Short term effect of biochar and compost on soil fertility and water status of a Dystric Cambisol in NE Germany under field conditions

background image

2012 WILEY-VCH Verlag GmbH & Co. KGaA, Weinheim

www.plant-soil.com

J. Plant Nutr. Soil Sci. 2012, 000, 1–10

DOI: 10.1002/jpln.201100172

1

Short-term effect of biochar and compost on soil fertility and water status
of a Dystric Cambisol in NE Germany under field conditions

Jie Liu

1,2

, Hardy Schulz

1

, Susanne Brandl

3

, Herbert Miehtke

4

, Bernd Huwe

3

, and Bruno Glaser

1

*

1

Soil Biogeochemistry, Martin-Luther-University Halle-Wittenberg, von-Seckendorff-Platz 3, 06120 Halle (Saale), Germany

2

Department of Agriculture and Environmental Sciences, University of Udine, Via delle scienze, 208, 33100 Udine, Italy

3

Soil Physics Section, University of Bayreuth, Universitätsstraße 30, 95440 Bayreuth, Germany

4

Maxim-Gorki-Straße 19, 15306 Lindendorf OT Dolgelin, Germany

Abstract

Crop growth in sandy soils is usually limited by plant-available nutrients and water contents.
This study was conducted to determine whether these limiting factors could be improved through
applications of compost and biochar. For this purpose, a maize (Zea mays L.) field trial was
established at 1 ha area of a Dystric Cambisol in Brandenburg, NE Germany. Five treatments
(control, compost, and three biochar-compost mixtures with constant compost amount
(32.5 Mg ha

–1

) and increasing biochar amount, ranging from 5–20 Mg ha

–1

) were compared.

Analyses comprised total organic C (TOC), total N (TN), plant-available nutrients, and volumetric
soil water content for 4 months under field conditions during the growing season 2009. In addi-
tion, soil water-retention characteristics were analyzed on undisturbed soil columns in the labo-
ratory. Total organic-C content could be increased by a factor of 2.5 from 0.8 to 2% (p

<

0.01) at

the highest biochar-compost level compared with control while TN content only slightly in-
creased. Plant-available Ca, K, P, and Na contents increased by a factor of 2.2, 2.5, 1.2, and
2.8, respectively. With compost addition, the soil pH value significantly increased by up to 0.6
(p

<

0.05) and plant-available soil water retention increased by a factor of 2. Our results clearly

demonstrated a synergistic positive effect of compost and biochar mixtures on soil organic-mat-
ter content, nutrients levels, and water-storage capacity of a sandy soil under field conditions.

Key words: water content / plant-available nutrients / TOC / CEC / C sequestration / fertility /
summer drought

Accepted January 11, 2012

1 Introduction

The increasing human population causes serious environ-
mental problems worldwide (Tilman et al., 2001). Especially
soil degradation will deteriorate food supply and thereby fuel
the competition for agricultural land (Lal, 2009, 2010).
Furthermore, the recorded and projected climate change
potentially causes more frequent and disastrous summer dry-
ness in already prone parts of the world, e.g., Brandenburg in
NE Germany (Giorgi et al., 2004; Lenderink et al., 2007).

One possibility to cope with the aforementioned intensifica-
tion of soil degradation due to increased land-use pressure
and climate change is the application of the terra preta con-
cept (Glaser et al., 2001). Terra preta (de Indio) is known as
black-earth-like anthropogenic soils with sustainable fertility
in Amazonia (Glaser et al., 2001; Glaser, 2007). Key features
of terra preta are higher levels of soil organic matter (SOM),
enhanced nutrient-holding capacity, and higher moisture-
holding capacity than in surrounding soils (Sombroek, 1966;
Zech et al., 1990; Glaser et al., 2001).

Terra preta was made through the input of tremendous
amounts of nutrients (especially Ca, P, and N) and organic
matter (OM) by adding animal and fish bones, human excre-

ments, and ash from burning plus composted plant material
to the soils poor by nature (Glaser and Birk, 2012). In addi-
tion, large amount of charred materials from incomplete bio-
mass burning (black carbon, biochar) was added. This terra
preta
phenomenon is responsible for the recently boosting
interest in biochar research and development (Glaser, 2007;
Lehmann et al., 2006; Jeffrey et al., 2011). Biochar applica-
tion to soil can improve soil fertility and long-term C storage,
thus leading to multiple benefits regarding climate-change
mitigation and adaptation (Glaser et al., 2002; Sombroek
et al., 2003).

Also, biochar is a porous material and has the potential to
absorb and retain large amounts of water (Bornemann et al.,
2007; Cheng et al., 2006). Glaser et al. (2002) demonstrated
an 18% higher water-retention capacity in biochar-amended
soils relative to adjacent soils containing low amounts of bio-
char. Combined with the fact that soil wetting-and-drying
cycles alter the level of soil saturation which can influence
nutrients availability (Nguyen and Marschner, 2005) we
expect biochar addition to have beneficial effects on nutrient
cycles in soils. For example, pot experiments indicate that
biochar reduces N leaching (Lehmann et al., 2002; Chan et al.,

* Correspondence: Prof. Dr. B. Glaser;
e-mail: bruno.glaser@landw.uni-halle.de

background image

2007). Steiner (2007) reported a significantly higher N retention
in charcoal-amended soil. Also higher contents of plant-avail-
able Ca and Mg in an infertile acidic tropical soil were
detected where biochar was applied (Major et al., 2010a, b).

The original terra preta soils which actually have much better
nutrients retention and high base saturation (BS) are studied
well (Glaser et al., 2001; Lehmann et al., 2003). If we want to
transform this concept to other latitudes we have to study all
ingredients thoroughly. Up to now, biochar studies mainly
focus on the effects of pure biochar addition (Glaser et al.,
2002; Lehmann and Rondon, 2005; Liang et al., 2006,
Spokas et al., 2009) or artificial fertilizers (Sohi et al., 2010).
However, as pure biochar does not provide high amounts of
nutrients in most cases (Glaser et al., 2002; Glaser and Birk,
2012), we decided to use it mixed with composted materials,
which can serve as a sustainable source of nutrients. There-
fore, incorporation of biochar-compost into poor soil is con-
sidered as a promising approach to produce a substrate sim-
ilar to terra preta. For this reason, the objective of this study
was to investigate both biochar and combined biochar and com-
post effects on soil fertility and soil water status under real condi-
tions. For this purpose, a field study was conducted in Branden-
burg (NE Germany) to test the following hypotheses: Biochar
addition together with compost improves (1) soil fertility and (2)
plant-available water-holding capacity more than compost
alone in an infertile soil under field conditions.

