NhiÖm vô bµi tËp lín
M«n häc: Thuû v¨n c«ng tr×nh
Sinh viªn: Ph¹m V¨n Kh«i
Ngµy giao ®Ò: 20/10/2007
Ngµy nép ®Ò: 10/11/2007
§Ò tµi:VÏ ®êng tÇn suÊt thùc nghiÖm theo c«ng thøc väng sè vµ c«ng thøc trung b×nh
VÏ ®êng TSTN PiÕc S¬n III, ®êng TSTN KrisKy-MenKen(K-M) vµ ®êng TSTN theo ph¬ng ph¸p 3 ®iÓm:P1=10%, P2 =50%, P =90%
1)Sè liÖu ban ®Çu
1.1)Tµi liÖu vÒ mùc níc:
B¶ng1 : Sè liÖu vÒ mùc níc ®Ønh triÒu (ch©n triÒu) n¨m……
Th¸ng
Ngµy
|
1 |
2 |
3 |
4 |
5 |
6 |
7 |
8 |
9 |
10 |
11 |
12 |
|
|
|
|
|
|
|
|
|
|
|
|
|
|
|
|
|
|
|
|
|
|
|
|
|
|
|
|
|
|
|
|
|
|
|
|
|
|
|
|
|
|
|
|
|
|
|
|
|
|
|
|
2) Tµi liÖu t¬ng quan
B¶ng 2 : Sè liÖu t¬ng quan
Xi |
|
|
|
|
|
|
|
|
|
|
Yi |
|
|
|
|
|
|
|
|
|
|
2.Yªu cÇu :
Néi dung:
Stt |
C«ng viÖc |
Thêi h¹n |
Thùc hiÖn |
1 |
NhËp sè liÖu vÒ mùc níc vµ sè liÖu liªn quan |
|
|
2 |
VÏ ®êng TSTN a)C¬ së lý luËn -Kh¸i niÖm vÒ ®êng TSTN
-X©y dùng theo c«ng thøc : P= -C¸c c«ng thøc tÝnh ®êng TSTN. b)øng dông: +ThiÕt lËp tËp hîp mÉu cÇn nghiªn cøu(B¶ng1.1) +X¾p xÕp sè liÖu tõ lín ®Õn nhá(B¶ng1.2) +Ph©n cÊp tµi liÖu +X¸c ®Þnh tÇn sè r¬i vµo tõng cÊp(mi)
|
|
|
|
+TÝnh tÇn suÊt cña tõng cÊp:
-Theo c«ng thøc väng sè Pi=
-Theo c«ng thøc trung b×nh Pi=
+Tinh tÇn suÊt tÝch luü lËp thµnh b¶ng vµ tõ ®ã vÏ ®êng TSTN. c)NhËn xÐt trong 2 ®êng ®ã ®êng nµo an toµn? Kh«ng an toµn? gi¶i thÝch, cho vÝ dô cô thÓ. d)Gi¶i thÝch vÊn ®Ò kÐo dµi vµ hiÖu chØnh ®êng TSTN, cho vÝ dô cô thÓ. |
|
|
3 |
VÏ ®êng TSLL PiÕc S¬nIII a)C¬ së lÝ luËn b)øng dông c)Tr×nh tù tÝnh to¸n +X¸c ®Þnh c¸c tham sè thèng kª(kÕt qu¶ lËp thµnh b¶ng) +S¾p xÕp sè liÖu tõ lín tíi nhá +Ph©n cÊp tµi liÖu
+X¸c ®Þnh hÖ sè t¸ch rêi
+)TÝnh hÖ sè biÕn suÊt KP=
+)X¸c ®Þnhc¸c trÞ sè HP =
+)Dùa vµo c¸c cÆp trÞ sè HP ~
|
|
|
4 |
VÏ ®êng TSLL KrisKy-MenKen(K-M) a)C¬ së lý thuyÕt. b)Tr×nh tù tÝnh to¸n. |
|
|
5 |
VÏ ®êng TSTN theo ph¬ng ph¸p 3 ®iÓm(ph¬ng ph¸p ®å gi¶i) :P1=10% ; P2=50% ; P3=90%
|
|
|
6 |
Ph©n tÝch t¬ng quan a)C¬ së lý thuyÕt -Kh¸i niÖm t¬ng quan -Ph©n lo¹i t¬ng quan -T¬ng quan ®êng th¼ng(lËp ph¬ng tr×nh ®êng håi quy b)øng dông: -Ph¬ng ph¸p gi¶i tÝch: +Thµnh lËp ph¬ng tr×nh ®êng håi quycña x theoy; +thµnh lËpph¬ng tr×nh ®êng håi quy cña y theo x. -Ph¬ng ph¸p ®å gi¶i. NhËn xÐt u nhîc ®iÓm cña 2 ph¬ng ph¸p ®ã |
|
|
2 .2. Quy c¸ch
2.2.1. Nªu ng¾n gän lý thuyÕt ¸p dông tríc khi tÝnh.
2.2.2. §êng TSTN theo c«ng thøc P =![]()
*100% vÏ mµu ®á, c¸c ®êngTSTN kh¸c vÏ mµu xanh
2.23. Hai ®êng TSTN ®îc vÏ trªn 1 trang giÊy x¸c suÊt
2.2.4)VÏ 3 ®êng TSLL (PIII,K-M,3®iÓm) trªn 1 trang giÊy trong ®ã ®¬ng TSLL theo ph¬ng ph¸p 3 ®iÓm vÏ mµu ®á
VÏ hai ®êng TSLL(PIII, 3 ®iÓm) vµ ®êng TSLL theo c«ng thøcP=![]()
*100% trªn mét trang giÊy s¸c xuÊt trong ®ã ®êng TSLL theo c«ng thøc P=![]()
*100% vÏ mµu ®á.
2.2.5. C¸c h×nh vÏ minh ho¹, b¶ng biÓu , ®å thÞ ph¶i cã tªn , ®¸nh sè thø tù.
2.2.6. C¸c c«ng thøc ph¶i ®îc ®¸nh sè thø tù
2.2.7. NÕu ¸p dông tin häc trong tÝnh to¸n, ph¶i ®a vµo phô lôc.
2.2.8. ThuyÕt minh khæ A4, b×a Nilon, c¸c ®å thÞ vÏ trªn giÊy kÎ ly(khuyÕn khÝch lµm b»ng vi tÝnh) bao gåm c¸c tr×nh tù nh sau:
-B×a ngoµi
-NhiÖm vô bµi tËp lín
-Muc lôc
-Néi dung tÝnh to¸n
-Phô lôc tÝnh to¸n(nÕu ¸p dông tin häc)
- Tµi liÖu tham kh¶o.
2.3. Thëng , ph¹t
2.3.1. Thëng
-Ap dông tin häc……………………………………………………….
-Nép sím:……………………………………………………………...
-Tr×nh bµy ®Ñp , ®óng quy c¸ch:……………………………………...
-Lý do kh¸c:…………………………………………………………..
2.3.2. Ph¹t:
-Kh«ng ¸p dông tin häc......................................................................
-ChËm tiÕn ®é........................................................................................
-Tr×nh bµy xÊu, kh«ng ®óng quy c¸ch ………………………….......
-Lý do kh¸c …………………………………………………............
2.3.3. §¸nh gi¸ cña gi¸o viªn híng dÉn:
………………………......................................................................................................................................................................................................................................................................................................................................................
