Matematyka finansowa - wzory i zadania


MATEMATYKA FINANSOWA

Rachunek odsetek prostych

Wykorzystywany w okresie krótkim do 1 roku

Wzór ogólny

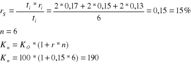
0x01 graphic

Wzór przy uwzględnieniu odniesienia czasowego

0x01 graphic

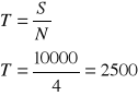
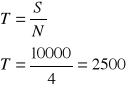
np. w przypadku okresu dziennego

0x01 graphic

Zadanie 1

Od jakiej kwoty otrzymano 15 zł odsetek za okres 2 miesięcy przy stopie procentowej 18% w skali roku.

0x01 graphic

Zadanie 2

Przy jakiej stopie procentowej przypada 4 zł odsetek od kwoty 200 zł za 30 dni

0x01 graphic

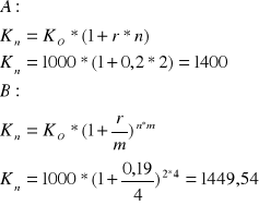
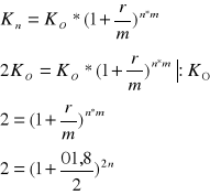
Wzór na kapitał końcowy

0x01 graphic

Wzór na kapitał końcowy, gdy odnosimy się do okresów rocznych

0x01 graphic

Zadanie 3

Wpłacono do banku kwotę 850 zł wkład ten jest oprocentowany wg stopy procentowej 14% w skali roku. Jaki będzie stan konta w dwóch latach

0x01 graphic

Zadanie 4

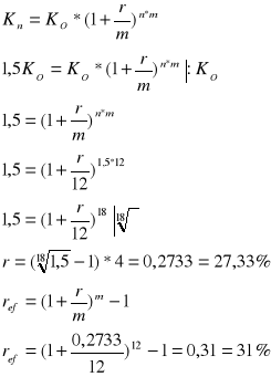
Po ilu latach kapitał początkowy w wysokości 750 zł złożony na 11% podwoi się

0x01 graphic

Wzór na odsetki przy regularnych kwotach wpłat

0x01 graphic

gdzie :

K - kwota wpłaty

r - stopa procentowa

n - ilość wpłat

m - częstotliwość wpłat

Wzór na kapitał końcowy

0x01 graphic

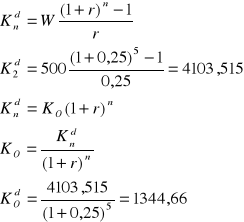
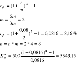
Zadanie 5

Jaką wielkość należy wpłacać przez 3 kwartały, aby zgromadzić wraz z odsetkami kwotę 1500 zł, roczna stopa procentowa wnosi 10%

0x01 graphic

Zadanie 6

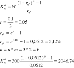
Wyznaczyć wartość lokaty 10000 zł po upływie roku, jeżeli w pierwszych 5 miesiącach stopa procentowa wynosiła 12% a w kolejnych siedmiu 10%

0x01 graphic

Zadanie 7

Kupujesz urządzenie za 10000 zł zapłatę odroczono o 45 dni przy stopie procentowej, 27% jaką kwotę zapłacisz regulując zobowiązanie

0x01 graphic

Zadanie 8

Ulokowałeś 100 zł na 6 lat, stopa oprocentowania zmieniała się, co 2 lata i wynosiła odpowiednio 17%, 15%, 13% jaką kwotę dysponujesz powyżej wymienionym okresie utrzymywania lokaty

0x01 graphic

Zadanie 9

Przez ile kwartałów powinno się wpłacać kwotę po 50 zł aby stan konta przy oprocentowaniu 35% w skali roku wyniósł 941,25 zł