2 Material and methods

2.1 Field experiment setup

A maize (Zea mays L.) field experiment (Fig. 1) was con-
ducted near Frankfurt/Oder (52°29

43.35

N, 14°26

22.66

E), one of the driest regions in Germany, projected to be hit
hard from the effects of climate change (Spekat et al., 2006).
Especially the rainfall pattern is predicted to be altered
severely, leading to frequent events of heavy rainfall alternat-
ing with severe summer droughts (Spekat et al., 2006). Rain-
fall during the vegetation period between May and October
2009 was 348 mm and mean temperature during that period
was 15.6°C. The year 2009 was a rather humid year,
because during the period 1961–2010 mean rainfall sum

(Mar.–Oct.) averaged 320 mm, while mean temperature dur-
ing these months was 14.7°C (data from the climate station
at Lindenberg, 52°12

N 14°07

E, http://www.dwd.de). Soil

type was a Dystric Cambisol with a loamy-sand texture. We
established 1/5 of the hectare as Control, 1/5 for the treat-
ment with only compost amendment, and then with rising bio-
char additions to the compost. Experimental setup is shown
in Fig. 1a. Our permanent sample plots lie in a distance of
20 m (Fig. 1a). As shown by the semivarigram, this sampling
distance guarantees independent measurements and thus
stochastic independence (Fig. 1b). We did also a geostatisti-
cal TOC-distribution calculation as assessed exemplarily for
TOC by kriging (data not shown) and inverse distance weigh-
ing (data not shown) which proved that the initial TOC content
is not significantly different between our sample plots.

2.2 Biochar and compost

As biochar we used residues of commercial charcoal produc-
tion (Holzkohlewerk Lüneburg, Plan 6, 20095 Hamburg, Ger-
many). Compost consisted of 50% green waste (25% d.m.),
35% chopped wood (60% d.m.), and 15% soil with woody
debris. Biochar-compost mixtures were prepared in the field
prior to field application. General properties of biochar and
compost are presented in Tab. 1. The average amount of
biochar in terra preta is 50 Mg ha

–1

m

–1

(Glaser et al., 2001;

Glaser, 2007), corresponding to the lowest biochar amount
(5 Mg ha

–1

) applied to 10 cm soil depth in our study (Tab. 2).

2.3 Analytical methods

Total organic C (TOC) and total N (TN) were determined by
dry combustion (Carlo Erba elemental analyzer) and mass-
spectrometric detection (Thermo Fisher Delta Plus). Plant-
available nutrients were determined via Mehlich III extraction
(Monterroso et al., 1999; Burt, 2004). Cation-exchange capa-

2012 WILEY-VCH Verlag GmbH & Co. KGaA, Weinheim

www.plant-soil.com

Semivariogram TOC 0-10 cm

distance

sem

ivar

iance

0.002

0.004

0.006

0.008

0.010

20

40

60

80

a

b

N

Figure 1: a) Setup of the 1 ha field
experiment according to a block strip
design with five field replicates. For
biochar and compost application
amounts see Table 2. b) Semivario-
gram of TOC contents prior to the
field experiment.

Table 1: Properties of biochar and compost used in this study.

pH

TOC
/ g kg

–1

TN
/ g kg

–1

CEC
/ cmol

c

kg

–1

C : N

Compost

8.2

75.0

6.4

110.5

11.7

Biochar

7.3

626.5

9.5

87.5

65.9

2

Liu, Schulz, Brandl, Miethke, Huwe, Glaser

J. Plant Nutr. Soil Sci. 2012, 000, 1–10

background image

city (CEC) was calculated from the sum of element contents
of the Mehlich III extraction (Al

3+

, Ca

2+

, Mg

2+

, K

+

, and Na

+

)

correlating with exchangeable cations (Matula, 2009). Soil pH
was determined by using the potentiometer method at a soil-
to-water ratio of 1:2.5 (WRB, 2006).

The volumetric water content was measured weekly with
TDR probes (Delta-T Devices) at 0–5 cm depth near each
permanent sample point in the field. To analyze the mathe-
matical description of the soil water-retention curve, the
model of van Genuchten (1980) was used for both water
sorption and desorption (Eq. 1):

h

w

=

h

r

+ (

h

s

h

r

) / [1+ (

a

|

w

|)

n

]

m

.

(1)

h

w

is the volumetric soil water content (m

3

m

–3

),

h

s

and

h

r

are

the saturated and residual water contents, respectively;

w

is

the matric potential (k Pa);

a

(k Pa

–1

), n and m are shape

parameters.

2.4 Statistical analysis

Two-way analysis of variance (ANOVA) was performed with
SPSS 17 (SPSS Inc. 2009). Levene test was used for nor-
mality, F test for homogeneity of variance. Tukey HSD test
was used as post-hoc test at p

<

0.05.

3 Results

3.1 Total organic C and total N

Total organic C ranged from 8 g kg

–1

at the control to 20 g kg

–1

at the highest biochar-compost addition level (Fig. 2a). It was
not significantly different (p > 0.05) prior to our experiment.
Surprisingly, no compost effect has been detected on
TOC content as there is no significant difference between
Control and Compost treatment (p > 0.05; Fig. 2a). Although
increasing biochar amounts increased TOC contents, only
the highest biochar-application amount (Biochar-Compost
20) showed a significantly higher (p

<

0.05) TOC content in

comparison to the Control and all other treatments (Fig. 2a).

Total N content ranged between 0.5 g kg

–1

at the site prior to

the experiment and 1.0 g kg

–1

at the highest biochar-compost

addition level (Fig. 2b). As expected, compost addition signifi-
cantly (p

<

0.05) increased TN content compared to the con-

trol. Surprisingly, increasing amount of biochar application
tended to increase soil TN contents as well, but differences
were not statistically significant (p > 0.05; Fig. 2b).

The C : N ratio ranged between 11 at the site prior to the
experiment and 20 at the highest biochar-compost addition
level (Fig. 2c). Increasing biochar amounts increased the
C : N ratio but differences were only statistically significant
(p

<

0.05) at the highest biochar amount (Fig. 2c).

