Temat:
WYZNACZANIE PROMIENI KRZYWIZNY SOCZEWKI I DŁUGOŚCI FALI ŚWIETLNEJ ZA POMOCĄ PIERŚCIENI NEWTONA
1. Cel ćwiczenia:
Poznanie zjawiska interferencji w klinie optycznym ( tzw. prążki równej grubości ) oraz praktyczne zastosowanie go do celów pomiarowych.
2. Wprowadzenie:
Doświadczenie opiera się na zjawisku załamania i częściowego odbicia światła przy przejściu wiązki światła przez granicę dwóch ośrodków o różnych współczynnikach załamania. Jeżeli dwie powierzchnie graniczne tworzą klin , to wiązki odbite od nich wzajemnie ze sobą interferują . Za przykład może posłużyć powietrzny klin interferencyjny utworzony pomiędzy dwiema wewnętrznymi powierzchniami P1 i P2 płaskorównoleglych płytek szklanych. Fale odbite nakładają się we wszystkich punktach powierzchni P1. Amplitudę zinterferowanej fali określa różnica dróg optycznych promieni padających - ![]()
. Przy założeniu że kąt klina jest bardzo mały , a równoległa wiązka światła monochromatycznego pada na powierzchnię klina prostopadle , możemy obliczyć różnicę dróg optycznych między interferującymi promieniami. Określa to zależność :
![]()
gdzie h jest grubością klina w danym miejscu . W miejscach gdzie ![]()
wynosi :
![]()
k = 0 , 1 , 2 ,.... n
nastąpi wygaszenie światła na skutek interferencji , a dla
![]()
k=0, 1 ,2,.... n
nastąpi wzmocnienie światła. W klinie o płaskich powierzchniach , zaobserwujemy więc na przemian jasne i ciemne prążki. Tak zwany prążek zerowy (k=0) powstaje w miejscu styku obu powierzchni , czyli na krawędzi klina. Pierwszy (k=1) na wysokości ![]()
itd.
W klinie takim odległość wzajemna prążków jest jednakowa i jej wielkość zależy od wielkości kąta klina. Można to wykorzystać do pomiaru kąta. Jeżeli nastąpiłaby deformacja prostoliniowego przebiegu prążka , to świadczy to o odstępstwie od płaskości powierzchni. Jeżeli jedną z nich przyjmiemy za wzorcową , czyli idealnie płaską , to z uzyskanego obrazu można wnioskować o wielkości odchyłki od płaskości powierzchni P2 i dzięki temu można ją zlokalizować.
Prążki interferencyjne najłatwiej jest zaobserwować umieszczając na płaskiej płytce szklanej wypukło-sferyczną soczewkę. Powstaje wówczas między powierzchnią płytki , a powierzchnią soczewki klin powietrzny o zmieniającym się kącie. Prążki powstające w takim klinie mają kształt kolisty. Nazywamy je prążkami Newtona. W miejscu styku soczewki i płytki powstaje ciemny (zerowy ) prążek, natomiast kolejne prążki coraz bardziej się zagęszczają , aż przestaną być zauważalne.
3. Spis przyrządów :
mikroskop z przyrządem odczytowym o klasie 0.01
zestaw soczewek
źródło światła z zasilaczem
filtry monochromatyczne IF 650 i IF 575
Przebieg ćwiczenia :
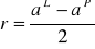
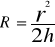
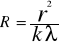
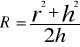
Prążki Newtona można wykorzystać do wyznaczania promienia krzywizny soczewki (R). Trzeba w tym celu znać długość fali ![]()
użytego światła oraz zmierzyć promień (r) dowolnego k-tego ciemnego prążka. Promień krzywizny soczewki oblicza się ze wzoru na promień czaszy sferycznej o promieniu podstawy (r) i wysokości (h) :
![]()
lub dla r>>h ![]()
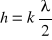
Wysokość czaszy (h) odpowiadającą k-temu ciemnemu prążkowi obliczamy ze wzoru :
![]()
Ostatecznie otrzymujemy zależność :
![]()
Znając więc długość fali ![]()
oraz promień k-tego prążka kołowego (r) można wyznaczyć promień krzywizny soczewki. Do obserwacji używa się przyrządu jak na rysunku :
t - stolik mikroskopu
P - płytka płasko - równoległa
LO - badana soczewka
ob - obiektyw mikroskopu
Z - zwierciadło półprzepuszczalne
L1 - soczewka kondensatora
ok - okular mikroskopu
F - filtr

Jest to mikroskop , na którego stoliku umieszcza się płytkę P i mierzoną soczewkę LO . Poprzez obiektyw są one oświetlane równoległą wiązką światła monochromatycznego z oświetlacza, odbitego od zwierciadła półprzepuszczalnego Z umieszczonego nad obiektywem mikroskopu. w okularze znajduje się krzyż celowniczy, który ustawia się na wybrany obraz prążka. Ustawienie takie umożliwia przesuwny stolik mikroskopu , którego przesunięcie jest mierzone poprzez czujnik zegarowy. Dokładność tego wskaźnika 10-5 m. Należy dokonać pomiaru promienia wybranego prążka, poprzez odczytanie wskaźników przesunięcia lewostronnego i prawostronnego - ( aL ) i ( aP ). Opisuje to zależność : ![]()
Dzięki znajomości długości fali świetlnej , możemy obliczyć promień krzywizny soczewki. Mając już obliczony promień możemy odwrócić przebieg doświadczenia i po przekształceniu wzoru na promień obliczyć nieznaną długość fali świetlnej, wydzielonej z wiązki światła białego poprzez założenie na oświetlacz filtra interferencyjnego.