0x01 graphic

Zadanie 10

Ulokowano w banku kwotę 600 zł w dniu 5 marca nominalna stopa procentowa 36%, jaką kwotę pobierze lokato dawca w dniu 9 maja tego samego maja, jeśli odsetki nie są kapitalizowane

dzień

miesiąc

9

5

5

3

4

2

2 miesiące i 4 dni = 2*30+4 = 64 dni

0x01 graphic

Zadanie 11

Ile powinno się trzymać kapitał, aby wzrósł on, co najmniej 2,5 raz, ale nie więcej niż 3 razy przy rocznej stopie procentowej 14%

0x01 graphic

0x01 graphic

Zadanie 12

Pod koniec każdego z 5 kolejnych miesięcy wpłacamy na rachunek bankowy 500 zł przy oprocentowaniu, 10% jaką kwotę będziemy dysponować na koniec 5 miesiąca.

0x01 graphic

Rachunek oprocentowania składanego

Zadanie 1

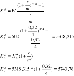
Ulokowałeś 100 zł na 6 lat, stopa oprocentowania zmniejszała się, co 2 lata i wynosiła odpowiednio 17,15,13. Jaką kwotą dysponujesz po wyżej wymienionym okresie lokaty w przypadku?

  1. kapitalizacji rocznej

  2. oprocentowania ciągłego

a)

0x08 graphic
0x08 graphic

b)

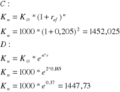
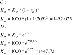
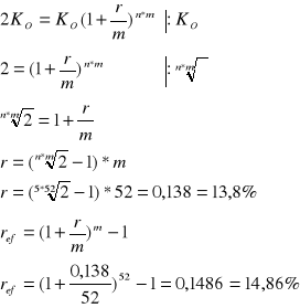
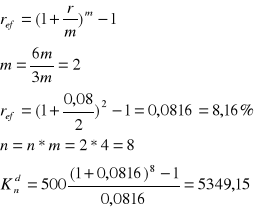
Zadanie 2

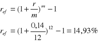
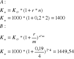
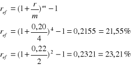
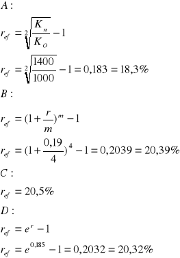
Chcesz ulokować 1000 zł na 2 lata, cztery banki oferują poniższe warunki dla lokat

Bank A - oprocentowanie proste, r = 20%, kapitalizacja na koniec okresu

Bank B - oprocentowanie nominalne 19%, kapitalizacja kwartalna

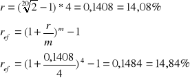
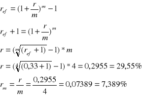
Bank C - oprocentowanie efektywne 20,5%

Bank D - oprocentowanie nominalne 18,5%, kapitalizacja ciągła

Który z banków oferuje najlepsze warunki. Dla każdego z banków znaleźć oprocentowanie efektywne.

0x08 graphic

0x08 graphic

0x08 graphic
Najkorzystniej ulokować pieniądze w banku C

ref < r przy zastosowaniu rachunku odsetek prostych

ref > r przy zastosowaniu kapitalizacji m-razy (dziennej, miesięcznej lub kwartalnej)

ref > r przy zastosowaniu kapitalizacji ciągłej

Zadanie 3

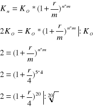
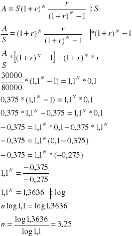
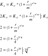
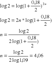
Wpłacasz pewną kwotę na rachunek o stopie oprocentowania nominalnego 18% i kapitalizacji półrocznej. Po jakim czasie kwota na rachunku będzie dwukrotnie większa

0x08 graphic

0x08 graphic

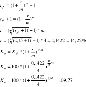
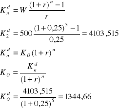
Zadanie 4

0x08 graphic
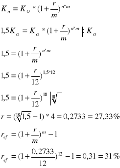
Ilość pieniędzy złożonych na rachunku wzrasta po półtora roku o 50% przy kapitalizacji miesięcznej. Jaka była by stopa nominalna i efektywna