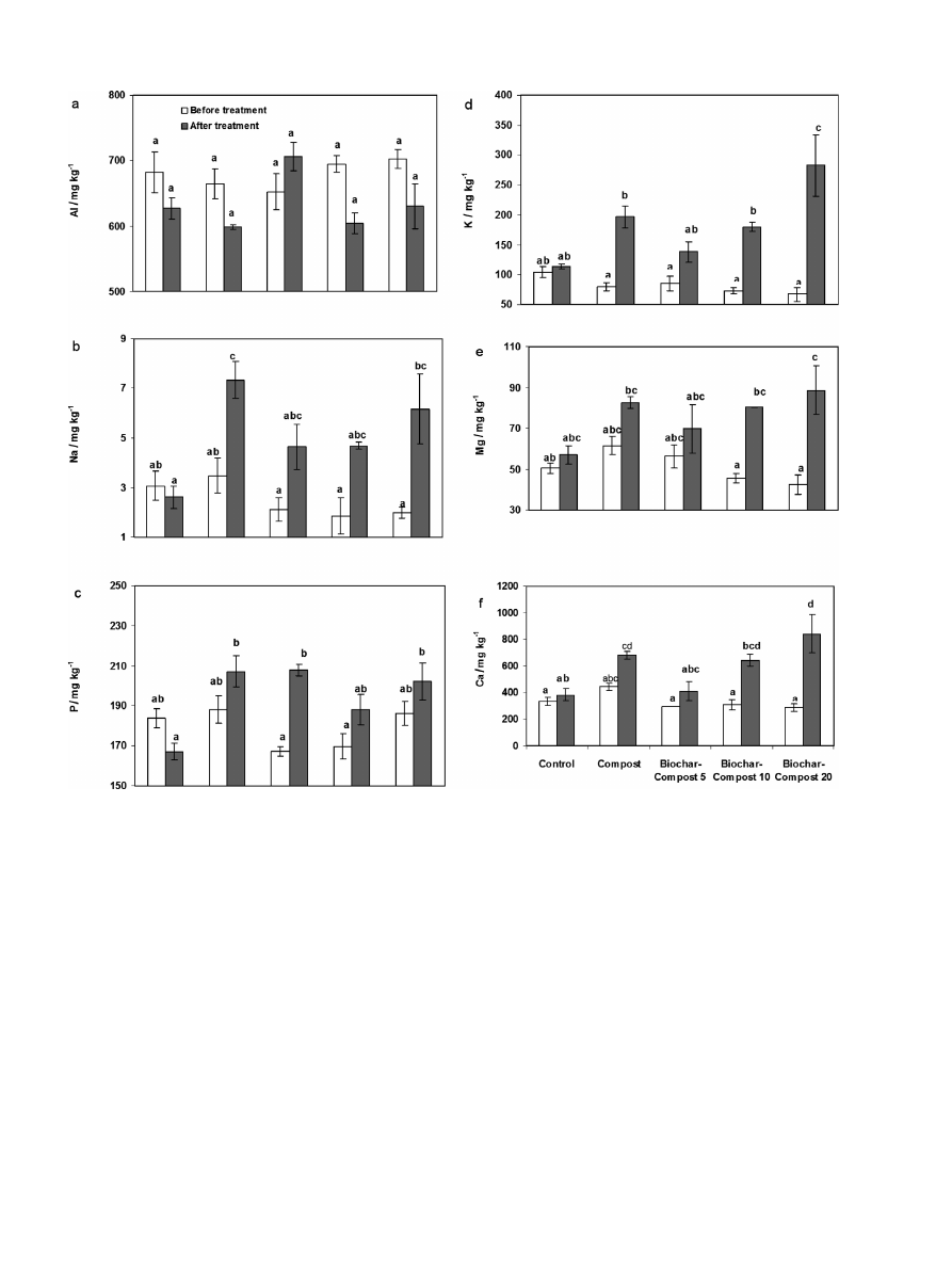
3.2 Plant-available nutrients

Contents of plant-available nutrients decreased in the order
Al > Ca > Mg > K > Na (Fig. 3). Plant-available K and Ca con-
tents in Biochar-Compost 20 treatment was 282 mg kg

–1

and

844 mg kg

–1

in comparison to 114 mg kg

–1

and 385 mg kg

–1

in

2012 WILEY-VCH Verlag GmbH & Co. KGaA, Weinheim

www.plant-soil.com

Table 2: Amount of biochar and compost applied in our study. d.m. = dry matter.

Control

Compost

Biochar-compost 5

Biochar-compost 10

Biochar-compost 20

Amount of compost / Mg d.m. ha

–1

0

32.5

32.5

32.5

32.5

Amount of biochar / Mg d.m. ha

–1

0

0

5

10

20

Figure 2: a) Total organic C (TOC), b) Total N (TN), and c) C : N ratio
of a Dystric Cambisol (NE Brandenburg, Germany) before and after
compost (32.5 Mg dry matter ha

–1

) and increasing biochar amount

(5–20 Mg dry matter ha

–1

) addition in April 2009. Bars marked with

different letters indicate statistically significant difference according to
Tukey HSD test (p

<

0.05; mean + SE, n = 5).

J. Plant Nutr. Soil Sci. 2012, 000, 1–10

Short-term effect of biochar and compost

3

background image

Control (Fig. 3). Thus, the highest biochar and compost appli-
cations increased each of them by a factor of 2.5 and 2.2, re-
spectively (p

<

0.05; Fig. 3). In addition, plant-available P and

Na contents increased by a factor of 1.2 and 2.8 in Compost
treatment compared with Control, respectively (p

<

0.05; Fig. 3).

No difference of plant-available Al was detected after compost
and biochar addition compared with Control (p > 0.05; Fig. 3).
However, Mg significantly increased in Biochar-Compost 10
and Biochar-Compost 20 after treatment (p

<

0.05; Fig. 3).

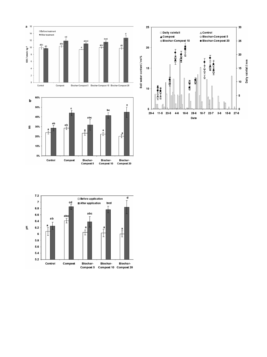
3.3 Cation-exchange capacity and base saturation

Cation-exchange capacity (CEC) varied from 10 cmolc kg

–1

in

Control to 13 cmolc kg

–1

at the highest Biochar-Compost addi-

tion (Fig. 4a). Compost addition significantly (p

<

0.05) in-

creased CEC, and no further increase was observed after bio-
char additions (Fig. 4a). The same was true for BS (Fig. 4b).

3.4 Soil pH value

Soil pH value ranged from 6 to 7 (Fig. 5). Compost addition
significantly (p

<

0.05) increased soil pH by 0.6 compared

with the Control (Fig. 5). However, no significant biochar
effect could be observed in soil pH (p > 0.05).

3.5 Soil water content

Volumetric soil water content varied between 6% and 20%
during the experiment (Fig. 6). During the first 2 months, no
general difference between different treatments could be ob-
served (Fig. 6). After that time, soil water content generally in-
creased in the order Control

<

Compost

<

Biochar-Compost

applications. Furthermore, Biochar-Compost 20 treatment
often showed higher soil water content compared to treat-
ments with lower levels of biochar treatments.

2012 WILEY-VCH Verlag GmbH & Co. KGaA, Weinheim

www.plant-soil.com

Figure 3: Plant-available elements content before and after biochar and compost applications. Bars marked with different letters indicate
statistically significant difference according to Tukey HSD test (p

<

0.05; mean + SE, n = 5).

