19.03.97

Laboratorium z Fizyki
Sprawozdanie z wiczenia nr 16
Temat: „Pomiar przypieszenia ziemskiego przy pomocy wahada rewersyjnego
Wykona:
Andrzej Kotwica
I Elektronika
Grupa laboratoryjna : III
1. Cel wiczenia
Celem dowiadczenia jest wyznaczenie przyspieszenia ziemskiego za pomoc wahada rewersyjnego.
2. Cz teoretyczna

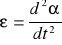
Ruch drgajcy moe wykonywa kade ciao sztywne, zawieszone tak, aby mogo porusza si wok staej osi O , ktra nie przechodzi przez jego rodek masy S (rys. 1) . Ciao takie nazywamy wahadem fizycznym .
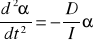
Ruch wahada fizycznego podlega drugiej zasadzie dynamiki dla ruchu obrotowego wok staej osi .
![]()
M.- Moment siy powodujcy ruch wzgldem
osi przechodzcej przez punkt zawieszenia
I-moment bezwadnoci wzgldem tej osi ![]()
- przyspieszenie ktowe
Si dziaajc na wahado jest sia cikoci G zaczepiona w rodku masy S . Std na podstawie rysunku mamy:
![]()
Warto liczbowa wektora momentu obrotowego M wynosi wic
![]()
m - masa
![]()
- kt nachylenia wahada
Znak minus pochodzi std , e moment obrotowy M. jest skierowany przeciwnie ni wektor reprezentujcy wychylenie .
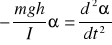
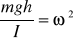
Drug zasad dynamiki dla ruchu obrotowego wok staej osi moemy te zapisa w postaci skalarnej
![]()
Dla maych ktw wychylenia wahada ![]()
, wobec tego
![]()
, a poniewa ![]()
, wic
![]()
![]()
![]()
Po podstawieniu ![]()
otrzymujemy
![]()
Jest to rwnanie rniczkowe ruchu harmonicznego dla wahada fizycznego , przy czym wielkoci , ktra drga jest kt wychylenia ![]()
. Poniewa droga rodka masy ![]()
, wic ruch rodka masy jest take ruchem harmonicznym podobnie jak ruch dowolnego punktu wahada fizycznego.
Moment siy ![]()
dla ![]()
nazywamy momentem kierujcym i oznaczamy przez D , gdzie
![]()
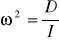
Rwnanie rniczkowe ruchu harmonicznego wahada fizycznego moemy zatem napisa w postaci
![]()
Poniewa ![]()
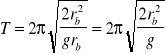
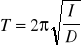
, to na okres drga wahada fizycznego przy niewielkich wychyleniach otrzymujemy wyraenie:
![]()
Zaleno okresu drga wahada fizycznego od pooenia punktu zawieszenia.
Zgodnie z twierdzeniem Steinera moment bezwadnoci wahada wzgldem osi przechodzcej przez punkt zawieszenia wyraa si wzorem
![]()
, gdzie
I0- moment bezwadnoci wzgldem osi rwnolegej do osi zawieszenia przechodzcej przez rodek cikoci
h - odlego obu osi ( odlego rodka cikoci od punktu zawieszenia )
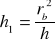
Moment bezwadnoci wzgldem rodka masy ma posta
![]()
, gdzie
rb - rami bezwadnoci
Zatem ![]()
Std okres drga wahada fizycznego wynosi

Ze wzoru tego wynika , e dla h![]()
0 T![]()
, tzn. gdy odlego punktu zawieszenia od rodka masy wahada maleje , to okres jego drga ronie. Dla malejcego h okres T![]()
, a w miar wzrost h okres maleje i osiga minimum dla h = rb , wtedy

, a dla h![]()
rb okres T znowu ronie.
Dla danego punktu zawieszenia mona poda trzy jeszcze inne punkty zawieszenia dla ktrych wahado ma ten sam okres drga . Rozpatrzymy punkty zawieszenia dla obu punktw znajdujce si po obu stronach rodka masy wahada w odlegoci h i h1 od niego.
Wzory na okresy drga dla wahada zawieszonego w tych punktach bd si przedstawiay nastpujco:

, 
Po obustronnym podniesieniu do kwadratu i odjciu stronami otrzymujemy

Std wida , e okres drga wahada zawieszonego w punktach a i c odlegych od rodka masy o h i h1 , jest rwny okresowi drga wahada matematycznego o dugoci l = h + h1
Punkt c nazywa si rodkiem drga dla punktu zawieszenia a . Porwnujc wzory