1.Tµi liÖu vÒ mùc níc
B¶ng 1.1: Sè liÖu mùc níc ®Ønh triÒu cao thang 6 n¨m 2002
Ngày/Tháng |
0 |
2 |
4 |
6 |
8 |
10 |
12 |
14 |
16 |
18 |
20 |
22 |
1 |
270 |
200 |
120 |
60 |
40 |
50 |
90 |
160 |
240 |
300 |
330 |
320 |
CN |
280 |
220 |
150 |
90 |
60 |
60 |
90 |
140 |
210 |
270 |
310 |
310 |
3 |
280 |
240 |
180 |
120 |
90 |
80 |
90 |
130 |
190 |
240 |
280 |
290 |
4 |
270 |
240 |
190 |
150 |
120 |
100 |
110 |
140 |
180 |
220 |
250 |
260 |
5 |
250 |
230 |
200 |
160 |
140 |
130 |
140 |
150 |
180 |
210 |
230 |
240 |
6 |
230 |
210 |
190 |
170 |
160 |
150 |
160 |
170 |
190 |
200 |
220 |
220 |
7 |
210 |
190 |
170 |
160 |
160 |
170 |
190 |
200 |
200 |
210 |
210 |
200 |
8 |
180 |
160 |
150 |
150 |
160 |
190 |
210 |
230 |
230 |
220 |
210 |
190 |
CN |
160 |
140 |
130 |
130 |
150 |
190 |
230 |
250 |
260 |
240 |
210 |
190 |
10 |
150 |
120 |
100 |
100 |
130 |
180 |
240 |
280 |
290 |
270 |
230 |
190 |
11 |
140 |
100 |
70 |
70 |
100 |
160 |
230 |
290 |
320 |
310 |
260 |
210 |
12 |
150 |
90 |
50 |
50 |
70 |
130 |
220 |
290 |
330 |
340 |
300 |
230 |
13 |
170 |
100 |
50 |
30 |
40 |
100 |
190 |
270 |
340 |
360 |
330 |
270 |
14 |
190 |
120 |
50 |
20 |
20 |
70 |
150 |
250 |
320 |
370 |
360 |
300 |
15 |
230 |
150 |
70 |
30 |
10 |
50 |
110 |
210 |
290 |
350 |
360 |
330 |
CN |
260 |
180 |
110 |
50 |
20 |
40 |
90 |
170 |
250 |
320 |
350 |
330 |
17 |
280 |
210 |
150 |
90 |
50 |
50 |
80 |
140 |
210 |
280 |
320 |
320 |
18 |
290 |
230 |
180 |
130 |
90 |
80 |
90 |
130 |
180 |
240 |
270 |
290 |
19 |
270 |
240 |
200 |
160 |
140 |
120 |
120 |
140 |
170 |
200 |
230 |
240 |
20 |
240 |
220 |
200 |
190 |
170 |
170 |
160 |
170 |
180 |
190 |
190 |
200 |
21 |
200 |
190 |
180 |
180 |
190 |
200 |
210 |
210 |
200 |
190 |
180 |
160 |
22 |
150 |
140 |
150 |
160 |
190 |
230 |
250 |
260 |
250 |
220 |
180 |
150 |
CN |
120 |
100 |
100 |
130 |
170 |
230 |
270 |
290 |
290 |
260 |
210 |
150 |
24 |
100 |
70 |
70 |
80 |
130 |
210 |
270 |
320 |
330 |
300 |
240 |
180 |
25 |
110 |
60 |
40 |
50 |
90 |
170 |
250 |
320 |
350 |
330 |
280 |
210 |
26 |
130 |
70 |
30 |
20 |
60 |
130 |
220 |
300 |
350 |
360 |
320 |
250 |
27 |
170 |
90 |
40 |
20 |
30 |
90 |
180 |
270 |
330 |
360 |
340 |
280 |
28 |
200 |
120 |
60 |
30 |
30 |
70 |
150 |
240 |
310 |
350 |
340 |
300 |
29 |
230 |
150 |
90 |
50 |
40 |
60 |
120 |
200 |
280 |
320 |
330 |
300 |
CN |
250 |
180 |
120 |
70 |
60 |
70 |
110 |
180 |
250 |
300 |
310 |
300 |
B¶ng1.2.Sè liÖu t¬ng quan
Yi |
0.46 |
0.55 |
0.63 |
0.65 |
0.68 |
0.6 |
0.59 |
0.57 |
0.62 |
0.52 |
0.59 |
0.57 |
Xi |
|
|
|
|
|
|
|
|
|
|
9.73 |
9.69 |
Yi |
0.57 |
0.58 |
0.55 |
0.51 |
0.53 |
0.6 |
0.65 |
0.62 |
0.64 |
0.67 |
0.65 |
0.59 |
Xi |
9.71 |
9.75 |
9.62 |
9.57 |
9.6 |
10 |
10.5 |
10.4 |
10.7 |
10.8 |
10.7 |
9.89 |
Yi |
0.58 |
0.64 |
0.68 |
0.51 |
|
|
|
|
|
|
|
|
Xi |
9.82 |
10.7 |
10.8 |
9.45 |
|
|
|
|
|
|
|
|
Tuy nhiªn, ta cha thÓ dïng ®îc sè liÖu nµy ®Ó tÝnh to¸n. Do mét sè chç trong b¶ng sè liÖu trªn cã sai sãt.NÕu ta bá ®i th× sè liÖu cña ta kh«ng ®ñ, nªn ta quyÕt ®Þnh lµ söa l¹i sè liÖu theo xu thÕ cña mùc níc lµ ®ang lªn hay ®ang xuèng dùa vµo c¸c sè liÖu xung quanh!
B¶ng sè liÖu nµy sÏ ®îc chØnh söa l¹i cho c¸c kho¸ sau!
II-Néi dung tÝnh to¸n
Ch¬ng I .vÏ ®êng tstn
1) C¬ së lÝ thuyÕt
_§êng TSTN lµ ®êng TS ®îc x¸c ®Þnh tõ mÉu sè liÖu thùc nghiÖm (quan tr¾c)cña mét ®¹i lîng ngÉu nhiªn biÓu thÞ mèi quan hÖ hµm sè gi÷ biÕn ngÉu nhiªn nghiªn cøu vµ x¸c suÊt tÝch luü t¬ng øng, ®ång thêi thÓ hiÖn cô thÓ quy luËt thèng kª cña tËp hîp mÉu
- X©y dùng §TSTN theo c«ng thøc P = ![]()
*100%
+ThiÕt lËp tËp hîp mÉu cÇn nghiªn cøu
+X¾p sÕp tËp hîp mÉu theo thø tù tõ lín ®Õn nhá
+Ph©n cÊp liÑt tµi liÖu nÕu cã
+T×m tÇn sè mi
+T×m tÇn suÊt tÝch luü ∑Pi(x≥ xi)
+VÏ ®êng TSTN dùa vµo c¸c ®iÓm thùc nghiÖm cña biÕn ngÉu nhiªn .§êng TSTN ®îc vÏ trªn giÊy x¸c suÊt ®Ó tr¸nh t×nh tr¹ng qu¸ dèc ë hai ®Çu ®êng TS
VD : VÏ ®êng tÇn suÊt thùc nghiÖm
Tµi liÖu cña nh÷ng dßng trung b×nh t¹i mét ch¹m thuû v¨n trong 20 n¨m ; 176; 212; 234; 147; 288; 215; 262; 250; 192; 167; 284; 264; 275; 213; 188; 221; 242; 189; 245; 196.
STT |
x¾p sÕp |
mi |
Pi(%) |
ΣPi(%) |
STT |
x¾p sÕp |
mi |
Pi(%) |
ΣPi(%) |
1 |
288 |
1 |
5 |
5 |
11 |
215 |
1 |
5 |
55 |
2 |
284 |
1 |
5 |
10 |
12 |
213 |
1 |
5 |
60 |
3 |
275 |
1 |
5 |
15 |
13 |
212 |
1 |
5 |
65 |
4 |
264 |
1 |
5 |
20 |
14 |
196 |
1 |
5 |
70 |
5 |
262 |
1 |
5 |
25 |
15 |
192 |
1 |
5 |
75 |
6 |
250 |
1 |
5 |
30 |
16 |
189 |
1 |
5 |
80 |
7 |
245 |
1 |
5 |
35 |
17 |
188 |
1 |
5 |
85 |
8 |
242 |
1 |
5 |
40 |
18 |
176 |
1 |
5 |
90 |
9 |
234 |
1 |
5 |
45 |
19 |
167 |
1 |
5 |
95 |
10 |
221 |
1 |
5 |
50 |
20 |
147 |
1 |
5 |
100 |
NhËn xÐt : trong 20 n¨m xuÊt hiÖn mét lÇn Qmax ≥ 288m3/s P(Q ≥ 288) =5%. Trong 20 n¨m xuÊt hiÖn 20 lÇn chØ sè Q ≥ 147 m3/s, P ( x ≥147) = 100%.