Tablice wyników pomiarów :
Zad.1
Soczewka Nr 1 IF = 650 ( ![]()
= 650*10-9 [m] )
k = 14


k = 9

k = 4
Promień soczewki Nr 1 R = ( 557,31![]()
17.41 )*10-3 [m]
Zad.2
Soczewka Nr 1 R = ( 557,31![]()
17.41 )*10-3 [m]
k = 15

k = 10

k = 5

Długość fali Nr 1 ![]()
= ( 521,86![]()
7.31 )*10-9 [m]
Zad.3
Soczewka Nr 2 IF = 575 ( ![]()
= 575*10-9 [m]
k = 15

k = 10

k = 5

Promień soczewki Nr 2 R = ( 611,68![]()
2.26 )*10-3 [m]
Zad.4
Soczewka Nr 2 R = ( 611,68![]()
2.26 )*10-3 [m]
k = 15

k = 10

k = 5

Długość fali Nr 2 ![]()
= ( 546,61![]()
2.52 )*10-9 [m]
Przykładowe obliczenia:
alk , apk - wskazania czujnika w mm
Do Zad. 1 i Zad.3
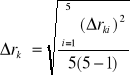
rk = 
![]()
= ![]()
![]()

![]()
![]()
![]()
![]()
= ![]()

Np.
rk = ![]()
[mm]
rkśr = ![]()
= 2.2045 [mm]
![]()
= 0.0045 [mm]

= 2.42*10-3 [mm] = 2.42 [![]()
m]

[mm]

1.17*10-3 [m] = 1.17 [mm]
![]()
= 0.22 [%]
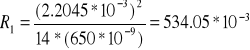
![]()
= ![]()
= ![]()
[m] = 557.31[mm]

= ![]()
[m] = 17.41 [mm]
alk , apk - wskazania czujnika w mm
Do Zad. 2 i Zad. 4
rk = 
![]()
= ![]()
![]()



![]()
![]()
= ![]()

Np.
rk = ![]()
[mm]
rkśr = ![]()
= 2.0705 [mm]
![]()
= 0.0195 [mm]

= 2.18*10-3 [mm] = 2.42 [![]()
m]
![]()
= 512.82*10-9 [m] = 512.82 [nm]

5.04*10-9 [m] =
= 5.04 [nm]
![]()
= 3.63 [%]
![]()
= ![]()
= ![]()
[m] = 521.86 [nm]

= 7.31*10-9 [m] = 7.31 [nm]
Wnioski i dyskusja błędów:
Dokonaliśmy pomiarów odległości oddalenia k-tego prążka od jego środka w stronę lewą i prawą. Do pomiarów tych służył mikroskop z przyrządem odczytowym o klasie 0.01 mm. Na podstawie zmierzonych wielkości można było dokonać obliczeń : k-tego promienia prążka rk , by następnie obliczyć promień soczewki R ( Zad.1 i 3 ) i znając R obliczyć długość fali świetlnej padającej na soczewkę ![]()
( Zad. 2 i 4 ). Aby otrzymać najbardziej dokładne wyniki szukanych wielkości , zastosowaliśmy po 5 pomiarów dla 3 różnych prążków przy każdej soczewce osobno. Otrzymane wielkości szukane R i ![]()
wynoszą :
Dla soczewki nr 1 : R = ( 557.31![]()
17.41 )*10-3 m ![]()
= ( 521.86![]()
7.31 )*10-9 m
Dla soczewki nr 2 : R = ( 611.68![]()
2.26 )*10-3 m ![]()
= ( 546.61![]()
2.52 )*10-9 m
Pomiar nieznanej długości światła wskazuje na wartość dla światła zielono-żółtego , co jest zgodne z tym co obserwowaliśmy na ćwiczeniu. Na wartość R ma wpływ błędu ![]()
rk , który należało uwzględnić przy obliczeniach , a na wartość ![]()
ma wpływ błąd ![]()
rk oraz błąd ![]()
R obliczony wcześniej. Błędy ![]()
![]()
i ![]()
R liczone były metodą różniczki zupełnej. Wartości błędów względnych wielkości ![]()
i R zawierają się w przedziale ( 0.12% ![]()
3.63% ) wartości obliczonej. Z tego wynika , że zmierzone i obliczone wartości są dokładne oraz błędy bezwzględne są rzędu 10-2 mniejsze od wielkości ![]()
i R. Na poprawę dokładności pomiaru mogło by wpłynąć zwiększenie liczby pomiarów oraz staranne przygotowanie materiałów badanych i przyrządów oraz wyeliminowanie błędu spowodowanego ustawieniem punktu na wybranym k-tym prążku , które dokonywane było przez ćwiczącego obserwacją prążków w mikroskopie „na oko”.
1
9