4

Liu, Schulz, Brandl, Miethke, Huwe, Glaser

J. Plant Nutr. Soil Sci. 2012, 000, 1–10

background image

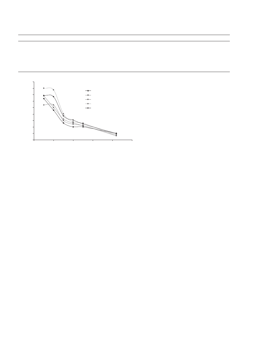
3.6 Soil water-retention curve

Soil water-retention curves were determined by van Genuch-
ten equations (Tab. 3). Variation of soil water-retention curves
among different treatments were bigger during sorption
(Fig. 7) compared to desorption (data not shown). Plant-avail-

able soil water is stored in micro- and mesopores corre-
sponding to the range of soil matric potential between pF 1.8
and 4.2 (Fig. 7; Scheffer and Schachtschabel, 2002). Biochar
and compost addition to soil increased the plant-available
water-holding capacity (water content between pF 1.8 and
4.2) from

6% in Control to

12% at the highest Biochar-

Compost application (Fig. 7) thus doubling plant-available
water-holding capacity.

4 Discussion

4.1 Compost effects

Compost addition of 32.5 Mg ha

–1

did not increase soil

organic-C content significantly above the level of Control
(Fig. 2a). This might be due to the relatively low C content of
our compost (Tab. 1). However, the same tendency of
increasing organic-C (OC) content with large compost addi-
tions (40 to 120 Mg ha

–1

) and absence of statistical signifi-

cance was observed by Walter et al. (2006). Weber et al.
(2007) reported higher C and N contents three years after
compost application from municipal waste in the range of 30
to 120 Mg ha

–1

(18–72 Mg dm ha

–1

) at a field trial with Dystric

Cambisol in SW Poland. Montemurro et al. (2006) found an
increase of 24% and 43% OC content compared to control
after the third year applying compost of 60 and 150 Mg ha

–1

in total, respectively. Also other authors reported that the
SOC content will be increased by long-term compost applica-
tion (Hagreaves et al., 2008). For a long-term increase of
SOM, however, a higher quantity of mature compost is
required. From these results, it is obvious that a large amount
of compost (at least 50 Mg ha

–1

) is necessary to significantly

increase SOC levels of C-poor (sandy) soils.

As intended, compost addition significantly (p

<

0.05) in-

creased TN content (Fig. 2b). In a field trial on a Ferralsol in

2012 WILEY-VCH Verlag GmbH & Co. KGaA, Weinheim

www.plant-soil.com

Figure 4: a) Cation-exchange capacity (CEC) and b) Base saturation
(BS) after biochar-compost application. Bars marked with different
letters indicate statistically significant difference according to Tukey
HSD test (p

<

0.05; mean + SE, n = 5).

Figure 5: Soil pH values before and after biochar-compost
application. Bars marked with different letters indicate statistically
significant difference according to Tukey HSD test (p

<

0.05; mean +

SE, n = 5).

Figure 6: Rainfall events and temporal variation of volumetric soil
water content at 0–5 cm soil depth during the growing season in
2009, total amount of rainfall during the experiment was 253 mm.

J. Plant Nutr. Soil Sci. 2012, 000, 1–10

Short-term effect of biochar and compost

5

background image

Central Amazonia, Steiner et al. (2008) found significantly in-
creased total N content of a compost-amended (67 Mg ha

–1

,

mean N content 10.1 g kg

–1

) plot compared to mineral fertili-

zation after one vegetation period. After the second harvest,
total N content on solely compost-amended plots did not dif-
fer from those receiving only mineral fertilizer. However, plots
which received compost and mineral fertilizer had signifi-
cantly higher C and N contents than the minerally fertilized
plots. On the other hand, in a field trial of Weber et al. (2007),
TN content was not elevated during the first 2 y after compost
application, whereas they observed a dramatic drop of TN
content in their control plot after the third year.

Compost addition did not change the C : N ratio as it was sim-
ilar in control (12) soil and compost (11.2; Tab. 1, Fig. 2c).
Weber et al. (2007) reported similar C : N ratios of 10 and 16
for two different commercial composts in Poland. Interest-
ingly, while the C : N ratio of a compost-amended sandy soil
in Poland was

10 after 1 y, it gradually increased from year

to year (Weber et al., 2007). As SOC contents remained
more or less stable over the 3 years of field experiment, this
C : N increase was mainly due to N losses probably caused
by N mineralization and plant uptake. However, the same
was true in the control soil but N decrease was even more
severe.

In contrary to total N, plant-available Ca

2+

, K

+

, Na

+

, and P

(Fig. 3) significantly increased following compost additions. A
series of former investigations proved increasingly available
portions of nutrients such as Ca

2+

, Mg

2+

, K

+

, P in soils ferti-

lized with compost (Pinamonti, 1998; Ahmad et al., 2001;
Weber et al., 2007; Sarwar et al., 2008).

Also CEC and BS significantly increased after compost addi-
tion (Fig. 4). Therefore, compost addition increased soil ferti-
lity. Increase of base saturation after compost-amendment is
due to addition of soluble base cations which were liberated
from mineralized OM during composting. For the same rea-
son, also CEC is higher compared to the control as CEC was
calculated from the sum of plant-available nutrients although
compost provides also OM containing exchange sites such
as carboxylic and phenolic acid groups. Hagreaves et al.
(2008) reported an increase of CEC by 2.5 and 2.2 cmolc kg

–1

with compost application at 13 and 34 Mg ha

–1

, respectively,

in a field trial of bean and pepper. Weber et al. (2007) showed
higher CEC for the first and second years following compost
application while the third year after application showed
already a state of CEC not different from control plots. From
these results, it can be expected that the positive effects of
compost addition are not sustainable.

Soil pH significantly increased after compost addition (Fig. 5)
caused by the addition of soluble base cations. Kluge (2006)
showed a small increase of pH from 6.4 to 6.8 at 10 Mg ha

–1

compost application, Leifeld et al. (2002) found significantly
higher pH value after adding 65–70 Mg ha

–1

compost to Dys-

tric Cambisol, while Weber et al. (2007) detected no signifi-
cant pH effect related to compost amendments ranging from
30 to 120 Mg ha

–1

to a Dystric Cambisol; pH ranging from 6.1

to 7.1. Stamatiadis et al. (1999) reported a soil pH stabiliza-
tion after compost application of 22 and 44 Mg ha

–1

which

apparently buffered fertilizer-application-induced acidification
from pH 8.5 to 7.8 in non-compost-amended control. On the
other hand, Hagreaves et al. (2008) cited several studies on
various sites with varying compost parent materials and

2012 WILEY-VCH Verlag GmbH & Co. KGaA, Weinheim

www.plant-soil.com

Table 3: Soil water-retention characteristics for sorption and desorption by van Genuchten equation.

h

w

is the soil water content,

w

is the soil

matric potential.