VÏ ®êng TSTN
-C¸c c«ng thøc tÝnh ®êng TSTN
Ta thÊy tÝnh theo c«ng thøc P= ![]()
*100% th× øng víi trÞ sè bÐ nhÊt cña mÉu bao giê còng xuÊt hiÖn 100% nghÜa lµ sau nµy kh«ng cã trÞ sè nµo bÐ h¬n nã n÷a nªn chØ øng dông khi n→ ∞ . §Ó kh¾c phôc nhîc ®iÓm ®ã ngêi ta ®a ra mét sè c«ng thøc sau
+ C«ng thøc trung b×nh: P =![]()
*100% (1)
+ C«ng thøc väng sè : P = ![]()
*100% (2)
+ C«ng thøc sè gi÷a : P = ![]()
*100% (3)
C«ng thøc Alªcx©yep : P = ![]()
*100% (4) VD: P1 =(1-0.5 )/20*100=2.5% : P2 = 1/(20+1)*100= 4.7% ;
P3= (1-0.3)/20*100=33.4% ; P4 =(1-0.25)/(20+0.25)*100 = 30,6%
Theo kinh nghiÖm tÝnh to¸n thuû v¨n toµn cho c«ng tr×nh th× c«ng thøc väng xè b¶o ®¶m an toµn h¬n c¶ v× vËy c«ng thøc väng sè ®îc sö dông réng r·i h¬n c¶.
2)øng dông
+)ThiÕt lËp tËp hîp mÉu cÇn nghiªn cøu (B¶ng 1)
+) ChØnh söa sè liÖu (B¶ng 2)
+)X¾p xÕp sè liÖu tõ lín ®Õn nhá (B¶ng 4).
B¶ng 4. S¾p xÕp sè liÖu tõ lín ®Õn nhá
0 |
2 |
4 |
6 |
8 |
10 |
12 |
14 |
16 |
18 |
20 |
22 |
370 |
320 |
280 |
250 |
230 |
200 |
190 |
170 |
150 |
120 |
90 |
60 |
360 |
320 |
280 |
250 |
230 |
200 |
190 |
170 |
150 |
120 |
90 |
50 |
360 |
320 |
280 |
250 |
220 |
200 |
190 |
170 |
150 |
120 |
90 |
50 |
360 |
320 |
280 |
250 |
220 |
200 |
190 |
170 |
150 |
120 |
90 |
50 |
360 |
310 |
280 |
240 |
220 |
200 |
180 |
160 |
150 |
120 |
90 |
50 |
360 |
310 |
280 |
240 |
220 |
200 |
180 |
160 |
150 |
120 |
90 |
50 |
350 |
310 |
270 |
240 |
220 |
200 |
180 |
160 |
140 |
120 |
90 |
50 |
350 |
310 |
270 |
240 |
220 |
200 |
180 |
160 |
140 |
120 |
90 |
50 |
350 |
310 |
270 |
240 |
220 |
200 |
180 |
160 |
140 |
120 |
80 |
50 |
350 |
300 |
270 |
240 |
220 |
200 |
180 |
160 |
140 |
110 |
80 |
50 |
350 |
300 |
270 |
240 |
220 |
200 |
180 |
160 |
140 |
110 |
80 |
50 |
340 |
300 |
270 |
240 |
210 |
200 |
180 |
160 |
140 |
110 |
80 |
50 |
340 |
300 |
270 |
240 |
210 |
200 |
180 |
160 |
140 |
110 |
70 |
40 |
340 |
300 |
270 |
240 |
210 |
200 |
180 |
160 |
140 |
110 |
70 |
40 |
340 |
300 |
270 |
240 |
210 |
190 |
180 |
160 |
140 |
100 |
70 |
40 |
330 |
300 |
270 |
240 |
210 |
190 |
180 |
160 |
140 |
100 |
70 |
40 |
330 |
300 |
270 |
240 |
210 |
190 |
180 |
160 |
130 |
100 |
70 |
40 |
330 |
300 |
260 |
230 |
210 |
190 |
180 |
160 |
130 |
100 |
70 |
40 |
330 |
290 |
260 |
230 |
210 |
190 |
180 |
150 |
130 |
100 |
70 |
30 |
330 |
290 |
260 |
230 |
210 |
190 |
180 |
150 |
130 |
100 |
70 |
30 |
330 |
290 |
260 |
230 |
210 |
190 |
180 |
150 |
130 |
100 |
70 |
30 |
330 |
290 |
260 |
230 |
210 |
190 |
170 |
150 |
130 |
100 |
70 |
30 |
330 |
290 |
260 |
230 |
210 |
190 |
170 |
150 |
130 |
100 |
70 |
30 |
330 |
290 |
250 |
230 |
210 |
190 |
170 |
150 |
130 |
100 |
60 |
30 |
320 |
290 |
250 |
230 |
210 |
190 |
170 |
150 |
130 |
90 |
60 |
20 |
320 |
290 |
250 |
230 |
210 |
190 |
170 |
150 |
130 |
90 |
60 |
20 |
320 |
290 |
250 |
230 |
210 |
190 |
170 |
150 |
130 |
90 |
60 |
20 |
320 |
280 |
250 |
230 |
210 |
190 |
170 |
150 |
130 |
90 |
60 |
20 |
320 |
280 |
250 |
230 |
210 |
190 |
170 |
150 |
120 |
90 |
60 |
20 |
320 |
280 |
250 |
230 |
200 |
190 |
170 |
150 |
120 |
90 |
60 |
10 |
+)Ph©n cÊp liÖt tµi liÖu
Gäi n lµ sè cÊp, chän n = 30 :![]()
Kho¶ng c¸ch 1 cÊp
![]()
![]()
VËy m =5
+)TÇn suÊt r¬i vµo tõng cÊp (mi) ®îc x¸c ®Þnh trong B¶ng 5:
B¶ng 5. TÝnh to¸n §TSTN
STT |
CÊp mùc níc H(cm) |
Htbi |
mi |
P1i= |
|
P2i=( *100% |
|
370-359 |
364 |
6 |
1.66 |
1.66 |
1.53 |
1.53 |
|
358-347 |
352 |
5 |
1.39 |
3.05 |
1.25 |
2.78 |
|
346-335 |
340 |
4 |
1.11 |
4.16 |
0.97 |
3.75 |
|
334-323 |
328 |
9 |
2.49 |
6.65 |
2.36 |
6.11 |
|
322-311 |
316 |
10 |
2.77 |
9.42 |
2.64 |
8.75 |
|
310-299 |
304 |
14 |
3.88 |
13.3 |
3.75 |
12.5 |
|
298-287 |
292 |
9 |
2.49 |
15.79 |
2.36 |
14.86 |
|
286-275 |
280 |
9 |
2.49 |
18.28 |
2.36 |
17.22 |
|
274-263 |
268 |
11 |
3.04 |
21.32 |
2.91 |
20.13 |
|
262-251 |
256 |
6 |
1.66 |
22.98 |
1.53 |
21.66 |
|
250-239 |
244 |
24 |
6.65 |
29.63 |
5.36 |
27.02 |
|
238-227 |
232 |
15 |
4.15 |
33.78 |
4.03 |
31.05 |
|
226-215 |
220 |
9 |
2.49 |
36.27 |
2.36 |
33.41 |
|
214-203 |
208 |
18 |
4.98 |
41.25 |
4.86 |
38.27 |
|
202-191 |
196 |
15 |
4.15 |
45.4 |
4.03 |
42.3 |
|
190-179 |
184 |
37 |
10.24 |
55.64 |
10.14 |
52.44 |
|
178-167 |
172 |
13 |
3.60 |
59.24 |
3.47 |
55.91 |
|
166-155 |
160 |
14 |
3.88 |
63.12 |
3.75 |
59.66 |
|
154-143 |
148 |
18 |
4.98 |
68.1 |
4.86 |
64.52 |
|
142-131 |
136 |
10 |
2.77 |
70.87 |
2.64 |
67.16 |
|
130-119 |
124 |
23 |
6.37 |
77.24 |
6.25 |
73.41 |
|
118-107 |
112 |
5 |
1.39 |
78.63 |
1.25 |
74.66 |
|
106-95 |
100 |
10 |
2.77 |
81.4 |
2.64 |
77.3 |
|
94-83 |
88 |
14 |
3.88 |
85.28 |
3.75 |
81.05 |
|
82-71 |
76 |
4 |
1.11 |
86.39 |
0.97 |
82.02 |
|
70-59 |
64 |
19 |
5.26 |
91.65 |
5.14 |
87.16 |
|
58-47 |
52 |
11 |
3.04 |
94.69 |
2.91 |
90.07 |
|
46-35 |
40 |
6 |
1.66 |
96.35 |
1.53 |
91.6 |
|
34-23 |
28 |
6 |
1.66 |
98.01 |
1.53 |
93.13 |
|
22-10 |
16 |
6 |
1.66 |
99.67 |
1.53 |
94.66 |
VÏ ®êng TSTN trªn giÊy x¸c suÊt.
