ZADANIA POWTÓRZENIOWE - KOLOKWIUM II
1. Podaj wzory produktów pośrednich i finalnych:

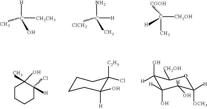
Podaj konfigurację R lub S dla podanych niżej związków:

2. Optycznie czynny (S)-(+)-2-bromooktan reaguje z wodnym roztworem NaOH dając częściowo zracemizowany (R)-(-)-2-oktanol. Jakie mogą być przyczyny racemizacji?
3. Narysuj produkty eliminacji E2 pod wpływem metanolanu sodu dla:
cis-2-bromometylocykloheksanu
trans-2-bromometylocykloheksanu
4. Wyjaśnij przebieg następujących reakcji:

5. Podaj wzory produktów reakcji A, B, C, D, E, F, G, H (bez mechanizmów):

6. Podaj produkty reakcji Sandmeyera p-MeC6H4N2+ z:
CuBr
CuCN
CuNO2
6. Podaj wzory odpowiednich związków Grignarda i innych organicznych eduktów (ketony, aldehydy) koniecznych do syntezy następujących związków:

Napisz odpowiednie reakcje.
7. Zadanie 12 z ostatniej „porcji” zadań z proseminarium