNIA SWOBODNA CIECZY W NACZYNIU WIRUJĄCYM WOKÓŁ OSI PIONOWEJ.
określenie powierzchni swobodnej
Powierzchnia swobodna cieczy w naczyniu wirującym wokół osi pionowej jest paraboloida obrotowa, określona równaniem:[(w2r2/2)-gz]=o
Gdzie: w- prędkość kątowa obrotu naczynia,
g- przyśpieszenie ziemskie
r, z- współrzędne walcowe
Z równania widać, że kształt powierzchni swobodnej nie zależy od ciężaru właściwego cieczy ani kształtu naczynia. Parametrem paraboloidy określającej powierzchnię swobodną jest prędkość kątowa. Parametr ten można wyznaczyć doświadczalnie dwoma sposobami:
+przez bezpośredni pomiar liczby obrotów naczynia
+pośrednio poprzez pomiar współrzędnych r , z dowolnego punktu pow. swob.
wyprowadzenie równania powierzchni swobodnej w naczyniu wirującym wokół osi pionowej
4. OKREŚLENIE KRYTYCZNEJ LICZBY REYNOLDSA.
podać określenie krytycznej liczby Reynoldsa
wartość krytycznej liczby Reynoldsa dla przepływu przewodem o przekroju kołowym
a),b) Wartość liczby Reynoldsa odpowiadająca przejściu przepływu laminarnego w turbulentny nazywamy krytyczna liczbą Reynoldsa i określamy:
![]()
Późniejsze badania wykazały, że wartość krytycznej liczby Reynoldsa zależy od wielu czynników ubocznych, np.: od kształtu wlotu do przewodu, od stopnia gładkości powierzchni wewnętrznej ścian przewodu, od wstępnych zaburzeń mechanicznych płynu wpływającego do przewodu, od drgań przewodu. Wszystkie te czynniki mogą spowodować, że przejście przepływu laminarnego w turbulentny może nastąpić przy różnych wartościach liczby Reynoldsa. Tak np. podczas spokojnego przepływu bez żadnych wstrząsów i zakłóceń na wejściu udało się utrzymać laminarny przepływ do Rekr = 50000.
Praktycznie ważna jest dolna wartość krytycznej liczby R. Rekr1 = 2320, poniżej której obserwujemy trwałość ruchu laminarnego. Górną albo wyższą krytyczną licz. R. , powyżej której panuje tylko ruch turbulentny, przyjmuje się Rekr2 = 50000
2320<Re<50000 - w tym przedziale przepływ płynu może być laminarny lub turbulentny, zależnie od pobocznych czynników zakłócających. W tym przedziale przepływy laminarne odpowiadające liczbom są niestateczne.
wzór na liczbę Reynoldsa
Przejście od przepływu laminarnego do turbulentnego zachodzi przy tej samej wartości liczby:
![]()
vw - prędkość średnia wody w rurze
d - średnica rury
v - lepkość kinematyczna
sposób wyznaczania krytycznej liczby Reynoldsa
Określenie krytycznej liczby Reynoldsa polega na ustaleniu parametrów przepływu, a ściślej prędkości średniej - w taki sposób, aby przepływ znajdował się na granicy stateczności. Następnie oblicza się wartość liczby Reynoldsa.
O charakterze przepływu wody w szklanej rurze (laminarny czy turbulentny) wnioskuje się na podstawie wizualnej obserwacji zabarwionej strugi, wprowadzonej do osi rury, równolegle do przepływu wody. W przypadku ruchu turbulentnego barwna struga rozprasza się tuż za wylotem rurki doprowadzającej, zabarwiając całą masę wody. W przypadku ruchu laminarnego zabarwiona struga tworzy wyizolowaną nitkę, nie mieszając się z wodą na bardzo długim odcinku.