= 
otrzymujemy wzr
![]()
, z ktrego moemy wyznaczy odlego rodka drga od rodka masy wahada ,jeeli znamy odlego h punktu zawieszenia od rodka masy.
Wahado zawieszone w punkcie a ma ten sam okres drga co wahado zawieszone w rodku drga c , przy czym odlego tych punktw ( h + h1 ) jest rwna dugoci wahada matematycznego, ktre ma ten sam okres drga co dane wahado fizyczne . T dugo nazywamy dugoci zredukowan wahada fizycznego.
Rozwaania te mona zastosowa do tzw. wahada rewersyjnego , ktre zbudowane jest z prta mogcego si waha wzgldem dwch staych osi przechodzcych przez punkty A i B ( pryzmaty ostrzami skierowane do siebie ) odlege o l . na prcie zamocowane s dwa ciarki , ktre moemy swobodnie przesuwa ; jeden midzy punktami A i B ; drugi powyej punktu A . ciarki przesuwa si tak dugo , a okresy drga przy zawieszeniu wahada w punktach A i B bd rwne . wtedy l jest dugoci zredukowan wahada . Poniewa dugo l i okres drga T mona wyznaczy z du dokadnoci , wic wahado rewersyjne suy do dokadnych pomiarw przyspieszenia ziemskiego korzystajc ze wzoru na okres wahada matematycznego

3.Cz praktyczna
a) Tabela pomiarw
Lp |
lz |
t1 |
T1 |
t2 |
T2 |
Tr |
|
[m] |
[s] |
[s] |
[s] |
[s] |
[s] |
1 |
15 |
12,350 |
1,2350 |
12,380 |
1,2380 |
|
2 |
25 |
12,176 |
1,2176 |
12,199 |
1,2199 |
|
3 4 |
36 40 |
12,036 11,868 |
1,2036 1,1868 |
12,062 11,890 |
1,2062 1,1890 |
1,2031 |
5 |
46 |
11,685 |
1,1685 |
11,633 |
1,1633 |
|
Na podstawie powyszej tabeli zosta sporzdzony wykres, z ktrego atwo odczyta zblion warto dugoci zredukowanej wahada .

Tabela dla otoczenia dugoci zredukowanej :
Lp |
n |
|
lz |
lz r |
|
|
|
[s] |
[m] |
[m] |
[m.] |
1 |
10 |
0,03389 |
0,38 |
|
0,02 |
2 |
10 |
0,01592 |
0,37 |
|
0,01 |
3 |
10 |
0,00183 |
0,36 |
0,36 |
0,00 |
4 |
10 |
0,01570 |
0,35 |
|
0,01 |
5 |
10 |
0,03650 |
0,34 |
|
0,02 |
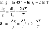
Analiza bdw :

![]()
![]()
![]()
![]()


![]()
![]()

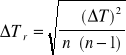
Bd wzgldny liczymy metod logarytmiczn
![]()

![]()
Bd wzgldny wynosi:
![]()
Przypieszenie ziemskie wyznaczamy ze wzoru:

![]()
Bd bezwzgldny :
![]()
Ostatecznie otrzymujemy :

Wnioski :
W wiczeniu zajlimy si wyznaczaniem przypieszenia ziemskiego za pomoc wahada rewersyjnego .Korzystajc ze wzoru na okres drga wahada fizycznego mona wyznaczy z do du dokadnoci przypieszenie ziemskie. Wahado rewersyjne ma t zalet, e moe waha si w dwch pozycjach .Po ustaleniu takiego zaoenia odwanikw, w ktry okresy byy rwne, ustawilimy dugo zredukowan na wahadle matematycznym. Okazao si, e ma ono ten sam okres drga co wahado fizyczne.
Zauwaylimy ,e w miar zwikszania dugoci pomidzy ciarkami okres drga wahada mala .Jest to zwizane z tym ,e zmieniajc pooenie odwanikw zmienialimy rwnie moment bezwadnoci wahada.
Przypieszenie obliczone w dowiadczeniu wyznaczylimy z dokadnoci do 0,56 ![]()
. Jest to wynik cakowicie zadowalajcy .Niewielki bd mg by spowodowany odmierzaniem czasu podczas ktrego wahado byo w ruchu, gdy nie bylimy w stanie idealnie zatrzyma czasomierza po 10 okresach. Natomiast bd wzgldny obliczony metod logarytmiczna wynis 5,98