3) NhËn xÐt
Dùa vµo ®êng tÇn suÊt thùc nghiÖm ta thÊy ,®êng tÇn suÊt thùc nghiªm tÝnh theo c«ng thøc väng sè an toµn h¬n cho viÖc tÝnh to¸n c¸c c«ng tr×nh chèng lò v× :ë cïng mét mùc níc cao th× tÇn suÊt xuÊt hiÖn cña mùc níc tÝnh theo c«ng thøc väng sè lín h¬n tÝnh theo c«ng thøc trung b×nh, ®èi víi c«ng tr×nh chèng h¹n th× sö dông c«ng thøc trung b×nh an toµn h¬n v× : ë cïng mét mùc níc thÊp th× tÇn suÊt xuÊt hiÖn cña mùc níc tÝnh theo c«ng thøc väng sè nhá h¬n tÝnh theo c«ng thøc c«ng thøc trung b×nh.
4) Gi¶i thÝch vÒ vÊn ®Ò kÐo dµi vµ hiÖu chØnh ®êng TSTN
Sau khi vÏ song ®êng TSTN ta kh«ng thÓ dïng ngay ®Î tÝnh to¸n c¸c ®Æc trng thuû v¨n v× ®êng TSTN cßn co mét sè nhîc ®iÓm sau :
- B¶n th©n ®êng TSTN dùa trªn c¬ së thÝ nghiÖm cña t¹p hîp mÉu , mµ tËp hîp mÉu cha thÓ ®¹i diÑn cho quy luËt ngÉu nhiªn cña tæng thÓ
- §êng TSTN vÏ trªn c¬ së thÝ nghiÖm thùc nghiÖm mang nhiÒu sai sè trong qu¸ tr×nh ®o ®¹c, quan tr¾c vµ sai sè chñ quan trong khi vÏ ®å thÞ
- §êng TSTN bÞ h¹n chÕ ë hai ®Çu ®êng cong v× ë ®ã Ýt hoÆc kh«ng cã sè liÖu thùc ®o .ë hai ®Çu nµy l¹i r¬i vµo nh÷ng ®iÓm cã TS rÊt nhá hoÆc rÊt lín mµ thùc tÕ l¹i rÊt cÇn
VD: C¸c c«ng tr×nh chèng lò cÇ x¸c ®Þnh lu lîng víi TS nhá ( 1%, 0.1%,0.01%..).Cßn c¸c c«ng tr×nh giao th«ng , cÊp níc , ph¸t ®iÖn ph¶i x¸c ®Þnh víi c¸c ®Æc trng dßng ch¶y víi TS lín(95%;98%...). §êng TSTN vÏ tren giÊy th× hai ®Çu rÊt dèc , nÕu ta tiÕn hµnh kÐo dµi mét c¸ch trùc quan th× sai sè chñ quan lín ¶nh hëng ®Õn quy m« , kÝch thíc c«ng tr×nh vÒ ®Çu t , an toµn cung nh vÊn ®Ò khai th¸c ....ChÝnh v× nh÷ng lÝ do trªn nªn ta ph¶i kÐo dµi vµ hiÖu chØnh ®êng TSTN theo nguyªn t¾c sau :
+VÉn t«n träng quy luËt tù nhiªn kh¸ch quan dùa vµo c¸c sè c¸c ®iÓm cÇn ®o c¶u tËp hîp mÉu ®îc biÓu hiÖn qua ®êng TSTN
+ H¹n chÕ sai sè do quan tr¾c ®o ®¹c vµ sai sè chñ quan do x©y dùng ®êng TSTN ®ång th× ph¶i thÓ hiÖn nhiÒu quy luËt chung cña hiÖn tîng ngÉu nhiªn ®îc biÓu thÞ qua ®êng TSLL
+ C«ng viÖc tÝnh to¸n ph¶i tiÕn hµnh thuË n lîi , dÔ sö dông .XuÊt ph¸t tõ nh÷ng nguyªn t¾c trªn , trong tÝnh to¸n thuû v¨n ngêi ta ¸p dông biÖn ph¸p sau :
T×m ®îc quy luËt thèng kª cña ®¹i lîng thuû v¨n , kÐo dµi hiÖu chØnh ®êng TSTN b»ng mét ®êng TS lÝ luËn t¬ng øng. KÕt qu¶ ®¸p øng ®îc ta vÏ ®êng TS tÝnh to¸n phï hîp víi quy luËt biÕn ®æi chung cña hiÖn tîng thuû v¨n , ®¸p øng nhu cÇu x©y dùng vµ sö dông c¸c c«ng tr×nh thuû.
Ch¬ng II:®êng tÇn suÊt lÝ luËn
I-VÏ ®êng TSLL Piªcson III
1) C¬ së lÝ luËn
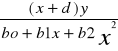
- Quy luËt xuÊt hiÖn cña c¸c ®¹i lîng ngÉu nhiªn ®îc biÓu thÞ to¸n häc qua hµm mËt ®é x¸c suÊt f(xi) hay hµm tÝch ph©n ph©n bè x¸c suÊt F/(xi) . Nhµ sinh vËt häc Piecson ®· ®a ra 13 ®êng mËt ®é TS ®Ó biÓu diÔn c¸c quy luËt kh¸c nhau cña hiÖn tîng ngÉu nhiªn. C¸c quy luËt nµy nãi chung lµ kh«ng ®èi xøng, c¸c ®¹i lîng thuû v¨n còng lµ c¸c ®¹i lîng ngÉu nhiªn kh«ng ®èi xøng vµ phï hîp víi d¹ng ®êng thø 3 trong hä13 ®êng cho nªn gäi lµ ®êng PIII. Hä ®êng cong PIII cã d¹ng ![]()
=
(II.1)
- Gi¶i ph¬ng tr×nh bo +b1x + b2x2 = 0 ta ®îc nhiÒu lo¹i nghiÖm kh¸c nhau vµ 13 d¹ng ®êng cong
§êng PIII cã b2=0 chuyÓn trôc to¹ ®é tõ ![]()
vÒ xd vµ tÝch ph©n th× ta ®îc y= yo 
*![]()
(II.2 )
Trong ®ã x lµ to¹ ®é cña ®êng cong cßn yo lµ x¸c suÊt xuÊt hiÖn sè ®«ng ( tung ®é lín nhÊt cña ®êng cong øng víi xd) vµ a lµ kho¶ng c¸ch cuèi bªn tr¸i ®êng cong ®Õn vÞ trÝ sè ®«ng , d lµ ®é lÖch tõ xd ®Õn x, e lµ logarit tù nhiªn
*§Æc ®iÓm cña PIII ®Çu tr¸i cã giíi h¹n tån t¹i vÞ trÝ nhá nhÊt
lµ xmin, ®Çu ph¶i lµ v« h¹n( kh«ng cã gi¸ trÞ giíi h¹n lµ xmax)
2) øng dông
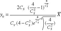
- Khi biÕt 3 tham sè yo, a, d th× ®êng cong TS hßan toµn ®îc x¸c ®Þnh .Qua ph©n tÝch to¸n häc thèng kª rót ra ®îc quan hÖ gi÷a 3 tham sè trªn víi c¸c tham sè thèng kª nh sau: d = ![]()
* ![]()
(II.3) a = ![]()
* ![]()
-d=![]()
-![]()
(II.4)

(II.5)
Gi¸ trÞ ®îc tra trong b¶ng lËp s½n nÕu biÕt ®îc c¸c gi¸ trÞ![]()
, cv, cs th× x¸c ®Þnh ®îc ®êng mËt ®é TS PIII. TÝch ph©n ®êng TS ®ã ta ®îc ®êng TS luü tÝch PIII
- §Ó thuËn tiÖn cho viÖc thùc hµnh to¸n toan tÝnh to¸n Poster vµ Rupkin ®· lËp thµnh b¶ng tra s½n ®Ó vÏ ®êng TS luü tÝch
+ §Æt hÖ sè t¸ch rêi Φ ( kho¶ng lÖch tung ®é phô thuéc vµo TS P vµ Cs, Φ(cs,p) ®îc tra trong b¶ng phô lôc 1 cña ®êng TSLL PIII
Φ=![]()
=f(Cs,P)
+X¸c ®Þnh hÖ sè biÕn suÊt Kp: Kp=ΦCv+1 (II.6)
+ TÝnh gi¸ trÞ tung ®é cña ®êng TS Xp: Xp = ![]()
*Kp = (ΦCv+1)![]()
(II.7)
+ Dùa vµo Xp,P trªn giÊy x¸c suÊt ta vÏ ®îc ®êng ph©n bè mËt ®é tÇn suÊt PIII cña ®¹i lîng cÇn nghiªn cøu
Chó ý khi sö dông ®êng TS PIII
Khi Cs < 0 vÉn cã thÓ tra b¶ng,
nhng ph¶i biÕn ®æi Φp(cs<0) =- Φ(100-p)(cs >0)
Giíi h¹n cña Cs:2Cv ≤ Cs ≤ ![]()
(II.8)
Khi Cs < 2Cv th× PIII mang trÞ sè ©m , ®iÒu ®ã kh«ng phï hîp víi hiÖn tîng thuû v¨n
Khi Cs >2Cv th× Xmin > 0.
