POLITECHNIKA WARSZAWSKA
WYDZIAŁ INŻYNIERII ŚRODOWISKA
ZAKŁAD ZAOPATRZENIA W WODĘ I BUDOWNICTWA WODNEGO
ĆWICZENIE PROJEKTOWE
Z przedmiotu
„Urządzenia do uzdatniania wody i oczyszczania ścieków”
TEMAT: „Zaprojektować stację uzdatniania wody powierzchniowej.”
Prowadzący:
dr inż. Ryszard Wenda
Wykonała:
Katarzyna Budzianowska
grupa ISiW 1
rok akademicki 2006/2007
Spis treści
1. Obliczenie zużycia i zapasu siarczanu glinu w stacji uzdatniania wody oraz powierzchni magazynu
Współczynnik przeliczeniowy masy reagentu w postaci chemicznie czystej i bezwodnej na masę produktu technicznego
1.2 Całkowite roczne zużycie koagulantu w postaci produktu technicznego
1.3 Średnie dobowe zużycie koagulantu
1.4 Maksymalne dobowe zużycie koagulantu
1.5 Wielkość zapasu koagulantu
1.6 Wielkość powierzchni magazynowania netto
1.7 Powierzchnia magazynu brutto
2. Obliczenie zużycia i zapasu wapna w stacji uzdatniania wody oraz powierzchni magazynu
2.1 Współczynnik przeliczeniowy masy reagentu na CaO
2.2 Całkowite roczne zużycie koagulantu w postaci produktu technicznego
2.3 Średnie dobowe zużycie koagulantu
2.4 Maksymalne dobowe zużycie koagulantu
2.5 Wielkość zapasu koagulantu.
2.6 Wielkość powierzchni magazynowania netto
2.7 Powierzchnia magazynu brutto
3. Obliczenie zbiorników do przygotowania roztworu siarczanu glinu
3.1 Obliczenie zbiorników zarobowych
3.2 Obliczenie zbiorników roztworowych
4. Obliczenie zbiorników do przygotowania roztworu wapna
4.1 Obliczenie objętości zbiornika
4.2 Obliczenie wymiarów zbiornika
4.3 Obliczenie wymiarów mieszadła
4.4 Obliczenie mocy silnika poruszającego mieszadło
5. Obliczenie dawkowników
5.1 Dobór pompy dawkującej roztwór siarczanu glinu
5.2 Dobór pompy dawkującej mleko wapienne
WARIANT A
6. Obliczenie mieszalnika mechanicznego z mieszadłem łapowym
6.1 Objętość czynna mieszalnika
6.2 Średnica i wysokość czynna mieszalnika
6.3 Wymiary mieszadła
6.4 Sprawdzenie warunków mieszania
6.5 Moc na wale mieszadła i moc silnika
6.6 Obliczenie koryt zbiorczych
6.7 Odprowadzenie wody z mieszalnika
7. Obliczenia mechanicznej komory flokulacji z mieszadłami łopatkowymi o osi poziomej
7.1 Obliczenie objętości komory flokulacji
7.2 Długość jednej części komory
7.3 Szerokość komory
7.4 Wymiary mieszadła łopatkowego
7.5 Zapotrzebowanie mocy dla mieszadła
7.6 Sprawdzenie warunków mieszania
7.7 Obliczenie mocy silnika poruszającego mieszadło
8. Osadniki
8.1 Obliczenie prędkości opadania zawiesin „U”
8.2 Obliczenie długości osadników
8.3 Powierzchnia osadników planie
Szerokość osadnika
Sprawdzenie wartości liczby Reynoldsa i liczby Froude'a
Głębokość osadnika
Doprowadzenie wody do osadnika
Odprowadzenie wody z osadnika
8.9 Komora osadowa
8.10 Wysokość komory osadowej
8.11 Objętość komory osadowej
8.12 Objętość zatrzymywanego osadu
9. Filtry pośpieszne grawitacyjne jednowarstwowe
9.1 Ustalenie charakterystyki złoża filtracyjnego
9.2 Ustalenie zależności intensywności płukania filtrów od temperatury wody uzdatnianej
9.3 Powierzchnia i liczba filtrów
9.4 Wymiary filtrów
9.5 Charakterystyka wypełnienia filtru
9.6 Ustalenie rodzaju dysz filtracyjnych
9.7 Obliczenie liczby dysz
9.8 Rozmieszczenie dysz
9.9 Koryta zbiorcze
9.10 Kanał zbiorczy
9.11 Wysokość strat ciśnienia przy płukaniu filtru
9.12 Średnice przewodów doprowadzających i odprowadzających wodę
WARIANT B
10. Obliczenie mieszalnika pionowo - wirowego
10.1 Objętość czynna mieszalnika
10.2 Powierzchnia górnej (cylindrycznej) części mieszalnika
10.3 Średnica górnej części mieszalnika
10.4 Wysokość dolnej (stożkowej) części mieszalnika
10.5 Objętość dolnej stożkowej części mieszalnika
10.6 Wysokość górnej części mieszalnika
10.7 Całkowita wysokość mieszalnika
10.8 Obliczenie koryt zbiorczych
Klarowniki korytarzowe z zawieszonym osadem o jednostajnym przepływie
Obliczeniowa wydajność klarowników
Powierzchnia strefy klarowania ponad zawieszonym osadem
Powierzchnia komory zagęszczacza
Liczba i wymiary klarowników
Doprowadzenie wody do strefy klarowania
Odprowadzenie wody sklarowanej na zewnątrz klarownika
Odprowadzenie nadmiaru osadu do zagęszczacza
Odprowadzenie wody z komory zagęszczacza
11.9 Wysokość klarownika
11.10 Sprawdzenie czasu przebywania osadu w komorze zagęszczacza
Odprowadzanie osadu z komory zagęszczacza
12. Filtry pośpieszne grawitacyjne dwuwarstwowe
12.1 Ustalenie charakterystyki złoża filtracyjnego
12.2 Ustalenie zależności intensywności płukania filtrów od temperatury wody uzdatnianej
12.3 Powierzchnia i liczba filtrów
12.4 Wymiary filtrów
12.5 Charakterystyka wypełnienia filtru
12.6 Drenaż filtru
12.7 Ustalenie rodzaju dysz filtracyjnych
12.8 Obliczenie liczby dysz
12.9 Rozmieszczenie dysz
12.10 Koryta zbiorcze
12.11 Kanał zbiorczy
12.12 Wysokość strat ciśnienia przy płukaniu filtru
12.13 Średnice przewodów doprowadzających i odprowadzających wodę
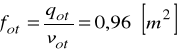
1. Obliczenie zużycia i zapasu siarczanu glinu w stacji uzdatniania wody oraz powierzchni magazynu.
Magazynowanie siarczanu glinu odbywać się będzie metodą „na sucho”.
Współczynnik przeliczeniowy masy reagentu w postaci chemicznie czystej i bezwodnej na masę produktu technicznego.