6. CECHOWANIE ZWĘŻKI VENTURIEGO.
na czym polega cechowanie zwężki Venturiego
Cechowanie zwężki Venturiego polega na określeniu funkcji alfa = f(Re) (alfa - liczba przepływu, Re - liczba Reynoldsa), przy czym funkcję tę wyznacza się doświadczalnie, mierząc bezpośrednio wydatek Q (rzeczywista wartosc wydatku) i obliczając odpowiednią mu wartość Qt ( wartość teoretyczna wydatku, wyznaczamy na podstawie wzoru) .
wykres ciśnień statycznych dla zwężki Venturiego i kryzy pomiarowej.
Pomiar strumienia objętości zwężek pomiarowych:
+kryzy ISA z pomiarem przytarczowym,
+kryzy ISA z pomiarem „vena contracta”,
+przepływowej dyszy ISA,
+dyszy Venturiego
+klasycznej zwężki Venturiego
współczynnik przepływu alfa dla zwężek pomiarowych:
równanie definicyjne
przebieg funkcji alfa(Re, m, zwężka Venturiego)
8. POMIAR PRĘDKOŚCI I ROZKŁADU PRĘDKOŚCI POWIETRZA ANEMOMETREM STA ŁOTEMPERATUROWYM.
zasada pomiaru prędkości rurką Prandtla
Rurka ta służy do wyznaczania prędkości miejscowej przy przepływie gazów i par. Ciśnienie statyczne i dynamiczne są tu mierzone praktycznie w tym samym miejscu strumienia. W celu umożliwienia pomiaru ciśnienia statycznego na bocznych ściankach rurki w odpowiednio dobranej odległości od wlotu są wykonane otworki. Ciśnienie całkowite wyznacza się u wlotu rurki. Ciśnienie statyczne i spiętrzanie sa mierzone za pomocą 2 manometrów cieczowych w taki sposób, że wzniesienie poziomu cieczy w otwartej rurce manometrycznej jest miara ciśnienia statycznego, a różnica poziomów cieczy w zamkniętej rurce manometrycznej - miarą ciśnienia manometrycznego.
zasada pomiaru prędkości anemometrem:
skrzydełkowym
Przyrząd mierzy długość strugi powietrza (gazu), która przepłynęła prostopadle do płaszczyzny obrotu i dlatego wyskalowany w jednostkach długości. Do wyznaczenia prędkości przepływu potrzebny jest również pomiar czasu. Zmniejszenie bezwładności anemometru uzyskujemy poprzez zmniejszenie masy elementów wirnika, zwiększa się wtedy czułość przyrządu. Jednak charakteryzuje się on obszarem nieczułości określonym przez minimalną prędkość powietrza, jaka może być zmierzona. Obszar nieczułości - 0,2 m/s, zakres pomiarowy anemometrów ogranicza się zwykle do prędkości 10m/s ponieważ mają delikatną budowę.
Do pomiaru mniejszych prędkości służy mikromanometr. Zbudowany jest on z anemometru skrzydełkowego i małego wentylatora uruchamianego nakręcaną sprężynką. Zadaniem wentylatora jest utrzymanie stałej prędkości obrotowej wirnika ( 0,5m/s).
czaszowym
Wirnik stanowią półkoliste czasze, które obracają się pod wpływem różnicy momentów powstałych na skutek różnego oporu, jaki stawia przepływowi wklęsła i wypukła strona czasz, Ilość obrotów wirnika, podobnie jak w anamometrach skrzydełkowych, jest w ścisłym związku z prędkością przepływu i jest rejestrowana przez licznik. Anemometry czaszowe używane są do pomiaru prędkości w granicach 3 - 5 m/s. Ze względu na wrażliwość tych przyrządów na równoległość strumieni uderzających w poszczególne czasze przyrządy te nadają się tylko do pomiarów prędkości w dużej przestrzeni (pomiar wiatru). Są ona rzadko używane ze względu na małą dokładność.