Khi Cs=2Cv th× Xmin = 0.
3)Tr×nh tù tÝnh to¸n
a,ThiÕt lËp tËp hîp mÉu(B¶ng 3)
b, S¾p xÕp sè liÖu tõ lín ®Õn nhá (B¶ng 4)
c,Ph©n cÊp liÖt tµi liÖu (nh trªn)
d,X¸c ®Þnh c¸c tham sè thèng kª
-X¸c ®Þnh gÝa trÞ ![]()
=![]()
=![]()
=
=![]()
(cm)
* Sè trung vÞ Xv
+ Khi c¸c tham sè trong liÖt lµ ch½n th× sè trung vÞ lµ sè b×nh qu©n cña 2 sè ë gi÷a
+ Khi c¸c tham sè trong liÖt lµ lÎ th× sè trung vÞ lµ sè ë gi÷a
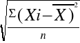
Kho¶ng lÖch qu©n ph¬ng σ : trong tËp hîp mÉu cã n gi¸ trÞ tõ x1.....xn sè trung b×nh lµ ![]()
th× ta gäi (Xi -![]()
)lµ kho¶ng lÖch cña trÞ sè Xi víi ![]()
kho¶ng lÖch qu©n ph¬ng σ ®îc x¸c ®Þnh theo c«ng thøc sau :
σ=
=![]()
.
( Víi: ![]()
=![]()
) (II.10)
σ ph¶n ¸nh møc ®é dao ®éng cña c¸c trÞ sè quanh trÞ sè trung b×nh
σ nhá th× liÖt ph©n bè tËp trung
σ lín th× liÖt ph©n bè ph©n t¸n .
* HÖ sè ph©n t¸n Cv
Lµ kho¶ng lÖch qu©n ph¬ng vµ sè trung b×nh cña ®·y sè
Cv= ![]()
=
*![]()
= 
(II.11)
Ki = ![]()
( hÖ sè biÕn suÊt )
Cv lµ mét sè kh«ng ©m vµ kh«ng cã thø nguyªn nã nãi lªn møc ®é ph©n t¸n cña c¸c trÞ sè trong liÖt.
* HÖ sè thiªn lÖch Cs.
Dïng hÖ sè thiªn lÖch ®Ó ph¶n ¸nh h×nh d¸ng cña ®êng ph©n bè mËt ®é TS lÖch vÒ bªn tr¸i hay ph¶i cña trÞ sè trung b×nh,Cs ®îc x¸c ®Þnh theo c«ng thøc : Cs = 
= 
i=![]()
(II.12)
|
|
B¶ng 6. tÝnh to¸n ®êng tÇn suÊt Lý luËn
|
|
||||||
CÊp |
CÊp mùc níc H(cm) |
Htbi |
mi |
|
|
|
|
|
|
1 |
370-359 |
364 |
6 |
1.95 |
0.95 |
0.9025 |
5.415 |
0.8574 |
5.1444 |
2 |
358-347 |
352 |
5 |
1.88 |
0.88 |
0.7744 |
3.872 |
0.6814 |
3.407 |
3 |
346-335 |
340 |
4 |
1.82 |
0.82 |
0.6724 |
2.6896 |
0.5514 |
2.2056 |
4 |
334-323 |
328 |
9 |
1.76 |
0.76 |
0.5776 |
5.1984 |
0.439 |
3.951 |
5 |
322-311 |
316 |
10 |
1.69 |
0.69 |
0.4761 |
4.761 |
0.3286 |
3.286 |
6 |
310-299 |
304 |
14 |
1.63 |
0.63 |
0.3969 |
5.5566 |
0.25 |
3.5 |
7 |
298-287 |
292 |
9 |
1.56 |
0.56 |
0.3136 |
2.8224 |
0.1756 |
1.5804 |
8 |
286-275 |
280 |
9 |
1.5 |
0.5 |
0.25 |
2.25 |
0.125 |
1.125 |
9 |
274-263 |
268 |
11 |
1.43 |
0.43 |
0.1849 |
2.0339 |
0.0795 |
0.8745 |
10 |
262-251 |
256 |
6 |
1.37 |
0.37 |
0.1369 |
0.8214 |
0.0506 |
0.3036 |
11 |
250-239 |
244 |
24 |
1.3 |
0.3 |
0.09 |
2.16 |
0.027 |
0.648 |
12 |
238-227 |
232 |
15 |
1.24 |
0.24 |
0.0576 |
0.864 |
0.0138 |
0.207 |
13 |
226-215 |
220 |
9 |
1.18 |
0.18 |
0.0324 |
0.2916 |
0.0058 |
0.0522 |
14 |
214-203 |
208 |
18 |
1.11 |
0.11 |
0.0121 |
0.2178 |
0.0013 |
0.0234 |
15 |
202-191 |
196 |
15 |
1.05 |
0.05 |
0.0025 |
0.0375 |
0.00013 |
0.002 |
16 |
190-179 |
184 |
37 |
0.98 |
-0.02 |
0.0004 |
0.0148 |
-0.00001 |
-0.0004 |
17 |
178-167 |
172 |
13 |
0.92 |
-0.08 |
0.0064 |
0.0832 |
-0.0005 |
-0.0065 |
18 |
166-155 |
160 |
14 |
0.86 |
-0.14 |
0.0196 |
0.2744 |
-0.0027 |
-0.0378 |
19 |
154-143 |
148 |
18 |
0.79 |
-0.21 |
0.0441 |
0.7938 |
-0.0092 |
-0.1656 |
20 |
142-131 |
136 |
10 |
0.73 |
-0.27 |
0.0729 |
0.729 |
-0.0197 |
-0.197 |
21 |
130-119 |
124 |
23 |
0.66 |
-0.34 |
0.1156 |
2.6588 |
-0.0393 |
-0.9039 |
22 |
118-107 |
112 |
5 |
0.6 |
-0.4 |
0.16 |
0.8 |
-0.064 |
-0.32 |
23 |
106-95 |
100 |
10 |
0.53 |
-0.47 |
0.2209 |
2.209 |
-0.1038 |
-1.038 |
24 |
94-83 |
88 |
14 |
0.47 |
-0.53 |
0.2809 |
3.9326 |
-0.1489 |
-2.0846 |
25 |
82-71 |
76 |
4 |
0.4 |
-0.6 |
0.36 |
1.44 |
-0.216 |
-0.864 |
26 |
70-59 |
64 |
19 |
0.34 |
-0.66 |
0.4356 |
8.2764 |
-0.2874 |
-5.4606 |
27 |
58-47 |
52 |
11 |
0.28 |
-0.72 |
0.5184 |
5.7024 |
-0.3732 |
-4.1052 |
28 |
46-35 |
40 |
6 |
0.21 |
-0.79 |
0.6241 |
3.7446 |
-0.493 |
-2.958 |
29 |
34-23 |
28 |
6 |
0.15 |
-0.85 |
0.7225 |
4.335 |
-0.6141 |
-3.6846 |
30 |
22-10 |
16 |
6 |
0.09 |
-0.91 |
0.8281 |
4.9689 |
-0.7536 |
-4.5216 |
X¸c ®Þnh tham sè thèng kª: 

B¶ng 7. B¶ng xö lý kÕt qu¶
|
m |
|
|
|
|
|
|
360 |
12 |
67190 |
186,64 |
78,9541 |
-0.0377 |
0.22 |
-0,01 |
![]()
Tõ Cs = - 0.01 ta tra theo CT: Φp(cs<0) =- Φ(100-p) (cs >0).
Tõ c¸c kÕt qu¶ trªn, ta lËp b¶ng thèng kª vµ vÏ ®êng TSLL PEAR III.