Treatment

Sorption

Desorption

Control

h

w

= 0.083 + (0.38 – 0.083) / [1 + (0.0388 |

w

|)

1.043

]

2.103

h

w

= 0.049 + (0.46 – 0.049) / [1 + (0.0112 |

w

|)

0.818

]

1.626

Compost

h

w

= 0.055 + (0.41 – 0.055) / [1 + (0.3284 |

w

|)

1.345

]

0.352

h

w

= 0.039 + (0.48 – 0.039) / [1 + (0.0064 |

w

|)

0.698

]

1.998

Biochar-Compost 5

h

w

= 0.026 + (0.38 – 0.026) / [1 + (0.3502 |

w

|)

4.61

]

0.075

h

w

= 0.023 + (0.49 – 0.023) / [1 + (0.0139 |

w

|)

0.672

]

1.251

Biochar-Compost 10

h

w

= 0.119 + (0.43 – 0.119) / [1 + (0.0639 |

w

|)

2.67

]

0.632

h

w

= 0.027 + (0.45 – 0.027) / [1 + (0.0202 |

w

|)

0.988

]

0.732

Biochar-Compost 20

h

w

= 0.049 + (0.41 – 0.049) / [1 + (0.1363 |

w

|)

1.1

]

0.433

h

w

= 0.044 + (0.44 – 0.044) / [1 + (0.0134 |

w

|)

0.95

]

1.057

0%

5%

10%

15%

20%

25%

30%

35%

40%

45%

0

1

2

3

4

5

pF

W

ate

r c

o

n

te

n

t / v

o

l.-%

Control

Compost

Compost + Biochar 5 Mg ha-1

Compost + Biochar 10 Mg ha-1

Compost + Biochar 20 Mg ha-1

Figure 7: Soil water-retention curve. Water is plant-available
between pF 1.8 and 4.2 corresponding to

6% water in

control and

12% water in compost+biochar 20 Mg ha

–1

.

6

Liu, Schulz, Brandl, Miethke, Huwe, Glaser

J. Plant Nutr. Soil Sci. 2012, 000, 1–10

background image

climatic conditions concluding that compost applications in-
creases soil pH.

In our study, only slight effects of compost addition on soil
water retention was observed (Fig. 6). Also Weber et al.
(2007) detected only short-term effects of compost on soil
water retention, indicated by an increased soil porosity which
did not last longer than 5 months after application; whereas in
the review on compost experiments from Diacono and
Montemurro (2010) many beneficial effects of compost-
amended soils on physical soil properties influencing soil
water status are mentioned. As one example, they mentioned
a study by Dorado et al. (2003) where soil structural stability
index decreased by 2.5 units compared to the control plots,
another study from Tejada et al. (2008) showed soil structural
stability increasing by 10.5% as compared to the control on a
Xelloric Calciorthid applying 10 Mg ha

–1

composted green

manure for 4 y under field conditions near Seville, S Spain.

4.2 Biochar effects

Although increasing biochar additions tended to increase
TOC, only the highest biochar addition caused a statistically
significant TOC increase (p

<

0.05) by a factor of 2.5

(Fig. 2a). This finding corroborates with an experiment by
Major (2009), in which 23.3 Mg biochar ha

–1

(combined with

artificial fertilizer, not with compost) were needed to double
TOC content of the soil. Solaiman et al. (2010) found a TOC
increase of 20% after addition of 6 Mg biochar ha

–1

whereas

our Biochar-Compost 10 treatment (10 Mg biochar ha

–1

) in-

creased TOC by 26% (compost effect already subtracted).
However, as already mentioned above the latter TOC
increase is statistically not significant. Therefore, from a prac-
tical standpoint, 5 Mg biochar ha

–1

addition to the upper

10 cm of soil corresponding to the mean biochar concentra-
tion in terra preta (Glaser, 2007) cannot be detected as a C
sink when using TOC measurements alone. Therefore, more
sensitive and more specific measurements for biochar in soil
are necessary. For instance, molecular markers such as ben-
zenepolycarboxylic acids (Glaser et al., 1998) and/or more
rapid measurements such as near- and mid-infrared spectro-
scopy (Michel et al., 2009) should be used in the future for
this purpose. However, biochar may cause positive or neg-
ative priming (Zimmerman et al., 2011) affecting C sequestra-
tion additionally. For this reason, a combination of TOC and
black-carbon measurements are necessary to fully cover the
C-sequestration potential of biochar addition to soil.

It can be expected that biochar does not supply significant
amount of total N which was also the case in our study at
least when compared to the compost-alone treatment
(Fig. 2b). However, data in Tab. 1 suggest that total N con-
centration in biochar and compost was similar. Therefore,
increasing N concentration with increasing biochar addition
could be expected in our case which could also be observed
in Fig. 2b but only when N from compost was neglected.
Tryon (1948) also reported increasing N concentrations with
increasing biochar applications at least if biochar was hard-
wood-derived.

With respect to plant-available nutrients, biochar added espe-
cially K

+

and Mg

2+

(Fig. 3). Other studies also suggested that

soil-incorporated biochar enhanced plant-available-nutrients
level (Lehmann et al., 2006; Steiner et al., 2007; Chan et al.,
2008; Kimetu et al., 2008; Blackwell et al., 2009). In addition,
biochar can alter the availability of key nutrients such as P,
Ca

2+

, and Mg

2+

, when incorporated into soil, especially in a

low-pH environment (Lehmann et al., 2003; Major et al.,
2010b). However, other studies reported that nutrient levels
and availability can be very low with biochar addition, e.g.,
N and P (Bridle and Pritchard, 2004). It depends on biochar
sources and production method (Chan et al., 2008). Under
our experimental conditions, we could not observe an
increasing P and Ca

2+

content caused by biochar addition.

In our experiment, increasing biochar addition gradually in-
creased CEC (Fig. 4a). However, the biochar effect was not
higher than the compost effect. Glaser et al. (2002) reported
CEC changes ranging from negligible rates to up to fivefold
increases after biochar additions to soils. Liang et al. (2006)
described 1.9 times higher CEC contents in black-carbon-rich
anthropogenic soils compared to adjacent biochar-free nat-
ural soils. Biochar could improve the nutrient status of a soil
not only directly but also by increasing CEC, stabilizing OM,
and improving fertilizer-use efficiency. This was also true in
our study as maize yields increased by

40% at the highest

biochar addition (height data not shown).