,
Gdzie:
![]()
Gramocząsteczka [g],
![]()
Zawartość obcych domieszek w produkcie technicznym w stosunku do suchej masy [% wag.],
![]()
Wilgotność produktu technicznego [% wag.].
Dla przyjętego koagulantu (siarczanu glinu) ![]()
oraz ![]()
. Gramocząsteczka Al2(SO4)3⋅18H2O wynosi ![]()
g; dla Al2(SO4)3 ![]()
g.

Całkowite roczne zużycie koagulantu w postaci produktu technicznego.
![]()
[kg/rok]
Obliczenie wykonujemy na podstawie przewidywanych dawek reagentu w przeliczeniu na produkt bezwodny, chemicznie czysty, na podstawie poniższej tabeli.
Pora roku |
Lato |
Jesień |
Zima |
Wiosna |
Liczba dni |
90 |
93 |
85 |
97 |
Dawka siarczanu glinu [g/m3] |
50 |
60 |
45 |
65 |
Dawka wapna [g/m3] |
10 |
12 |
9 |
13 |
![]()
[kg/rok]![]()
[t/rok]
Średnie dobowe zużycie koagulantu.
![]()
[kg/d]
Maksymalne dobowe zużycie koagulantu.
![]()
[kg/d]
Wielkość zapasu koagulantu.
![]()
[kg],
gdzie:
![]()
minimalny normatywny czas zapasu (![]()
[d] ).
![]()
[kg].
Przy minimalnym dobowym zużyciu koagulantu (dawka minimalna wynosi 45 [g/m3], ![]()
48720 [m3/d] zapewniony czas zapasu wynosi:

[d]
Wielkość powierzchni magazynowania netto.
Przewidziano składowanie siarczanu glinu luzem.
![]()
![]()
,
gdzie:
![]()
- gęstość nasypowa reagenta [kg/m3],
![]()
- wysokość warstwy składowej [m].
Ponieważ ![]()
[kg/m3], ![]()
[m] to:
![]()
[m2]
Wielkość powierzchni magazynowania brutto
![]()
![]()
Współczynnik zwiększający ze względu na komunikacje wewnętrzną.
![]()
![]()
[m2]
Obliczenie zużycia i zapasu wapna w stacji uzdatniania wody oraz powierzchni magazynu.
Magazynowanie wapna odbywać się będzie metodą „na sucho”.
Współczynnik przeliczeniowy masy reagentu na CaO.
![]()
.
Całkowite roczne zużycie koagulantu w postaci produktu technicznego.
![]()
[kg/rok]
Obliczenie wykonujemy na podstawie przewidywanych dawek reagenta w przeliczeniu na CaO, na podstawie tabeli przedstawionej w temacie.
![]()
[kg/rok]![]()
480[t/rok]
Średnie dobowe zużycie koagulantu.
![]()
[kg/d]
Maksymalne dobowe zużycie koagulantu.
![]()
[kg/d]
Wielkość zapasu koagulantu.
![]()
[kg],
Gdzie:
![]()
Minimalny normatywny czas zapasu (![]()
[d] ).
![]()
[kg].
Przy minimalnym dobowym zużyciu koagulantu (dawka minimalna wynosi 9 [g/m3], ![]()
56000 [m3/d] zapewniony czas zapasu wynosi:

[d]
Objętość silosów.
Przewidziano składowanie wapna w silosach. Będzie on dostarczany i składowany na sucho.
![]()
,
Gdzie:
![]()
Gęstość nasypowa reagenta [kg/m3],
Ponieważ ![]()
[kg/m3], to objętość magazynu wynosi:
![]()
[m3]
Przyjęte wymiary silosów.
Przyjęto 2 silosy o średnicach 3m i wysokościach 2,7m. Łącznie 27m3.
Obliczenie zbiorników do przygotowania roztworu siarczanu glinu.
3.1 Zbiornik zarobowy:
Objętość zbiornika zarobowego
![]()
gdzie:
cz - stężenie roztworu, 5%
n - liczba przygotowań roztworu w ciągu doby, 2d-1
![]()
m3
Przyjęto 4 zbiorniki, pracujące na zmianę, o objętości użytecznej każdego z nich 22,74m3. Wymiary zbiornika: wysokość użyteczna hz =5,5 m, szerokości bz = 2 m i długości lz = 2 m.
Koagulant będzie spoczywał na ruszcie z beleczek drewnianych wymiennych o wysokości, hr=0,2m i prześwitach między beleczkami 0,02m.
W dolnej części zbiornika przewidziana jest komora do gromadzenia części nierozpuszczalnych, zawartych w koagulancie. Komora ta ma kształt ostrosłupa ściętego.
Przy założeniu wymiarów: mniejsza podstawa 0,5x0,5m, podstawa większa 2,0x2,0m i kąt ![]()
.
Wysokość komory osadowej:
![]()
Całkowita wysokość zbiornika zarobowego:
![]()
gdzie:
ho - wysokość położenia krawędzi zbiornika ponad zwierciadłem roztworu, ho=0,4m
hz - jak poprzednio, przyjęto hz=5,5m
hr - jak poprzednio, przyjęto hr=0,2m
hp - wysokość przeznaczona na umieszczenie przewodów powietrznych i przewodów do odprowadzania roztworu, hp=0,5m
hk- jak poprzednio, przyjęto hk=1,05m
![]()
Obliczenie zbiorników roztworowych.
Zbiorniki roztworowe będą mieszane sprężonym powietrzem. Obliczenie tych zbiorników polega na wyznaczeniu ich objętości, wymiarów oraz liczby.
Przy założeniu, że stężenie roztworu roboczego wynosi ![]()
, objętość zbiorników roztworowych
![]()
[m3]
Przyjęto dwa zbiorniki roztworowe o objętości każdego z nich Vr = 32 i wymiarach:
Wysokość czynna zbiornika ![]()
Szerokość ![]()
Długość ![]()
Całkowita wysokość zbiornika przy założeniu wysokości części niewypełnionej roztworem ![]()
wyniesie
![]()
[m]
Obliczenie zbiorników do przygotowania roztworu wapna.
Maksymalne dobowe zapotrzebowanie mleka wapiennego w przeliczeniu na CaO wynosi:
![]()
[kg/d].
Obliczenie objętości zbiornika.
![]()
[m3],
Gdzie:
![]()
Wymagane stężenie roztworu ![]()
,
![]()
Gęstość roztworu ![]()
,
![]()
Liczba przygotowań roztworu w ciągu doby ![]()
Obliczenie wymiarów zbiornika.
Wymiary zbiornika ustalono przy założeniu, że średnica zbiornika D równa jest jego wysokości czynnej H wypełnionej roztworem.
Wówczas stosunek D:H = 1 i średnica zbiornika wynosi:

.
Przyjęto ostatecznie zbiornik o wymiarach:
Średnica zbiornika D = 2,8 [m],
Wysokość czynna zbiornika H = 2,8 [m],
Wysokość całkowita Hc = 3,2 [m].
Obliczenie wymiarów mieszadła.
Powierzchnia łap wynosi: ![]()
[m2],
Długość pary łap: ![]()
[m].
Przy założeniu, że łapy umieszczone są na dwóch poziomach, czyli liczba par łap na jednej osi z = 2, szerokość łapy wynosi:
![]()
[m].
4.4 Obliczenie mocy silnika poruszającego mieszadło.
![]()
[W]
Gdzie:
![]()
Moc na wale mieszadła [W]
![]()
Współczynnik zapasu mocy ![]()
![]()
Sprawność przekładni ![]()
![]()
Liczba łap mieszadła ![]()
![]()
Współczynnik oporów hydraulicznych łap mieszadła
![]()
Gęstość wody [kg/m3]
![]()
Prędkość obrotowa łap mieszadła n = 20 [obr/min] = 0,33 [obr/s]
![]()
Szerokość łapy mieszadła [m]
![]()
Długość łapy mieszadła [m]
Zatem:
![]()
[W]![]()
[kW]
5. Obliczenie dawkowników.
5.1 Dobór pompy dawkującej roztwór siarczanu glinu.
Pompę dobieram przy następujących danych:
Natężenie przepływu uzdatnianej wody Q = 66000 m3/d = 0,8 m3/s
Dawka koagulantu w odniesieniu do produktu bezwodnego, chemicznie czystego D = 65 g/m3
Współczynnik przeliczeniowy masy reagenta w postaci chemicznie czystej i bezwodnej na masę produktu technicznego f = 2,12
Stężenie dawkowanego roztworu siarczanu glinu c = 7 %
Gęstość roztworu siarczanu glinu ρ = 1,0 t/m3
Wymagana wydajność pompy:
![]()
Dobrano zespół 4+1 nurnikowych pomp dozujących typu ND.B, firmy FAPO, o średnicy nurnika 80 mm, przyłącza 32 mm oraz o ciśnieniu 1,0 MPa
5.2 Dobór pompy dawkującej mleko wapienne.
Pompę dobieram przy następujących danych:
Natężenie przepływu uzdatnianej wody Q = 66000 m3/d = 0,8 m3/s
Dawka koagulantu w odniesieniu do produktu bezwodnego, chemicznie czystego D = 13 g/m3
Współczynnik przeliczeniowy masy reagentu w postaci chemicznie czystej i bezwodnej na masę produktu technicznego f = 2,12
Stężenie dawkowanego roztworu mleka wapiennego c = 5 %
Gęstość roztworu mleka wapiennego ρ = 1,0 t/m3
Wymagana wydajność pompy:
![]()
Dobrano zespół 1+1 nurnikowych pomp dozujących typu ND.B, firmy FAPO, o średnicy nurnika 80 mm, przyłącza 15 mm oraz o ciśnieniu 1,0 MPa
WARIANT A
6. Obliczenie mieszalników.
Zaprojektowano dwa mieszalniki mechaniczne z mieszadłem łapowym. Natężenie przepływu wody przez jeden mieszalnik wynosi:
![]()
6.1 Objętość czynna mieszalnika.
![]()
t - czas przebywania wody w mieszalniku (t = 30 s)
6.2 Średnica i wysokość czynna mieszalnika.
Założenie: iloraz H/D = γ ≈ 0,8 ÷ 1,3

Przyjęto D = 2,5 m i stąd wysokość czynna mieszalnika wynosi:
H = γ⋅D = 1 ⋅2,5 = 2,5 m
6.3 Wymiary mieszadła.
- Obliczenie średnicy mieszadła:
Przyjęto D/d = 2 (D - średnica mieszalnika,
d - średnica zewnętrzna mieszadła)
Stąd: d = D/3 = 2,5/3 = 0,83m.
- Obliczenie wysokości łapy mieszadła:
Przyjęto b/d = 0,25 (b - wysokość łapy)
Stąd: b = 0,25⋅0,83= 0,21 m
6.4 Sprawdzenie warunków mieszania.
Warunki mieszania są określone przez miarodajną liczbę Reynoldsa:
![]()
Gdzie:
n - Prędkość obrotowa mieszadeł [s-1]
![]()
- Lepkość kinematyczna [m2/s]
d - Średnica zewnętrzna mieszadła [m]
Przyjmując prędkość obrotową n = 1 [s-1] oraz ![]()
= 1,31⋅10-6 [m2/s] (przy temperaturze wody t = 10°C) otrzymamy:

Ponieważ Rem > 104 więc zapewnione są dobre warunki mieszania.
6.5 Moc na wale mieszadła i moc silnika.
- Obliczenie mocy na wale mieszadła:

Gdzie:
c - Współczynnik oporu mieszadła zależny od liczby Re
ρ - Masa właściwa wody [kg/m3]
ψ - Poprawka ujmująca wpływ parametrów geometrycznych mieszalnika na moc mieszania
Przyjmuję następujące wartości:
h = 0,6
a = 1,1
α = 1

- Obliczenie mocy silnika:
![]()
Gdzie:
k - Współczynnik zapasu mocy (k = 2,0 ÷ 2,5)
η - Sprawność przekładni (η = 0,9 ÷ 0,95)
Przyjmuję: k = 2,2; η = 0,95
![]()
6.6 Obliczenie koryt zbiorczych.
- Obliczenie przekroju poprzecznego koryta:
![]()
Gdzie:
vk - prędkość przepływu wody w korycie zbiorczym (vk = 0,6 m/s)
- Obliczenie wysokości słupa wody:
Przy założonej szerokości koryta bk = 0,40 m, wysokość słupa wody wynosi:
![]()
Woda do koryta dopływa przez otwory umieszczone na obwodzie mieszalnika.
- Obliczenie ilości i średnicy otworów.
Powierzchnia otworów: ![]()
Gdzie:
v0 - prędkość przepływu wody przez otwory (v0 = 1,0 m/s)
Liczba otworów: 
Gdzie:
d0 - średnica otworów (d0 = 0,06 ÷ 0,12 m).
Przyjmuję średnicę otworów d0 = 0,10 m.
- Obliczenie odległości między osiami otworów:
![]()
6.7 Odprowadzenie wody z mieszalnika.
Dla przepływu 2750 m3/h = 0,8 m3/s i prędkości przepływu 0,8 ÷ 1,0 m/s (przyjmuję v =0,9 m/s) przewód odprowadzający wodę z mieszalnika ma średnicę:

7. Obliczenia mechanicznej komory flokulacji z mieszadłami łopatkowymi o osi poziomej
7.1 Obliczenie objętości komory flokulacji
![]()
Gdzie:
Q - wydajność komory flokulacji (Q=2750 m3/h)
T - czas przebywania wody w komorze, t=20÷40 min (przyjęto T=30 min)
Przyjęto dwuczęściową komorę flokulacji o objętości każdej części: ![]()
.
7.2 Długość jednej części komory
![]()
Gdzie:
β - współczynnik doświadczalny, β=1,0÷1,5 (przyjęto β=1,5)
z - liczba osi mieszadeł (z=2)
H - głębokość wody w komorze, H=3,0÷4,0 m (przyjęto H=4,0 m)
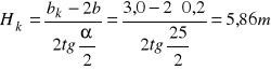
7.3 Szerokość komory
![]()
7.4 Wymiary mieszadła łopatkowego
Obracająca się rama wyposażona jest w cztery wzajemnie prostopadłe łopatki.
Średnica ramy:
![]()
Gdzie:
h - odległość minimalna od łopatki do zwierciadła wody i do dna komory, h=0,1÷0,15 m (przyjęto h=0,15 m)
Długość łopatki:
![]()
Gdzie:
n - liczba mieszadeł w jednej części komory, umieszczonych na 2 osiach, w układzie szachowym
p - odległość między końcami łopatek i ściany komory, a także pomiędzy łopatkami umieszczonymi na sąsiednich osiach (przyjęto p = 0,25 m)
Szerokość łopatki:
![]()
![]()
7.5 Zapotrzebowanie mocy dla mieszadła
![]()
Gdzie:
Nw - moc na wale mieszadła
z - liczba osi mieszadeł (z=2)
m - liczba łopatek na jednej osi (m=16)
ζ - współczynnik oporów hydraulicznych mieszanego środowiska zależy od stosunku l/b [dla l/b=10 (przyjęto ζ=1,32)
k -stosunek względem prędkości wody i łopat mieszadła k=0,75÷1,0 (przyjęto k=1,0)
n - prędkość obrotowa mieszadła, n=0,015÷0,08 s-1 przyjęto n=0,07 s-1
ρ - gęstość wody ρ=1000 kg/m3
l -długość łopatki mieszadła (l=3,27 m)
r2 - zewnętrzny promień łopatki mieszadła:
![]()
r1 - wewnętrzny promień łopatki mieszadła:
![]()
7.6 Sprawdzenie warunków mieszania
Kryteria działania komory flokulacji wg Campa:
Średni gradient prędkości ruchu cieczy:

Gdzie:
Nw - zapotrzebowanie mocy, przy zaleceniu stosunku prędkości względnych k=0,75, zgodnie z zaleceniami Campa:
![]()
ν - kinematyczny współczynnik lepkości przy temperaturze 10°C (ν=1,31*10-6 m2/s)
ρ - gęstość wody ρ=1000 kg/m3
V - objętość komory flokulacji V=1375 m3
Kryterialna liczba bezwymiarowa:
![]()
Gdzie:
T - czas przebywania wody w komorze flokulacji (T=30*60=1800 s)
7.7 Obliczenie mocy silnika poruszającego mieszadło
![]()
Gdzie:
Nw - moc na wale mieszadła (Nw=2186 W)
k2 - współczynnik zapasu mocy, k=1,1÷2,5 (przyjęto k=2,0)
η - sprawność przekładni, η=0,9÷0,95 (przyjęto η=0,9)
8. Osadniki
Osadniki służą do usuwania z wody zawiesin przy wykorzystaniu procesu sedymentacji. W projekcie przyjęto osadnik poziomy podłużny .
Obliczenie prędkości opadania zawiesin „U”
Zawartość zawiesin Z = 300 g/m3 w lecie i Z' = 410 g/m3 w zimie (przyjęto
u = 0,65 mm/s)
8.2 Obliczenie długości osadników
Długość osadnika
![]()
gdzie:
V - pozioma prędkość przepływu wody
V = k * u = 10 * 0,65 = 6,5
H - średnia głębokość części przepływowej osadnika, przyjęto H = 4m
![]()
- współczynnik zapasu

8.3 Powierzchnia osadników planie
![]()
8.4 Szerokość osadnika
Sumaryczna szerokość wszystkich osadników
![]()
Przyjęto n = 5 osadniki o szerokości każdego z nich B = 10 m.
8.5 Sprawdzenie wartości liczby Reynoldsa i liczby Froude'a
Promień hydrauliczny
![]()
Liczba Reynoldsa

co dowodzi , że warunek został spełniony
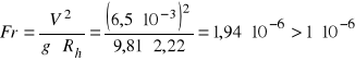
Liczba Froude'a

.
Głębokość osadnika
Całkowita średnia głębokość osadnika
![]()
gdzie:
![]()
- wysokość wyniesienia ściany osadnika ponad zwierciadło wody (![]()
= 0,4 m)
![]()
- wysokość części osadnika przeznaczonej na osad i zgrzebło zgarniacza
(![]()
= 0,5m)
![]()
i = 2%
przy wlocie: ![]()
przy wylocie: ![]()
8.7 Doprowadzenie wody do osadnika
Dla zapewnienia równomiernego rozdziału wody w poprzecznym przekroju osadnika projektujemy przegrodę perforowaną, przy czym otwory będą umieszczone na wysokości 0,75![]()
licząc od zwierciadła wody.
Wymagana powierzchnia otworów:
![]()
n - liczba osadników (n = 5)
![]()
- prędkość przepływu wody przez otwory (![]()
= 0,2 m/s)
![]()
Przyjmując średnicę otworu ![]()
= 0,10 m, co odpowiada powierzchni ![]()
, liczba otworów: ![]()
8.8 Odprowadzenie wody z osadnika
Odprowadzenie wody z osadników odbywa się za pomocą koryt umieszczonych w poprzek osadnika z wycięciami w kształcie przelewów Thomsona.
Wymagana długość koryt przelewowych w jednym osadniku :
![]()
gdzie:
![]()
- dopuszczalne obciążenie krawędzi koryta zbiorczego. Przyjmujemy ![]()
= 25 m3/h
![]()
Przy szerokości osadnika B = 10 m przyjęto dwa koryta zasilane dwustronnie. Rzeczywista długość koryt przelewowych :
![]()
Rzeczywiste obciążenie hydrauliczne krawędzi przelewowych wynosi:

Koryta będą wyposażone w typowe przelewy pilaste. Na podstawie nomogramu do wymiarowania przelewów Thomsona, napełnienie przelewów h'= 6 cm.
Przekroje czynne koryt zbiorczych obliczono przy założeniu prędkości przepływu
![]()
= 0,6m/s.
Przekrój czynny koryta o jednostronnym zasilaniu:

Przekrój czynny koryta o dwustronnym zasilaniu:

Przyjęto następujące wymiary koryt zasilanych jednostronnie:
szerokość - 0,36m, wysokość czynna - 0,36m
Przyjęto następujące wymiary koryt zasilanych dwustronnie:
szerokość - 0,42m, wysokość czynna - 0,41m
Komora osadowa
Przyjęto komorę osadową o kształcie ostrosłupa ściętego prawidłowego czworokątnego i wymiarach podstawowych:
bok większej podstawy komory osadowej B = 4,5 m
bok mniejszej podstawy komory osadowej b = 0,5m
kąt pochylenia krawędzi bocznej komory osadowej względem poziomu ![]()
=50![]()
8.10 Wysokość komory osadowej
![]()
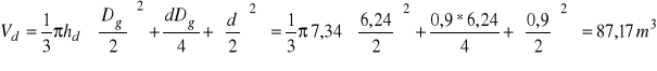
8.11 Objętość komory osadowej
![]()
![]()
8.12 Objętość zatrzymywanego osadu

gdzie :
T - czas zatrzymywania osadu (T = 8h)
CO = 12g/m3
n = 5
COS = 25000g/m3
CP = Z + K * Dk + 0,25 B + A = 300 + 1,0 * 50 + 0,25 * 35 + 0,6*10 = 365 g/m3
![]()
Ponieważ objętość komory osadowej jest mniejsza niż objętość osadu zatrzymanego w ciągu 8 godzin, to rzeczywisty czas zagęszczania wyniesie:
![]()
9. Filtry pośpieszne grawitacyjne jednowarstwowe
Filtry są urządzeniami służącymi do uzdatniania wody drogą filtracji. W czasie przepływu wody przez filtr, zależnie od własności materiału filtracyjnego i metody uzdatniania wody, mogą zachodzić następujące procesy: filtracja ( usuwanie z wody zawiesin i koloidów), koagulacja, reakcje chemiczne oraz wytrącanie związków chemicznych, biochemiczne przemiany substancji organicznych i nieorganicznych, wymiana jonowa, sorpcja.
W projekcie zastosowano filtry jednowarstwowe pośpieszne średnioziarniste z wykorzystaniem drenażu płytowego z dyszami filtracyjnymi.
9.1 Ustalenie charakterystyki złoża filtracyjnego
- minimalna średnica ziaren (![]()
= 0,7 mm)
- maksymalna średnica ziaren (![]()
= 1,6 mm)
- średnica miarodajna (wymiar czynny) (![]()
= 0,455 mm)
- średnica przeciętna (![]()
= 0,76 mm)
Współczynnik nierównomierności uziarnienia:
![]()
9.2 Ustalenie zależności intensywności płukania filtrów od temperatury wody uzdatnianej
Przyjęto następujące założenia:
- Jako materiał filtracyjny - piasek kwarcowy o średnim uziarnieniu.
- maksymalna temperatura wody (w okresie letnim) t = 20°C
- minimalna temperatura wody (w okresie zimowym) t = +2°C
- wymagana ekspansja złoża e = 45 %
- obliczenie równoważnej średnicy ziaren złoża filtracyjnego
(Założono średnicę równoważną de = 0,66 mm)
9.3 Powierzchnia i liczba filtrów

gdzie:
F- całkowita powierzchnia filtrów
![]()
- obliczeniowa prędkość filtracji (przy normalnym obciążeniu filtrów) (![]()
= 6 m/h)
Q - wymagana maksymalna dobowa wielkość dostawy wody do sieci wodociągowej Q=34145 (m3/d)
T - nominalny czas pracy filtrów w ciągu doby (T=24 h/d)
n - liczba płukań każdego filtru na dobę (n=2 d-1)
![]()
- średni czas wyłączenia filtru z efektywnego działania w związku z jego płukaniem (![]()
=20 min=0,33 h)
![]()
- średni czas płukania filtru (![]()
=6 min=0,1 h)
q - intensywność płukania wodą filtru ustalana dla danego uziarnienia i wymaganego stopnia ekspansji złoża (q=13,24 l/s*m2 dla przeciętnej temperatury wody uzdatnianej t=10°C)
Uwzględniając zalecenia dotyczące powierzchni pojedynczego filtru m oraz ich liczby ze względu na utrzymanie odpowiednich parametrów pracy przyjmuje się: N = 24 filtry.
Zakładając, że płukaniu poddawany jest tylko jeden filtr oraz, że jeden filtr wyłączony jest do remontu, prędkość filtracji w warunkach przeciążenia filtrów wyniesie:
![]()
Sytuacja taka wystąpi tylko w okresie płukania filtrów, natomiast przy bieżącej eksploatacji i jednym filtrze remontowanym prędkość filtracji osiągnie wartość
![]()
9.4 Wymiary filtrów
Powierzchnia jednego filtru:
![]()
Przyjęto filtry o wymiarach:
- szerokość B = 4,6 m
- długość L = 5 m , co odpowiada powierzchni każdego filtru, f = 23![]()
i powierzchni łącznej:
F = 506 ![]()
.
9.5 Charakterystyka wypełnienia filtru
Właściwa warstwa filtracyjna ma wysokość H = 1,2 m.
Żwirowa warstwa podtrzymująca
warstwa o uziarnieniu 16 - 32 mm i wysokości 0,1 m ponad poziom otworów w drenażu
warstwa o uziarnieniu 8 - 16 mm i H = 0,1 m
warstwa o uziarnieniu 4 - 8 mm i H = 0,1 m
warstwa o uziarnieniu 2 - 4 mm i H = 0,05 m
9.6 Ustalenie rodzaju dysz filtracyjnych
Przyjęto drenaż płytowy z dyszami grzybkowymi z polistyrenu wysokoudarowego. Czasza dyszy posiada łącznie 49 szczelin o wymiarach 0,8 x 10 mm.
Łączna powierzchnia szczelin w 1 dyszy wynosi:
![]()
9.7 Obliczenie liczby dysz
Sumaryczna powierzchnia wszystkich otworów w dyszach:
![]()
gdzie :
f - powierzchnia 1 filtru F = 23m2
P - procentowy stosunek powierzchni otworów w dyszach do powierzchni filtru przyjęto p= 1,2 %
Liczba dysz :
![]()
9.8 Rozmieszczenie dysz
Przyjęto 23 płyty o wymiarach 0,926 x 0,938 m (1 x 1 m w osi) z 49 dyszami w każdej płycie. Rozstaw dysz wynosi ok. 150 mm.
Łączna liczba dysz :
![]()
![]()
9.9 Koryta zbiorcze
Przyjęto koryta zbiorcze o przekroju złożonym ; w górnej części o ścianach pionowych , a w dolnej o kształcie trójkąta. Przy długości filtru L = 5m przyjęto
![]()
= 3 koryta zbiorcze, o długości między osiami 1,67 m.
Przy ustalonej maksymalnej intensywności płukania qmax = 15,29 ![]()
( dla temperatury 20oC) oraz powierzchni pojedynczego filtru (f = 23 m2 ), ilość wody niezbędnej do płukania pojedynczego filtru wynosi :
![]()
Jednym korytem zbiorczym odprowadzana jest woda w ilości:
![]()
Na podstawie nomogramu odczytano:
- Szerokość koryta zbiorczego (B = 0,47 m, przy a= 1,5)
- Wysokość prostokątnej części koryta (![]()
)
- Całkowita wysokość koryta ![]()
(![]()
)
Wzniesienie krawędzi koryt zbiorczych ponad powierzchnię złoża filtracyjnego:
![]()
Ponieważ ![]()
przyjęto ostatecznie (![]()
= 0,65 m)
9.10 Kanał zbiorczy
Przyjęto kanał zbiorczy o szerokości (![]()
= 1,0 m)
Wysokość kanału zbiorczego mierzona od dna koryt zbiorczych:

9.11 Wysokość strat ciśnienia przy płukaniu filtru
Obliczenie straty ciśnienia w drenażu:
Przepływ przez 1 dyszę :
![]()
gdzie:
q - intensywność płukania wodą filtru ustalana dla danego uziarnienia i wymaganego stopnia ekspansji złoża (q=13,24 l/s*m2 dla przeciętnej temperatury wody uzdatnianej t=10°C)
Strata ciśnienia w drenażu:
![]()
Strata wysokości ciśnienia w warstwie podtrzymującej:

Strata wysokości ciśnienia we właściwej warstwie filtracyjnej:

Całkowita strata wysokości ciśnienia przy przepływie wody przez filtr w czasie płukania:
![]()
9.12 Średnice przewodów doprowadzających i odprowadzających wodę
kanał doprowadzający wodę uzdatnianą:
- przepływ wody: ![]()
- prędkość przepływu: ![]()
- średnica przewodu: 
przewód doprowadzający wodę do każdego z filtrów:
- przepływ wody: ![]()
- prędkość przepływu: ![]()
- średnica przewodów: 
przewody odprowadzające wodę przefiltrowaną:
- z każdego filtru - 320mm
- ze wszystkich filtrów 900 mm.
przewód doprowadzający wodę do płukania przyjęto średnicę 900mm
przewód odprowadzający wodę po płukaniu:
- przepływ wody ![]()
- prędkość przepływu v >0,8 m/s
- średnica przewodu 900 mm.
WARIANT B
10. Obliczenie mieszalnika pionowo - wirowego
10.1 Objętość czynna mieszalnika
![]()
gdzie:
t - czas przebywania wody w mieszalniku, przyjęto t = 120s
10.2 Powierzchnia górnej (cylindrycznej) części mieszalnika

gdzie:
vg - prędkość pionowa w górnej części mieszalnika (na poziomie koryt zbiorczych); dla vg = 0,025m/s
10.3 Średnica górnej części mieszalnika

10.4 Wysokość dolnej (stożkowej) części mieszalnika
![]()

![]()
gdzie:
d - średnica przewodu doprowadzającego wodę do mieszalnika, przy założeniu utrzymania prędkości dopływowej vd = 1-1,2 m/s, przyjęto vd = 1,2 m/s
α - kąt rozwarcia stożka α = 30-40°; przyjęto α = 40°
10.5 Objętość dolnej stożkowej części mieszalnika

10.6 Wysokość górnej części mieszalnika

10.7 Całkowita wysokość mieszalnika
![]()
gdzie:
hk - wzniesienie krawędzi mieszalnika ponad zwierciadło wody; hk = 0,3-0,5m, przyjęto hk = 0,4m
10.8 Obliczenie koryt zbiorczych
Woda po przejściu przez mieszalnik zbierana będzie przez koryta zbiorcze umieszczone na obwodzie zewnętrznym urządzenia.
Przekrój poprzeczny koryta
![]()
gdzie:
vk - prędkość przepływu wody w korycie zbiorczym; vk = 0,6m/s
Przy założonej szerokości koryta bk = 0,4m wysokość słupa wody
![]()
Woda do koryta zbiorczego dopływa przez otwory umieszczone na obwodzie mieszalnika.
Powierzchnia otworów
![]()
gdzie:
v0 - prędkość przepływu wody przez otwory; v0 = 1m/s
Liczba otworów

gdzie:
d0 - średnica otworu; d0 = 0,10m
Odległości między osiami otworów

11. Klarowniki korytarzowe z zawieszonym osadem o jednostajnym przepływie
Qu - użyteczna wydajność
Qu =2750 [m3/h] w okresie letnim
Q`u = 2475 [m3/h] w okresie zimowym
Z - Maksymalna zawartość zawiesin w wodzie surowej
Z = 300 [g/m3] w okresie letnim
Z` = 410 [g/m3] w okresie zimowym
B - Barwa wody surowej
B = 35 [Pt/m3] w okresie letnim
B` = 70 [Pt/m3] w okresie zimowym
Dk - Dawka koagulantu
Dk = 50 [g/m3] w okresie letnim
D`k = 45 [g/m3] w okresie zimowym
Dw - Dawka wapna
Dw = 10 [g/m3] w okresie letnim
D`w = 9 [g/m3] w okresie zimowym
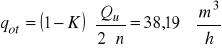
11.1 Obliczeniowa wydajność klarowników
Przyjęto K = 0,75 dla lata i 0,75 dla zimy
Koncentracja zawiesin w wodzie doprowadzanej Cp= Z+KDk+0.25B+Dw g/m3
Cp = 356,25 [g/m3]
C`p = 470,25 [g/m3]
Cos - średnia koncentracja zawiesin w usuwanym osadzie przy czasie
zagęszczania T = 6 h
Cos = 24000 [g/m3]
C`os = 27000 [g/m3]
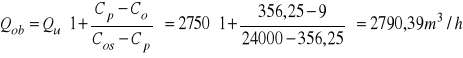
Przy założeniu koncentracji zawiesin w wodzie odpływającej z klarownika Co = C`o = 9 [g/m3]. obliczeniowa wydajność klarowników
wyniesie:


11.2 Powierzchnia strefy klarowania ponad zawieszonym osadem

K - Współczynnik rozdziału
K = 0,75 dla okresu letniego
K` = 0,70 dla okresu zimowego
![]()
v - Pionowa prędkość przepływu
v = 1 [mm/s] dla okresu letniego
v = 1 [mm/s] dla okresu zimowego
11.3 Powierzchnia komory zagęszczacza
Powierzchnia komory zagęszczacza przy uwzględnieniu współczynnika = 0.9 wyniesie:


11.4 Liczba i wymiary klarowników
![]()
![]()
Łączna powierzchnia klarowników:
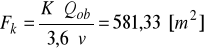
Do dalszych obliczeń wybieramy większą powierzchnię F = 796,64m2
![]()
Przyjęto 9 klarowników o powierzchni każdego z nich: nie większej niż 100 [m2]
F1 = 88,5m2
Powierzchnia ponad zawieszonym osadem
![]()
Przy założeniu szerokość sfery klarowania bk = 3 m. długość klarownika wyniesie:

Powierzchnia zagęszczacza w jednym klarowniku


Szerokość zagęszczacza
11.5 Doprowadzenie wody do strefy klarowania
Woda doprowadzana będzie przewodami perforowanymi ułożonymi na dnie. Maksymalny dopływ wody do jednego przewodu
![]()
Prędkość przepływu wody na początku przewodu powinna być w granicach od 0.4 do 0.6 m/s przyjęto przewód o zmiennej średnicy:
Długość odcinka [m] |
Średnica [mm] |
prędkość w przewodzie [m/s] |
3,6 |
300 |
0,44 |
3,6 |
250 |
0,43 |
3,6 |
200 |
0,57 |
Prędkość wypływu wody przez otwory umieszczone w przewodzie doprowadzającym vo = 1,8 m/s. Średnica otworów 0,02 m
Wymagana liczba otworów:
![]()
Odległość między osiami otworów
![]()
11.6 Odprowadzenie wody sklarowanej na zewnątrz klarownika
Woda będzie odprowadzana za pomocą koryt zbiorczych.
![]()
Przekrój koryta:
Przyjmuję koryta o wymiarach:
b = 0,22 m - szerokość
n = 0,16 m - napełnienie
Łączna długość koryt w jednej strefie klarowania:
lkor = 2 * lk = 21,6 m

Obciążenie krawędzi przelewowych
11.7 Odprowadzenie nadmiaru osadu do zagęszczacza
Ilość odpływającego przez otwory nadmiernego osadu:

Prędkość przepływu osadu przez otwory przyjęto v= 40 m/h

Powierzchnia otworów:
Przyjęto prostokątne otwory o wymiarach:
![]()
hot = 0,3 m - wysokość
Całkowita długość otworów:
Przyjęta liczba otworów (not = 10 szt)
O szerokości każdego bot = 0,32 m i odległości między osiami (eot = lk/10 = 10,8/10 = 1,08 m)
11.8 Odprowadzenie wody z komory zagęszczacza
Woda sklarowana z komory zagęszczacza odprowadzana jest za pomocą perforowanych przewodów ułożonych na głębokości 0,3 m poniżej zwierciadła wody. Odległość od osi tych przewodów do górnej krawędzi otworów między strefą klarowania i komorą zagęszczacza nie może być mniejsza niż 1,5 m. Woda sklarowana odprowadzana będzie dwoma przewodami. Ilość wody sklarowanej odprowadzanej każdym przewodem, przy uwzględnieniu strat wody przy usuwaniu osadu:

gdzie:
Kr - współczynnik uwzględniający rozcieńczenie usuwanego osadu (przyjmuje się Kr=1,2)
Przy utrzymaniu założenia, że prędkość wypływu wody z przewodu nie może przekraczać prędkości voz=0,6 m/s, przyjmuje się średnicę przewodu doz=0,15 m, co odpowiada prędkości wypływu wody z przewodu voz=0,51 m/s. Woda dopływa do przewodów przez otwory o osiach odchylonych od osi pionowej przewodu o 45°, umieszczone w dolnej jego części.
Przy założeniu średnicy otworu do=0,018m oraz prędkości przepływu wody przez otwór vo=1,5 m/s (należy przyjmować vo=1,0÷1,5 m/s) liczba otworów w jednym przewodzie:

Przy długości klarownika lk= 10,8 m oraz umieszczeniu otworów w dwóch rzędach, odległość między osiami otworów:
![]()
11.9 Wysokość klarownika
Wysokość klarownika liczona od osi przewodu doprowadzającego wodę do strefy klarowania do górnej krawędzi koryt zbiorczych w strefie klarowania:

gdzie:
bk - szerokość jednej strefy klarowania (przyjęto bk=3,0 m)
b - szerokość koryta odprowadzającego wodę sklarowaną ze strefy klarowania (przyjęto b=0,20 m)
α - kąt zawarty między prostymi przeprowadzanymi od osi przewodu doprowadzającego wodę do górnej krawędzi koryt zbiorczych, α≤30° (przyjęto α=25°)
Wysokość warstwy wody ponad zawieszonym osadem powinna wynosić hw=1,5÷2,0 m (przyjęto hw=1,7 m)
Wysokość dolnej części klarownika odchylonych od pionu:

gdzie:
a - szerokość dna dolnej części strefy klarowania (przyjęto 0,4 m)
β - kąt nachylenia ścianek względem poziomu, β=60÷90° (przyjęto β=80°)
Wysokość warstwy zawieszonego osadu w klarowniku:
![]()
Spełniony zostaje warunek: 1,5 m ≤ hz ≤ 2,5 m.
11.10 Sprawdzenie czasu przebywania osadu w komorze zagęszczacza
Całkowita objętość dwuczęściowego zagęszczacza w jednym klarowniku:

gdzie:
bzg - szerokość całkowita zagęszczacza (przyjęto bzg=2,22 m)
Ilość osadu dopływającego w ciągu godziny do zagęszczacza:
W okresie letnim:
![]()
W okresie zimowym:
![]()
Czas zagęszczania osadu nie powinien przekraczać 3h:
W okresie letnim:

W okresie zimowym:

Należy przewidzieć konieczność usuwania osadu dwukrotnie w ciągu doby w okresie letnim i w okresie zimowym.
11.11 Odprowadzanie osadu z komory zagęszczacza
Osad z zagęszczacza odprowadzany będzie dwoma przewodami perforowanymi.
Czas przepływu osadu przez przewód: tp=0,25÷0,33 h (przyjmuje się tp=0,33 h)
Prędkość przepływu osadu na końcu przewodu: v1 ≥ 1,0 m/s
Prędkość przepływu osadu w otworach: v2 ≥ 3,0 m/s
Biorąc pod uwagę najniekorzystniejsze warunki (wypełnienie całej objętości zagęszczacza), wymagana przepustowość przewodu odprowadzającego:

Wymagana liczba otworów w jednym przewodzie:

Przy długości klarownika (lk = 10,8 m), odległość między osiami otworów:
![]()
12. Filtry pośpieszne grawitacyjne dwuwarstwowe
12.1 Ustalenie charakterystyki złoża filtracyjnego
- górna warstwa złoża składa się z piasku antracytowego o gęstości ρz1 =1,65d/cm3 i wartości współczynnika kształtu ziaren α1= 1,5 o następujących parametrach uziarnienia ( dmin1=0,8 - średnica minimalna ; dmax1 = 1,8 mm - średnica maksymalna ;
de1=1,23 mm ; a współczynnik nierównomierności uziarnienia wynosi K1 = 1,86
- dolna warstwa złoża składa się z piasku kwarcowego o ρz2 = 2,65 g/cm3 i współczynniku kształtu ziaren α2=1,2 o następujących właściwościach uziarnienia: (dmin2=0,5 mm - średnica minimalna ; dmax2 = 1,20 mm - średnica maxymalna ;
de2 = 0,77 mm , a współczynnik nierównomierności uziarnienia wynosi K2 = 1,86.)
12.2 Ustalenie zależności intensywności płukania filtrów od temperatury wody uzdatnianej
Założenia:
- materiałem filtracyjnym jest piasek kwarcowy oraz antracytowy ich charakterystyki zostały podane w punkcie 12.1
- maksymalna temperatura wody (w okresie letnim) (t = ![]()
C)
- minimalna temperatura wody (w okresie zimowym) (t = +![]()
C)
- wymagana ekspansja złoża (e = 50%)
12.3 Powierzchnia i liczba filtrów
![]()
gdzie:
- vf - obliczeniowa prędkość filtracji (![]()
)
- q - intensywność płukania wodą filtru (q = 14 l/s![]()
)
- t1 = 0,33 h
- t2 = 0,1 h
![]()
![]()
Uwzględniając zalecenia dotyczące powierzchni pojedynczego filtru oraz ich liczby ze względu na utrzymanie odpowiednich parametrów pracy przyjęto:
N = 8 filtrów
Zakładając, że płukaniu poddawany jest tylko jeden filtr oraz, że jeden filtr wyłączony jest do remontu, prędkość filtracji w warunkach przeciążenia filtrów wyniesie
![]()
Sytuacja taka wystąpi tylko w okresie płukania filtrów, natomiast przy bieżącej eksploatacji i jednym filtrze remontowanym prędkość filtracji osiągnie wartość ![]()
.
12.4 Wymiary filtrów
Powierzchnia jednego filtru:
![]()
Przyjęto filtry o wymiarach:
- szerokość B = 5m
- długość L = 8 m , co odpowiada powierzchni każdego filtru, f = 40![]()
i powierzchni łącznej: F = 320 ![]()
.
12.5 Charakterystyka wypełnienia filtru
a) warstwa filtracyjna
- górna warstwa filtracyjna z piasku antracytowego ma wysokość (H1 = 0,5 m)
- dolna warstwa filtracyjna z piasku kwarcowego ma wysokość (H2= 0,6 m)
W sumie wysokość warstwy filtracyjnej wynosi (H = H1+H2=1,1m)
b) Żwirowa warstwa podtrzymująca
- warstwa o uziarnieniu 16 - 32 mm i wysokości 0,1 m ponad poziom otworów w drenażu
- warstwa o uziarnieniu 8 - 16 mm i H = 0,1 m
- warstwa o uziarnieniu 4 - 8 mm i H = 0,1 m
- warstwa o uziarnieniu 2 - 4 mm i H = 0,05 m
12.6 Drenaż filtru
12.7 Ustalenie rodzaju dysz filtracyjnych
Przyjęto drenaż płytowy z dyszami grzybkowymi z polistyrenu wysokoudarowego.
Czasza dyszy posiada łącznie 49 szczelin o wymiarach 0,8 x 10 mm.
Łączna powierzchnia szczelin w 1 dyszy wynosi :
![]()
12.8 Obliczenie liczby dysz
Sumaryczna powierzchnia wszystkich otworów w dyszach:
![]()
gdzie :
F - powierzchnia 1 filtru F = 40 m2
P - procentowy stosunek powierzchni otworów w dyszach do powierzchni filtru przyjęto (p= 1,2 %)
Liczba dysz :
![]()
12.9 Rozmieszczenia dysz
Przyjęto 40 płyt o wymiarach 0,926 x 0,938 m (1 x 1 m w osi) z 49 dyszami w każdej płycie. Rozstaw dysz wynosi ok. 150 mm.
Łączna liczba dysz :
![]()
![]()
12.10 Koryta zbiorcze:
Przyjęto koryta zbiorcze o przekroju złożonym ; w górnej części o ścianach pionowych , a w dolnej o kształcie trójkąta. Przy długości filtru L = 6m przyjęto
![]()
= 3 koryta zbiorcze, o długości między osiami 1,67 m.
Przy ustalonej maksymalnej intensywności płukania qmax = 15,29 ![]()
( dla temperatury 20oC) oraz powierzchni pojedynczego filtru f = 40 m2 , ilość wody niezbędnej do płukania pojedynczego filtru wynosi :
![]()
Jednym korytem zbiorczym odprowadzana jest woda w ilości:
![]()
Na podstawie nomogramu odczytano:
- Szerokość koryta zbiorczego (B = 0,59 m, przy a= 1,5)
- Wysokość prostokątnej części koryta (![]()
)
- Całkowita wysokość koryta ![]()
(![]()
)
- Wzniesienie krawędzi koryt zbiorczych ponad powierzchnię złoża filtracyjnego:
![]()
Przyjęto ostatecznie ![]()
= 0,73 m.
12.11 Kanał zbiorczy
Przyjęto kanał zbiorczy o szerokości (![]()
= 1,0 m)
Wysokość kanału zbiorczego mierzona od dna koryt zbiorczych:

12.12 Wysokość strat ciśnienia przy płukaniu filtru
Obliczenie straty ciśnienia w drenażu:
Przepływ przez 1 dyszę :
![]()
gdzie:
q - intensywność płukania wodą filtru ustalana dla danego uziarnienia i wymaganego stopnia ekspansji złoża [q=13,24 l/s*m2 dla przeciętnej temperatury wody uzdatnianej t=10°C]
Strata ciśnienia w drenażu:
![]()
Strata wysokości ciśnienia w warstwie podtrzymującej:

Strata wysokości ciśnienia we właściwej warstwie filtracyjnej:
![]()
- obliczenie to jest potrzebne w celu ustalenia średniej gęstości w warstwie filtracyjnej

Całkowita strata wysokości ciśnienia przy przepływie wody przez filtr w czasie płukania:
![]()
12.13 Średnice przewodów doprowadzających i odprowadzających wodę:
kanał doprowadzający wodę uzdatnianą:
- przepływ wody: ![]()
- prędkość przepływu: ![]()
- średnica przewodu: 
przewód doprowadzający wodę do każdego z filtrów:
- przepływ wody: ![]()
- prędkość przepływu: ![]()
- średnica przewodów: 
przewody odprowadzające wodę przefiltrowaną:
- z każdego filtru - 200mm
- ze wszystkich filtrów 500 mm.
przewód doprowadzający wodę do płukania przyjęto średnicę 500mm
przewód odprowadzający wodę po płukaniu:
- przepływ wody ![]()
- prędkość przepływu v >0,8 m/s
- średnica przewodu 500 mm.
6
![]()

![]()
![]()
![]()
![]()
![]()
![]()
![]()
![]()
![]()
![]()

![]()
![]()
![]()
![]()


![]()
![]()