B¶ng 8. VÏ ®êng TSLL Pearson III
P(%) |
0.1 |
1 |
3 |
5 |
10 |
20 |
25 |
30 |
40 |
|
3.09 |
2.33 |
1.88 |
1.64 |
1.28 |
0.84 |
0.67 |
0.52 |
0.25 |
|
1.68 |
1.513 |
1.414 |
1.361 |
1.281 |
1.185 |
1.147 |
1.114 |
1.055 |
|
313.5 |
282.3 |
263.83 |
253.98 |
239.2 |
221.13 |
214.15 |
207.99 |
196.9 |
P(%) |
50 |
60 |
70 |
75 |
80 |
90 |
95 |
97 |
99 |
99.9 |
|
0.00 |
-0.25 |
-0.52 |
-0.67 |
-0.84 |
-1.28 |
-1.64 |
-1.88 |
-2.33 |
-3.09 |
|
1 |
0.945 |
0.89 |
0.853 |
0.815 |
0.72 |
0.64 |
0.586 |
0.487 |
0.32 |
|
186.64 |
176.37 |
165.3 |
159.13 |
152.15 |
134.1 |
119.3 |
109.45 |
90.97 |
59.76 |
VÏ ®êng TSLL Pearson III trªn giÊy x¸c suÊt.
II-VÏ ®êng TSLL krisky - Meken (k - m)
1-Cë së lÝ thuyÕt
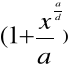
Trong thùc tÕ tÝnh to¸n thuû v¨n vÉn tån t¹i mét sè trêng hîp Cs < 2Cv lóc ®ã ®êng PIII cã gi¸ trÞ ©m nªn kh«ng phï hîp.XuÊt ph¸t tõ ®êngPIII víi Cs = 2Cv vµ mét sè ®iÒu kiÖn to¸n häc phï hîp víi thùc tÕ ,Krisky-Melken ®Ò nghÞ dïng ®êng mËt ®étÇn suÊt K-M ®Ó dïng cho tõng trêng hîp Cs<2Cv .Hµm mËt ®é K-M cã d¹ng
Y=![]()
![]()
![]()
xa/b-1ea(x/a)![]()
Víi 0![]()
,![]()
-a,b lµ h»ng sè
-K-MlËp b¶ng tra s½n c¸c gi¸ trÞ Kp øng víi c¸c trêng hîp kh¸c nhau cña Cs,c¸c gi¸ gi¸ trÞ Xp=Kp.![]()
Tõ c¸c cÆp Xp,P ta vÏ ®îc ®êng tÇn suÊt K-M.
2-Tr×nh tù tÝnh to¸n
a-ThiÕt lËp tËp hîp mÉu(b¶ng 3)
b-S¾p xÕp sè liÖu tõ lín ®Õn nhá (b¶ng4)
c-ph©n cÊp liÖt tµi liÖu(nh trªn)
d-X¸c ®Þnh tham sè thèng kª
![]()
= 186.64(cm)
Cv = 0.22
Cs= m Cv, chän m = 1,ta cã Cs = 0.22
Tõ Cs = 0.22 ta tra ra Kp theo b¶ng sau:
P(%) |
0.1 |
1 |
3 |
5 |
10 |
20 |
25 |
30 |
40 |
|
0.2 |
1.67 |
1.49 |
1.39 |
1.34 |
1.26 |
1.17 |
1.13 |
1.1 |
1.04 |
|
0.22 |
1.742 |
1.542 |
1.43 |
1.376 |
1.286 |
1.186 |
1.142 |
1.11 |
1.044 |
|
0.3 |
2.03 |
1.75 |
1.59 |
1.52 |
1.39 |
1.25 |
1.19 |
1.15 |
1.06 |
|
|
|
|
|
|
|
|
|
|
|
|
P(%) |
50 |
60 |
70 |
75 |
80 |
90 |
95 |
97 |
99 |
99.9 |
0.2 |
0.99 |
0.94 |
0.89 |
0.86 |
0.83 |
0.75 |
0.68 |
0.64 |
0.57 |
0.45 |
0.22 |
0.99 |
0.932 |
0.878 |
0.844 |
0.812 |
0.726 |
0.65 |
0.608 |
0.532 |
0.41 |
0.3 |
0.99 |
0.9 |
0.83 |
0.78 |
0.74 |
0.63 |
0.53 |
0.48 |
0.38 |
0.25 |
Tõ c¸c kÕt qu¶ trªn, ta lËp b¶ng vÏ ®êng TSLL krisky -menkel
B¶ng 9. VÏ ®êng TÇn SuÊt krisky - menkel
P(%) |
0.1 |
1 |
3 |
5 |
10 |
20 |
25 |
30 |
40 |
50 |
|
|
1.742 |
1.542 |
1.43 |
1.376 |
1.286 |
1.186 |
1.142 |
1.11 |
1.044 |
0.99 |
|
|
325.1 |
287.8 |
266.9 |
256.8 |
240 |
221.4 |
213.1 |
207.2 |
194.9 |
184.8 |
|
P(%) |
60 |
70 |
75 |
80 |
90 |
95 |
97 |
99 |
99.9 |
|
0.932 |
0.878 |
0.844 |
0.812 |
0.726 |
0.65 |
0.608 |
0.532 |
0.41 |
|
173.9 |
163.9 |
157.5 |
151.6 |
135.5 |
121.3 |
113.5 |
99.3 |
76.5 |
VÏ ®êng TSLL krisky -menkel trªn giÊy x¸c suÊt.
III-VÏ ®êng tÇn suÊt lÝ luËn theo ph¬ng ph¸p 3 ®iÓm (Ph¬ng ph¸p ®å gi¶i):P1=3%,P2=50%,P3=97%
1-Cë së lÝ thuyÕt
§Ó gi¶m bít khèi lîng tÝnh to¸n vµ thö ®îc nhanh h¬n, AlÕchx©yÐp ®Ò nghÞ ph¬ng ph¸p ®å gi¶i 3 ®iÓm ®Ó x¸c ®Þnh §TTT. §TSLL ®îc dïng lµ ®êng PIII.
*Tr×nh tù tÝnh to¸n
- §TSLL phï hîp nhÊt lµ ®êng ®i qua 3 ®iÓm vµ cã hÖ ph¬ng tr×nh nh sau:
![]()
![]()
(IV.1)
![]()

Trong ®ã ![]()
,![]()
vµ ![]()
lµ Èn sè
Qua biÕn ®æi khö ![]()
vµ ၳ ta cã:

( IV.2)
S lµ hÖ sè lÖch. Nã lµ hµm cña P vµ Cs.
Khi P ®· chän th× S chØ phô thuéc Cs vµ ![]()
. Tõ S tra b¶ng t×m ®îc Cs
- Tõ Cs ta t×m ®îc ![]()
vµ ၳ nh sau:

(IV.3)
vµ ![]()
(IV.4)
![]()
vµ ![]()
®îc tra b¶ng theo Cs
- TÝnh hÖ sè ph©n t¸n ![]()
(IV.5)
- Tõ c¸c tham sè thèng kª ![]()
, Cv vµ Cs ta vÏ ®îc ®êng TSLL dùa vµo
®êng PIII.
+ NÕu nã phï hîp víi ®êng TSTN th× kÐo dµi §TSTN theo xu thÕ cña ®êng tÇn suÊt lý luËn ta ®îc mét ®êng TSTT. Dùa vµo TSTK ta ®îc gi¸ trÞ cña biÕn ngÉu nhiªn t¬ng øng víi Xp thiÕt kÕ.
2-Tr×nh tù tÝnh to¸n
vÏ ®êng TSLL theo ph¬ng ph¸p 3 ®iÓm(ph¬ng ph¸p ®å gi¶i):P1 =3%,
P2=50%, P3=97%,
Dùa vµo ®êng tÇn suÊt TN ta x¸c ®Þnh ®îc 3 ®iÓm:
Chän 3 ®iÓm |
P |
3 |
50 |
97 |
|
|
|
Xp |
155 |
119 |
70 |
TÝnh ®îc: ![]()
Tõ S ta tra ®îc Cs = - 0.69
-Tra b¶ng ta cã![]()
50% = 0.114, ![]()
10% -![]()
90% = 2.514
-TÝnh tham sè thèng kª ![]()
![]()
= H50%-![]()
![]()
50%=119 - 33.81*0.114 = 115.1 (cm)
-TÝnh ![]()
=![]()
Tõ Cs = - 0.69 ta tra ![]()
theo CT: Φp(cs<0) =- Φ(100-p)(cs >0).