4.3 Combined compost and biochar effects

Synergisms between compost and biochar could be (1)
enhanced C sequestration by establishment of stable bio-
char-compost complexes and thus negative priming, (2)
enhanced provision of plant-available nutrients by biological
N fixation, reduced nutrient leaching, and combined nutrient
supply, and (3) improvement of soil structure and water bal-
ance by organo-mineral stabilization and establishment of a
favorable soil pore structure.

A synergism between compost and biochar with respect to C
sequestration could only be observed after several years as it
is expected that compost alone is mineralized within 5 years
after application while the mean residence time of biochar is
in the millennium range (Glaser et al., 2002; Kuzyakov et al.,
2009).

Plant-available nutrient concentrations of biochar and com-
post were comparable (data not shown). Therefore, combin-
ed compost and biochar nutrient contents should be higher
than those of compost alone which was not the case (Fig. 3).
One possible explanation for this observation could be the
fact that soil fertility of compost-alone strip was higher prior to
the experiment, at least for Ca, Mg, and P (Fig. 3). However,
this was not supported by geostatistical analyses made prior
to the experiment (Fig. 1) showing that the field was homoge-
neous prior to the experiment at least with respect to all vari-
ables mentioned in this paper.

Since biochar has a very high proportion of micro- and meso-
pores, in which strong capillary forces are effective, it can
store large amounts of water. This could be the reason for

2012 WILEY-VCH Verlag GmbH & Co. KGaA, Weinheim

www.plant-soil.com

J. Plant Nutr. Soil Sci. 2012, 000, 1–10

Short-term effect of biochar and compost

7

background image

soil water content being higher in Biochar-Compost 20 treat-
ment after 2 months (Fig. 6). The soil water-retention curve
showed that increasing biochar addition to soil increased
plant-available water, which will contribute positively to plant
growth, especially during dry periods following heavy-rain
events. Consequently, biochar-compost application has a
more positive effect on water availability than pure compost
application, especially regarding water retention. Some
recent studies on biochar as soil amendment showed that
biochar does enhance soil water permeability, but this would
be more difficult to realize in soils with high clay content (Asai
et al., 2009). Our data show that addition of compost alone
did already alter soil water content in the investigated soil.
Further addition of biochar increased soil water-holding capa-
city up to a factor of 2 when 20 Mg biochar ha

–1

was added

(Fig. 7). Especially in the project area NE Brandenburg, high-
er water-holding capacity is an essential advantage during
extended periods frequently swinging from summer droughts
to heavy-rain events (Spekat et al., 2006; Solomon et al.,
2007). Therefore in the sandy soils of the study area, soil
water status can be significantly improved by the addition of
biochar-compost.

5 Conclusions

Overall, the hypotheses that biochar addition together with
compost improves (1) soil fertility and (2) plant-available
water-holding capacity more than compost alone in an infer-
tile sandy soil under field conditions could be both confirmed.
We expect that observed differences get even bigger with
time as biochar provides a stable C sink and increased soil
fertility will also enhance soil microbial processes which alter
biochar surface structure towards higher functionality thus
further increasing soil fertility. However, our field experiment
made also clear that rather high biochar amount is necessary
to statistically increase SOM levels and agronomic perfor-
mance, which is due to field heterogeneity and the extremely
infertile soil under study. Therefore, further field experiments
under various conditions are required to prove biochar effects
under temperate soil and climate regimes. Furthermore,
more sensitive analytical tools are required to cope with high
field variability.

Acknowledgements

We are grateful to the German Ninistry of Education and
Research (BMBF)
for financial support of theis study
(01LY0809F, 01LY1110B).

References

Ahmad, R., Ranjha, A. M., Mehdi, S. M., Hussain, M. J., Sarfraz, M.,

Hassan, G. (2001): Integrated use of organic manures and ferti-
lizers in rice-wheat cropping system. Pakistan J. Biol. Sci. 4,
184–186.

Asai, H., Samson, B. K., Haefele, S. M., Songyikhangsuthor, K.,

Homma, K., Kiyono, Y., Inoue, Y., Shiraiwa, T., Horie, T. (2009):
Biochar amendment techniques for upland rice production in
Northern Laos 1. Soil physical properties, leaf SPAD and grain
yield. Field Crop Res. 111, 81–84.

Blackwell, P., Riethmuller, G., Collins, M. (2009): Biochar Application

for Soil. Chapter 12, in Lehmann, J., Joseph, S. (eds.): Biochar for
Environmental Management Science and Technology. Earthscan,
London, pp. 207–226.

Bornemann, L. C., Kookana, R. S., Welp, G. (2007): Differential

sorption behaviour of aromatic hydrocarbons on charcoals pre-
pared at different temperatures from grass and wood. Chemo-
sphere
67, 1033–1204.

Bridle, T. R., Pritchard, D. (2004): Energy and nutrient recovery from

sewage sludge via pyrolysis. Water Sci. Technol. 50, 169–175.

Burt, R. (2004): Soil Survey laboratory methods manual. Soil Survey

Inv. Report 42, 246–249.

Chan, K. Y., Van Zwieten, L., Meszaros, I., Downie, A., Joseph, S.

(2007): Agronomic values of green waste biochar as a soil
amendment. Aust. J. Soil Res. 45, 629–634.

Chan, K. Y., van Zwieten, L., Meszaros, I., Downie, A., Joseph, S.

(2008): Using poultry litter biochars as soil amendments. Aust. J.
Soil Res.
46, 437–444.

Cheng, C. H., Lehmann, J., Thies, J. E, Burton, S. D., Engelhard, M.

H. (2006): Oxidation of black carbon by biotic and abiotic
processes. Org. Geochem. 37, 1477–1488.

Diacono, M., Montemurro, F. (2010): Long-term effects of organic

amendments on soil fertility. A review. Agr. Sust. Dev. 30,
401–422.

Dorado, J., Zancada, M., Almendros, G., López-Fando, C. (2003):

Changes in soil properties and humic substances after long-term
amendments with manure and crop residues in dryland farming
systems. J. Plant Nutr. Soil Sci. 166, 31–38.

Giorgi, F., Bi, X., Pal, J. S. (2004): Mean, interannual variability and

trends in a regional climate change experiment over Europe. Clim.
Dyn.
23, 839–858.

Glaser, B. (2007): Prehistorically modified soils of central Amazonia:

a model for sustainable agriculture in the twenty-first century. Phil.
Trans. Royal Soc. B
362, 187–196.

Glaser, B., Birk, J. J. (2012): State of the scientific knowledge on

properties and genesis of Anthropogenic Dark Earths in Central
Amazonia (terra preta de Índio). Geochim. Cosmochim. Acta 82,
39–51, doi:10.1016/j.gca.2010.11.029.

Glaser, B., Haumaier, L., Guggenberger, G., Zech, W. (1998): Black

carbon in soils: the use of benzenecarboxylic acids as specific
markers. Org. Geochem. 29, 811–819.