laserowym
zasada działania polega na wykorzystaniu zjawiska Dopplera. Używana do pomiaru prędkości wiązka laserowa, przy przejściu przez poruszający się płyn jest rozpraszana przez cząstki posiewu o średnicy 0,1 - 10 mikrom., unoszone przez płynący ośrodek. Rozproszone światło zmienia swoją częstotliwość o częstotliwość Dopplera, co daje informację o prędkości poruszających się cząst. Zmiana częstotliwości światła rozproszonego jest proporcjonalna do prędkości cząstki i jest równa częstotliwości Dopplera, Jest ona określona równaniem wektorowym:
![]()
[Hz]
odpowiednio: vD - częstotliwość światła rozproszonego, n - współczynnik załamania światła, lamda - długość światła padającego mierzona w próżni, v - wektor prędkości przepływu, s - wektor jednostkowy w kierunku ruchu fali światła rozproszonego, i - wektor jednostkowy w kierunku fali światła padającego.Anemometry te mogą mierzyć prędkości chwilowe w przepływach bardzo burzliwych a nawet oscylacyjnych, nie zakłócają pomiarem badanego przepływu, przedstawiają wyniki pomiarów prędkości niezależnie od zmian temp., ciśn., czy gęstości płynu.
oporowym
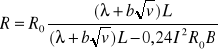
Umieszczenie rezystora (opornika) w strumieniu gazu powoduje jego ochłodzenie, a więc zmianę rezystancji. Wyznaczając zależność rezystancji od prędkości przepływu, można po wzorcowaniu otrzymać przyrząd wskazujący od razu prędkość. Charakterystyka przyrządu wyrażająca się zależnością oporu R od prędkości przepływu powietrza nie jest liniowa, wyraża się wzorem:

Gdzie: R - opór drutu przy prędkości v, R0 - opór drutu przy temp. otaczającego gazu, współczynnik przewodności cieplnej gazu, b=![]()
, v - prędkość przepływu gazu, L - długość drutu, I - natężenie prądu płynącego przez drut, B - cieplny współczynnik oporności materiału drutu
Z tego widać, że zależność oporu od prędkości przepływu gazu nie jest liniowa. Dotyczy to szczególnie małych prędkości. Przy pionowym przepływie na główną prędkość i poruszanie się gazu nakłada się jeszcze konwekcyjny ruch w otoczeniu drutu spowodowany nagrzewaniem się gazu od drucika. Wpływ ten jest szczególnie wyraźny przy ruchu z góry do dołu
określenie wydatku wentylatora przy pomiarze prędkości rurką Prandtla.
W celu określenia wydatku wentylatora należy zmierzyć średnicę wewnętrzną przewodu ssawnego wentylatora oraz wyznaczyć prędkość średnią w tym przewodzie. W celu wyznaczenia prędkości średniej przewód ssawny należy podzielić na odpowiednią ilość pierścieni o jednakowym polu przekroju poprzecznego, a następnie na każdym okręgu o odpowiednim promieniu zmierzyć ciśnienie dynamiczne w czterech punktach.
Na mikromanometrze Recklanga połączonym z rurką Prandtla odczytuje się ciśnienie dynamiczne jako długość wychylenia słupa cieczy manometrycznej. Pomiarów dokonuje się w 4m punktach pomiarowych (2m pomiarów w przekroju pionowym przewodu i 2m pomiarów w przekroju poziomym przewodu). Ciśnienie to oblicza się:
![]()
[N/m2]
n - ciśnienie mikromanometru
l - wychylenie słupa cieczy manometrycznej podczas pomiaru [mm]
l0 - wychylenie słupa cieczy manometrycznej przy braku różnicy ciśnień [mm]
ro - gęstość cieczy manometrycznej, dla skażonego alkoholu = 800 [kg/m3]
g - przyśpieszenie ziemskie
Średnie ciśnienie dynamiczne w całym przekroju poprzecznym przewodu określa zależność:

Dla określenia wydatku wentylatora potrzebne jest określenie średniej prędkości w przekroju przewodu ssącego. Prędkość średnią można określić ze wzoru:

[m/s]
ro - gęstość powietrza [kg/m3]
Po określeniu prędkości średniej wydatek wentylatora oblicza się z równania ciągłości:
![]()
[m3/h]