KÕt qu¶ tra b¶ng ta lËp thµnh b¶ng sau:
P(%) |
0.1 |
1 |
3 |
5 |
10 |
20 |
25 |
30 |
40 |
|
0.6 |
3.96 |
2.75 |
2.12 |
1.8 |
1.33 |
0.8 |
0.61 |
0.44 |
0.16 |
|
0.69 |
-4.086 |
-2.813 |
-2.147 |
-1.908 |
-1.33 |
-0.791 |
-0.592 |
-0.431 |
-0.142 |
|
0.7 |
4.1 |
2.82 |
2.15 |
1.92 |
1.33 |
0.79 |
0.59 |
0.43 |
0.14 |
|
|
|
|
|
|
|
|
|
|
|
|
P(%) |
50 |
60 |
70 |
75 |
80 |
90 |
95 |
97 |
99 |
99.9 |
0.6 |
-0.1 |
-0.34 |
-0.59 |
-0.72 |
-0.85 |
-1.2 |
-1.45 |
-1.61 |
-1.88 |
-2.27 |
0.69 |
0.118 |
0.358 |
0.599 |
0.72 |
0.85 |
1.182 |
1.423 |
1.574 |
1.817 |
2.153 |
0.7 |
-0.12 |
-0.36 |
-0.6 |
-0.72 |
-0.85 |
-1.18 |
-1.42 |
-1.57 |
-1.81 |
-2.14 |
Tõ Cs,Cv,![]()
, ![]()
ta lËp ®îc b¶ng theo PIII
B¶ng 10. VÏ ®êng TÇn SuÊt theo ph¬ng ph¸p 3 ®iÓm
P(%) |
0.1 |
1 |
3 |
5 |
10 |
20 |
25 |
30 |
40 |
|
|
2.153 |
1.817 |
1.574 |
1.423 |
1.182 |
0.85 |
0.72 |
0.599 |
0.358 |
|
|
1.632 |
1.534 |
1.462 |
1.418 |
1.347 |
1.25 |
1.211 |
1.176 |
1.105 |
|
|
187.9 |
176.63 |
168.34 |
163.28 |
155.1 |
143.93 |
139.44 |
135.41 |
127.24 |
|
|
|
|
|
|
|
|
|
|
|
|
P(%) |
50 |
60 |
70 |
75 |
80 |
90 |
95 |
97 |
99 |
99.9 |
|
0.118 |
-0.142 |
-0.431 |
-0.592 |
-0.791 |
-1.33 |
-1.908 |
-2.147 |
-2.813 |
-4.086 |
|
1.035 |
0.958 |
0.873 |
0.826 |
0.768 |
0.609 |
0.44 |
0.37 |
0.174 |
-0.2 |
|
119.18 |
110.31 |
100.52 |
95.11 |
88.43 |
70.12 |
50.66 |
42.6 |
20.04 |
-23.03 |
VÏ ®êng TSLL 3 ®iÓm trªn giÊy x¸c suÊt.
Ch¬ng III: ph©n tÝch t¬ng quan
1. C¬ së lý luËn
a, Kh¸i niÖm chung vµ ph©n lo¹i.
* Kh¸i niÖm: Khi nghiªn cøu c¸c ®¹i lîng thuû v¨n nhiÒu trêng hîp liÖt tµi liÖu mÉu qu¸ ng¾n dÉn ®Õn sai sè lÊy mÉu lín, kh«ng cho phÐp sö dông c¸c kÕt qu¶ trong thùc tÕ v× vËy cÇn t×m c¸ch ph¸t triÓn dung lîng cña mÉu. C«ng viÖc ®ã cßn gäi lµ kÐo dµi sè liÖu.
Trong thùc nghiÖm ta nhËn thÊy sù biÕn ®æi cña ®¹i lîng X nµo ®ã cã t¬ng quan ®Õn sù biÕn ®æi cña mét hoÆc mét sè ®¹i lîng kh¸c Y, Z. ViÖc ph©n tÝch x¸c lËp vÒ mÆt sè lîng cña ®¹i lîng X víi c¸c ®¹i lîng Y, Z trong lý thuyÕt thèng kª ®îc gäi lµ ph©n tÝch t¬ng quan.
*, Ph©n lo¹i:
- T¬ng quan hµm sè: X, Y cã t¬ng quan chÆt chÏ, víi mçi gi¸ trÞ cña X sÏ cã mét hay nhiÒu gi¸ trÞ cña Y hoÆc ngîc l¹i.
- Kh«ng t¬ng quan: quan hÖ X, Y rêi r¹c ta kh«ng nhËn thÊy sù liªn hÖ gi÷a chóng hoÆc sù thay ®æi cña ®¹i lîng nµy kh«ng lµm thay ®æi ®¹i lîng kia.
- T¬ng quan thèng kª: mçi gi¸ trÞ cña X cã thÓ cã hay kh«ng gi¸ trÞ cña Y mµ ta kh«ng thÓ kh¶ng ®Þnh tríc ®îc. V× Y kh«ng nh÷ng phô thuéc vµ X mµ cßn phô thuéc nhiÒu c¸c gi¸ trÞ kh¸c n÷a.
Tuy vËy qua nhiÒu sè liÖu thèng kª ta cã thÓ nhËn thÊy mét xu thÕ râ rÖt nµo ®ã gäi lµ t¬ng quan thèng kª.
b T¬ng quan ®êng th¼ng.
* Ph¬ng ph¸p gi¶i tÝch:
- Ph¬ng tr×nh biÓu diÔn quan hÖ thèng kª gi÷a hai ®¹i lîng ngÉu nhiªn X vµ Y ®îc gäi lµ ph¬ng tr×nh ®êng håi quy.
- Gi¶ sö X vµ Y lµ cÆp trÞ sè ®èi øng nhau quan tr¾c ®îc cña hai biÕn sè ngÉu nhiªn X vµ Y. Trong tËp hîp mÉu nghiªn cøu cã n sè h¹ng nh vËy ta cã n cÆp trÞ sè (X,Y) ®èi øng nhau tõng ®«i mét ®¸nh dÊu c¸c cÆp ®iÓm (X,Y) t¹o thµnh mét b¨ng ®iÓm hÑp trªn ®å thÞ. §êng th¼ng ®i qua träng t©m b¨ng ®iÓm ®ã vµ phèi hîp tèt nhÊt c¸c ®iÓm (X,Y) trªn ®å thÞ gäi lµ ®êng håi quy.
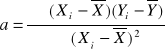
§êng håi quy cã d¹ng tæng qu¸t cña ph¬ng tr×nh ®êng th¼ng y=ax+b (V.1)
a: hÖ sè gãc, a=tgၡ
b: lµ tung ®é giao ®iÓm cña ®êng håi quy víi trôc tung.
ၡ lµ gãc hîp víi trôc hoµnh.
øng víi mçi ®iÓm thùc ®o (X,Y) ta cã kho¶ng lÖch theo tung ®o gi÷a gi¸ trÞ thùc ®o víi gi¸ trÞ t¬ng øng trªn ®êng håi quy lµ:
![]()
=> ![]()
![]()
Kho¶ng lÖch nµy cã thÓ mang dÊu ©m hoÆc d¬ng tuú theo c¸c ®iÓm thùc ®o n»m trªn hoÆc díi ®êng håi quy.
Theo nguyªn lý b×nh ph¬ng tèi thiÓu, ®êng th¼ng nµo ®ã cã tæng b×nh ph¬ng lµ min sÏ lµ ®êng phèi hîp tèt nhÊt c¸c ®iÓm thùc ®o. Nã chÝnh lµ ®êng håi quy.

(1)
Muèn ®¹t ®îc ®iÒu kiÖn trªn ta ph¶i ®¹o hµm nã víi a vµ b, tøc lµ

; 
(.2)
Gi¶i 2 ph¬ng tr×nh trªn ta sÏ ®îc:

(3)

.4)
Thay a, b vµo ph¬ng tr×nh (V-1) ta nhËn ®îc ph¬ng tr×nh ®ång quy cña y theo x.