Glaser, B., Haumaier, L., Guggenberger, G., Zech, W. (2001): The

‘Terra Preta’ phenomenon: a model for sustainable agriculture in
the humid tropics. Naturwiss. 88, 37–41.

Glaser, B., Lehmann, J., Zech, W. (2002): Ameliorating physical and

chemical properties of highly weathered soils in the tropics with
charcoal-a review. Biol. Fertil. Soils 35, 219–230.

Hagreaves, J. C., Adl, M. S., Warman, P. R. (2008): A review of the

use of composted municipal solid waste in agriculture. Agricult.
Ecosyst. Env.
123, 1–14.

Jeffery, S., Verheijen, F. G. A., Van der Velde, M., Bastos, A. C.

(2011): A quantitative review of the effects of biochar application to
soils on crop productivity using meta-analysis. Agric. Ecosyst.
Environ.
144, 174–187.

Kimetu, J. M., Lehmann, J., Ngoze, S. O., Mugendi, D. N., Kinyangi,

J. M., Riha, S., Verchot, L., Recha, J. W., Pell, A. N. (2008): Rever-
sibility of soil productivity decline with organic matter of differing
quality along a degradation gradient. Ecosyst. 11, 726–739.

Kluge, R. (2006): Key benefits of compost use for the soil-plant

system. Ecologically Sound Use of Biowaste in the EU, Brussels,
31 May–1 June 2006.

2012 WILEY-VCH Verlag GmbH & Co. KGaA, Weinheim

www.plant-soil.com

8

Liu, Schulz, Brandl, Miethke, Huwe, Glaser

J. Plant Nutr. Soil Sci. 2012, 000, 1–10

background image

Kuzyakov, Y., Subbotina, I., Chen, H. Q., Bogomolova, I., Xu, X. L.

(2009): Black carbon decomposition and incorporation into soil
microbial biomass estimated by C-14 labeling. Soil Biol. Biochem.
41, 210–219.

Lal, R. (2009): Soils and food sufficiency. A review. Agr. Sust. Dev.

29, 113–133.

Lal, R. (2010): Managing soils for a warming earth in a food-insecure

and energy-starved world. J. Plant Nutr. Soil Sci. 173, 4–15.

Lehmann, J., Rondon, M. (2005): Bio-char Soil Management on

Highly-weathered Soils in the Humid Tropics, in Uphoff, N. (ed.):
Biological Approaches to Sustainable Soil Systems. CRC Press,
Boca Raton, FL, USA, pp. 517–530.

Lehmann, J., Da Silva, J. P., Rondon, M., Cravo, M. S., Greenwood,

J., Nehls, T., Steiner, C., Glaser, B. (2002): Slash-and-char: a
feasible alternative for soil fertility management in the central
Amazon? In: 17th World Congress of Soil Science, Bangkok,
Thailand. August 15–21, 2002, Vol. CD-ROM Paper no. 449, pp.
1–12.

Lehmann, J., Da Silva, J. P., Steiner, C., Nehls, T., Zech, W., Glaser,

B. (2003): Nutrient availability and leaching in an archaeological
Anthrosol and a Ferralsol of the Central Amazon basin: Fertiliser,
manure and charcoal amendments. Plant Soil 249, 343–357.

Lehmann, J., Gaunt, J., Rondon, M. (2006): Biochar sequestration in

terrestrial ecosystems–a review. Mit. Adapt. Strat. Global Change
11, 403–427.

Leifeld, J., Siebert, S., Kögel-Knabner, I. (2002): Changes in the

chemical composition of soil organic matter after application of
compost. Eur. J. Soil Sci. 53, 299–309.

Lenderink, G., Van Ulden, A., Van den Hurk, B., Van Meijgaard, E.

(2007): Summertime interannual temperature variability in an
ensemble of regional model simulations: analysis of surface
energy budget. Climate Change 81, 233–247.

Liang, B., Lehmann, J., Solomon, D., Kinyangi, J., Grossman, J.,

O’Neill, B., Skjemstad, J. O., Thies, J., Luizao, F. J., Petersen, J.,
Neves, E. G.
(2006): Black carbon increases cation exchange
capacity in soils. Soil Sci. Soc. Am. J. 70, 1719–1730.

Major, J. (2009): Biochar application to a Colombian Savanna Oxisol:

Fate and effect on soil fertility, crop production, nutrient leaching
and soil hydrology. PhD thesis, Cornell University, NY, USA.

Major, J., Lehmann, J., Rondon, M., Goodale, C. (2010a): Fate of

soil-applied black carbon: downward migration, leaching and soil
respiration. Global Change Biol. 16, 1366–1379.

Major, J., Rondon, M., Molina, D., Riha, S. J., Lehmann, J. (2010b):

Maize yield and nutrition during 4 years after biochar application to
a Colombian savanna oxisol. Plant Soil 333, 117–128.

Matula, J. (2009): A relationship between multi-nutrient soil tests

(Mehlich 3, ammonium acetate, and water extraction) and bioavail-
ability of nutrients from soils for barley. Plant Soil Env. 55,
173–180.

Michel, K., Terhoeven-Urselmans, T., Nietschke, R., Stefan, P.,

Ludwig, B. (2009): Use of near- and mid-infrared spectroscopy to
distinguish carbon and nitrogen originating from char and forest-
floor materials in soils. J. Plant Nutr. Soil Sci. 172, 63–70.

Montemurro, F., Maiorana, M., Convertini, G., Ferri, D. (2006):

Compost organic amendments in fodder crops: effects on yield,
nitrogen utilization and soil characteristics. Compost Science Util.
14, 114–123.

Monterroso, C., Alvarez, E., Fernandez, M. L. (1999): Evaluation of

Mehlich 3 reagent as multielement extractant in mine soils. Land
Degr. Dev.
10, 35–47.

Nguyen, B. T., Marschner, P. (2005): Effects of drying and rewetting

on phosphorus transformations in red brown soils with different soil
organic matter content. Soil Biochem. 37, 1573–1576.

Pinamonti, F. (1998): Compost mulch effects on soil fertility, nutri-

tional status and performance of grapevine. Nutr. Cyc. Agro-
ecosyst.
51, 239–248.

Sarwar, G., Schmeisky, H., Hussain, N., Muhammad, S., Ibrahim, M.,

Safdar, E. (2008): Improvement of soil physical and chemical prop-
erties with compost application in Rice-wheat cropping system.
Pakistan J. Bot. 40, 275–282.

Scheffer, F., Schachtschabel, P. (2002): Lehrbuch der Bodenkunde.

15th edn., Heidelberg, Germany, Spektrum Akademischer Verlag.

Sohi, S. P., Krull, E., Lopez-Capel, E., Bol, R., Donald, L. S. (2010): A

review of biochar and its use and function in soil. Adv. Agron. 105,
47–82.

Solaiman, Z., Blackwell, P., Abbott, L., Storer, P. (2010): Direct and

residual effect of biochar application on mycorrhizal root coloni-
sation, growth and nutrition of wheat. Aust. J. Soil Res. 48,
546–554.

Solomon, S., Qin, D., Manning, M., Chen, Z., Marquis, M., Averyt, K.,

Tignor, M., Miller, H. (2007): IPCC, 2007: Climate change 2007:
The physical science basis. Contribution of Working Group I to the
fourth assessment report of the Intergovernmental Panel on
Climate Change, Cambridge University, Press New York.

Sombroek, W. G. (1966): Amazon Soils: A Reconnaissance of the

Soils of the Brazilian Amazon Region. Centre for Agricultural Publi-
cations and Documentation (Pudoc), Wageningen, The Nether-
lands.

Sombroek, W., Ruivo, M. L., Fearnside, P. M., Glaser, B., Lehmann,

J. (2003): Amazonian Dark Earths as Carbon Stores and Sinks, in
Lehmann, J., Kern, D. C., Glaser, B., Woods, W. I. (eds.):
Amazonian

Dark

Earths:

Origin,

Properties,

Management.

Dordrecht,

The

Netherlands,

Kluwer

Academic

Publishers,

pp. 125–139.

Spekat, A., Kreienkamp, F., Enke, W. (2006): A set of indicators for

future growth conditions of plants. EMS Annual Meeting Abstracts
3, AW05.

Spokas, K. A., Koskinen, W. C., Baker, J. M., Reicosky, D. C. (2009):

Impacts of woodchip biochar additions on greenhouse gas
production and sorption/degradation of two herbicides in a
Minnesota soil. Chemosphere 77, 574–581.

Stamatiadis, S., Werner, M., Buchanan, M. (1999): Field assessment

of soil quality as affected by compost and fertilizer application in a
broccoli field (San Benito County, California). Appl. Soil Ecol. 12,
217–225.

Steiner, C. (2007): Soil charcoal amendments maintain soil fertility

and establish a carbon sink–research and prospects, in Tian-Xiao
Liu (ed.): Soil Ecology Research Developments. Nova Science
Publishers Inc., New York, pp. 1–6.

Steiner, C., Teixeira, W. G., Lehmann, J., Nehls, T., de Macedo, J. L.

V., Blum, W. E. H., Zech, W. (2007): Long term effects of manure,
charcoal and mineral fertilization on crop production and fertility on
a highly weathered Central Amazonian upland soil. Plant Soil 291,
275–290.

Steiner, C., Glaser, B., Teixeira, W. G., Lehmann, J., Blum, W. E. H.,

Zech, W. (2008): Nitrogen retention and plant uptake on a highly
weathered central Amazonian Ferralsol amended with compost
and charcoal. J. Plant Nutr. Soil Sci. 171, 893–899.

Tejada, M., Gonzalez, J., Garcia-Martinez, A., Parrado, J. (2008):

Application of a green manure and green manure composted with
beet vinasse on soil restoration: Effects on soil properties. Biores.
Technol.
99, 4949–4957.

2012 WILEY-VCH Verlag GmbH & Co. KGaA, Weinheim

www.plant-soil.com

J. Plant Nutr. Soil Sci. 2012, 000, 1–10

Short-term effect of biochar and compost

9

background image

Tilman, D., Fargione, J., Wolff, B., D’Antonio, C., Dobson, A.,

Howarth, R., Schindler, D., Schlesinger, W., Simberloff, D.,
Swackhamer, D.
(2001): Forecasting agriculturally driven global
environmental change. Science 292, 281–281.

Tryon, E. H. (1948): Effect of charcoal on certain physical, chemical,

and biological properties of forest soils. Ecol. Monographs 18,
81–115.

Van Genuchten, M. T. (1980): A closed-form equation for predicting

the hydraulic conductivity of unsaturated soils. Soil Sci. Soc. Am.
J.
44, 892–898.

Walter, I., Martinez, F., Cuevas, G. (2006): Plant and soil responses

to the application of composted MSW in a degraded, semiarid
shrubland in central Spain. Compost Sci. Util. 14, 147–154.

Weber, J., Karczewska, A., Drozd, J., Licznar, M., Licznar, S.,

Jamroz, E., Kocowicz, A. (2007): Agricultural and ecological

aspects of a sandy soil as affected by the application of municipal
solid waste composts. Soil Biol. Biochem. 39, 1294–1302.

WRB, I. W. G. (2006): World reference base for soil resources. FAO,

Rome.

Zech, W., Haumaier, L., Hempfling, R. (1990): Ecological Aspects of

Soil Organic Matter in Tropical Land Use, in McCarthy, P., Clapp,
C. E., Malcolm, R. L., Bloom, P. R. (eds.): Humic Substances in
Soil and Crop Sciences. Selected Readings, American Society of
Agronomy and Soil Science Society of America, Madison, WI,
USA, pp. 187–202.

Zimmerman, A. R., Gao, B., Ahn, M. Y. (2011): Positive and negative

carbon mineralization priming effects among a variety of biochar-
amended soils. Soil Biol. Biochem. 43, 1169–1179.

2012 WILEY-VCH Verlag GmbH & Co. KGaA, Weinheim

www.plant-soil.com

10

Liu, Schulz, Brandl, Miethke, Huwe, Glaser

J. Plant Nutr. Soil Sci. 2012, 000, 1–10


Wyszukiwarka

Podobne podstrony:
Effects of preoperative physiotherapy in hip osteoarthritis patients awaiting total hip replacement
Effectiveness of Rate Control in Slowing Down Worm Epidemics
Walterowicz, Łukasz A comparative analysis of the effects of teaching writing in a foreign language
Evaluation of the effectiveness of saliva substitutes in(1)
Ando An Evaluation Of The Effects Of Scattered Reflections In A Sound Field
FIDE Trainers Surveys 2013 07 02, Uwe Boensch The system of trainer education in the German Chess F
Politics of Gender; Women in Nazi Germany
What Happened After T4; Starvation of Psychiatrie Patients in Nazi Germany
the effect of sowing date and growth stage on the essential oil composition of three types of parsle
the effect of water deficit stress on the growth yield and composition of essential oils of parsley
53 755 765 Effect of Microstructural Homogenity on Mechanical and Thermal Fatique
31 411 423 Effect of EAF and ESR Technologies on the Yield of Alloying Elements
Effects of the Great?pression on the U S and the World
Possible Effects of Strategy Instruction on L1 and L2 Reading
Effect of caffeine on fecundity egg laying capacity development time and longevity in Drosophila
Effect of caffeine on short hole borer beetle
Effect of Drugs and Alcohol on Teenagers

więcej podobnych podstron