(5)
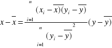
Ph¬ng tr×nh ®êng håi quy cña x theo y cã d¹ng:
x-![]()
=
(.6)
![]()
,![]()
lµ gi¸ trÞ trung b×nh cña 2 biÕn ngÉu nhiªn X,Y.
b, HÖ sè t¬ng quan: biÓu thÞ møc ®é t¬ng quan gi÷a hai biÕn ngÉu nhiªn X vµ Y. T¬ng quan thèng kª cã thÓ biÓu diÔn b»ng hai ph¬ng tr×nh (V-5) vµ (V-6). D¹ng tæng qu¸t cña chóng
y=ax+b
x=a1y+b1
Chóng c¾t nhau ë ![]()
,![]()
víi gãc kÑp lµ ၡ. Nh vËy khi b¨ng ®iÓm cµng hÑp th× ၡ cµng nhá. Tøc lµ hai ®êng håi quy trïng nhau. Lóc nµy x, y cã quan hÖ hµm sè. §iÒu kiÖn to¸n häc ®Ó 2 ®êng th¼ng nµy trïng nhau lµ a1a=1 hay ![]()
NÕu ![]()
th× X, Y cã t¬ng quan hµm sè.
NÕu ![]()
th× X, Y cã t¬ng quan thèng kª.
NÕu ![]()
cµng nhá th× X, Y cã t¬ng quan kÐm chÆt chÏ.
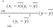
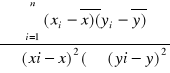
BiÓu thÞ møc ®é t¬ng quan gi÷a 2 biÕn ngÉu nhiªn X vµ Y. Thay a, a1 vµo (V-3) cã :
![]()

(7)
Qua thùc tÕ tÝnh to¸n thuû v¨n ®iÒu kiÖn ®Ó øng dông: HÖ sè ၧ≥0.8 vµ ph¶i > 10 n¨m quan tr¾c ®ång thêi gi÷a hai biÕn ngÉu nhiªn X vµ Y.
¦u ®iÓm: Th«ng qua ®êng håi quy ®Ó tÝnh to¸n kh«ng m¾c ph¶i sai sè chñ quan, cã tiªu chuÈn ®Ó ®¸nh gi¸ møc ®é t¬ng quan, tr¸nh ®îc viÖc ¸p dông tuú tiÖn.
Nhîc ®iÓm: quan hÖ X, Y thÓ hiÖn b»ng hai ®êngt¬ng quan. NÕu kÕt qu¶ cña 2 ®êng kh«ng gièng nhau th× ®ã lµ ®iÒu kh«ng hîp lý.
*. Ph¬ng ph¸p t¬ng quan ®å gi¶i.
- Trong trêng hîp tÝnh to¸n s¬ bé yªu cÇu tÝnh nhanh vµ møc ®é chÝnh x¸c kh«ng cao ta cã thÓ dïng ph¬ng ph¸p ®å gi¶i.
+ §¸nh dÊu c¸c cÆp ®iÓm (X,Y) trªn trôc to¹ ®é x0y. NÕu c¸c ®iÓm ph©n bè thµnh mét b¨ng hÑp ၧ≥0.8 ta cã thÓ dïng mét ®êng th¼ng ®i qua t©m b¨ng ®iÓm ®ã
+ Ta cã thÓ dïng ®êng quan hÖ ®Ó kÐo dµi sè hiÖu khi biÕt c¸c gi¸ trÞ cña X, ta cã thÓ suy ra gi¸ trÞ cña Y vµ ngîc l¹i.
2,øng dông:
B¶ng t¬ng quan:
+Thµnh lËp ph¬ng tr×nh håi quy cña y theo x vµ cña x theo y:
LËp b¶ng tÝnh to¸n sè liÖu:
STT |
Xi |
Yi |
|
|
|
|
|
1 |
9.45 |
0.51 |
-0.63 |
-0.08 |
0.3969 |
0.0064 |
0.0504 |
2 |
10.82 |
0.68 |
0.74 |
0.09 |
0.5476 |
0.0081 |
0.0666 |
3 |
10.67 |
0.64 |
0.59 |
0.05 |
0.3481 |
0.0025 |
0.0295 |
4 |
9.82 |
0.58 |
-0.26 |
-0.01 |
0.0676 |
0.0001 |
0.0026 |
5 |
9.89 |
0.59 |
-0.19 |
0 |
0.0361 |
0 |
0 |
6 |
10.69 |
0.65 |
0.61 |
0.06 |
0.3721 |
0.0036 |
0.0366 |
7 |
10.81 |
0.67 |
0.73 |
0.08 |
0.5329 |
0.0064 |
0.0438 |
8 |
10.7 |
0.64 |
0.62 |
0.05 |
0.3844 |
0.0025 |
0.031 |
9 |
10.35 |
0.62 |
0.27 |
0.03 |
0.0729 |
0.0009 |
0.0081 |
10 |
10.5 |
0.65 |
0.42 |
0.06 |
0.1764 |
0.0036 |
0.0252 |
11 |
10 |
0.6 |
-0.08 |
0.01 |
0.0064 |
0.0001 |
-0.0008 |
12 |
9.6 |
0.53 |
-0.48 |
-0.06 |
0.2304 |
0.0036 |
0.0288 |
13 |
9.57 |
0.51 |
-0.51 |
-0.08 |
0.2601 |
0.0064 |
0.0408 |
14 |
9.62 |
0.55 |
-0.46 |
-0.04 |
0.2116 |
0.0016 |
0.0184 |
15 |
9.75 |
0.58 |
-0.33 |
-0.01 |
0.1089 |
0.0001 |
0.0033 |
16 |
9.71 |
0.57 |
-0.37 |
-0.02 |
0.1369 |
0.0004 |
0.0074 |
17 |
9.69 |
0.57 |
-0.39 |
-0.02 |
0.1521 |
0.0004 |
0.0078 |
18 |
9.73 |
0.59 |
-0.35 |
0 |
0.1225 |
0 |
0 |
|
|
|
|
|
|
|
|
Tõ c«ng thøc (7) ta x¸c ®iÞnh ®îc ![]()
Bµi to¸n kh«ng tho¶ m·n ®iÒu kiÖn ®Ó ¸p dông ph¬ng ph¸p t¬ng quan ®êng th¼ng nhng ë gãc ®é bµi tËp vËn dông nªn ta vÉn coi nh t¬ng quan ®Ó ta tÝnh to¸n mÉu.
-Ph¬ng tr×nh ®êng håi quy cña x theo y:
Tõ c«ng thøc (6) ta cã: 
![]()
![]()
Rót gän ta ®îc:
![]()
(§êng sè I)
-Ph¬ng tr×nh ®êng håi quy cña y theo x:
Tõ c«ng thøc (5) ta cã: 
![]()
Rót gän ta ®îc:
![]()
(§êng sè II)
Ta cã b¶ng bæ sung sè liÖu:
STT |
Yi |
Xi (§êng sè I) |
Xi (§êng sè II) |
1 |
0.51 |
9.45 |
9.45 |
2 |
0.68 |
10.82 |
10.82 |
3 |
0.64 |
10.67 |
10.67 |
4 |
0.58 |
9.82 |
9.82 |
5 |
0.59 |
9.89 |
9.89 |
6 |
0.65 |
10.69 |
10.69 |
7 |
0.67 |
10.81 |
10.81 |
8 |
0.64 |
10.7 |
10.7 |
9 |
0.62 |
10.35 |
10.35 |
10 |
0.65 |
10.5 |
10.5 |
11 |
0.6 |
10 |
10 |
12 |
0.53 |
9.6 |
9.6 |
13 |
0.51 |
9.57 |
9.57 |
14 |
0.55 |
9.62 |
9.62 |
15 |
0.58 |
9.75 |
9.75 |
16 |
0.57 |
9.71 |
9.71 |
17 |
0.57 |
9.69 |
9.69 |
18 |
0.59 |
9.73 |
9.73 |
19 |
0.52 |
9.496 |
10.21 |
20 |
0.62 |
10.35 |
10.23 |
21 |
0.57 |
9.92 |
10.22 |
22 |
0.59 |
10.1 |
10.22 |
23 |
0.6 |
0.5122 |
6.2505 |
24 |
0.68 |
0.5087 |
-10.2866 |
25 |
0.65 |
0.5104 |
-2.1834 |
26 |
0.63 |
0.5049 |
-28.7255 |
27 |
0.55 |
0.5077 |
-15.1651 |
28 |
0.46 |
0.5123 |
6.912 |
KÕt luËn:
DÔ thÊy r»ng ®êng thứ nhÊt hîp lý h¬n!
Bµi tËp lín m«n häc: Thuû v¨n c«ng tr×nh.
3
Gi¸o viªn híng dÉn: NguyÔn ThÞ BÝch Th¶o
Sinh viªn thùc hiÖn: Vũ Thanh Tùng Líp: CTT48 - §H
![]()
![]()
![]()
![]()
![]()


![]()
![]()
![]()
![]()