Zadanie 5

Wpłacasz 100 zł na 5 lat. Jaka stopa efektywnego oprocentowania zapewni podwojenie oszczędności przy kapitalizacji kwartalnej

0x08 graphic

0x08 graphic

Zadanie 6

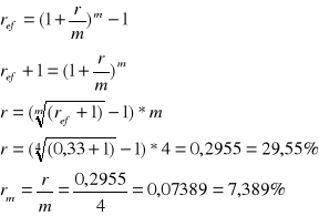
Pewien kapitał złożono na procent składany, kapitalizacja odsetek następuje, co kwartał a efektywna roczna stopa procentowa jest równa 33%. Ile wynosi zgodna stopa procentowa a ile nominalna stopa

0x08 graphic

Zadanie 7

Na rachunku umieszczasz 100 zł, kapitalizacja kwartalna, stopa oprocentowania efektywnego 15%. Pieniądze wycofujesz po 8 miesiącach. Jaką kwotę otrzymasz

0x08 graphic

Zadanie 8

Po 3 latach na rachunku jest 1000 zł. Jaką kwotę wpłacono przy nominalnej stopie procentowej, 16% jeżeli kapitalizacja była?

  1. roczna

  2. ciągła

a)

0x08 graphic

b)

0x08 graphic

Rachunek oprocentowania składanego

Zadanie 1

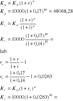
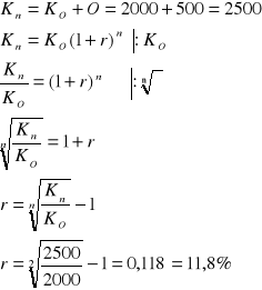
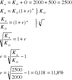
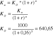
Wyznaczyć nominalną stopę procentową dla kapitału w wysokości 2000 zł, który po dwóch latach przyniósł 500 zł odsetek przy rocznej stopie kapitalizacji.

0x08 graphic

Zadanie 2

Wpłacasz 500 zł na 5 lat, jaka stopa oprocentowania efektywnego zapewni podwojenie Twoich oszczędności przy kapitalizacji tygodniowej.

0x08 graphic

Zadanie 3

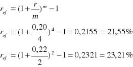
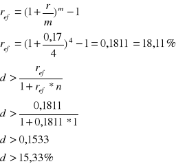
Bank zmienił oprocentowanie z 20% na 22%. Równocześnie wydłużył kapitalizacje z kwartału na pół roku. Czy prawdziwa jest informacja banku, że zmiana ta nie pogorszy sytuacji jego klientów.

0x08 graphic

Stopa efektywna w drugim przypadku przy stopie nominalnej 22% i kapitalizacji półrocznej jest wyższa niż w przypadku pierwszym, tak więc sytuacja klienta nie została pogorszona.

Dyskonto handlowe i matematyczne

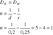
Zadanie 4

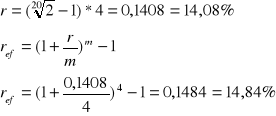
W jakim okresie czasu stopa dyskontowa wynosząca 20% i stopa procentowa 25% są sobie równoważne

0x08 graphic
Tylko dla okresu 1 roku stopy te są sobie równoważne

Powyżej jednego roku DH > DM

Powyżej jednego roku DH < DM

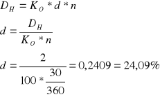
Zadanie 5

Bank oferuje 17% oprocentowanie oszczędności w skali roku przy kapitalizacji kwartalnej. Jaka co najmniej powinna być stopa dyskontowa w skali roku zakupu papierów wartościowych, aby rentowność tej operacji była wyższa od rentowności lokaty bankowej?

0x08 graphic

Zadanie 6

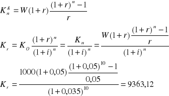
Jaka jest stopa procentowa (rentowność) oraz stopa dyskontowa zakupu za 900 papierów wartościowych o nominale 1000 zł i terminie jego wykupu za 5 miesięcy?

0x08 graphic

0x08 graphic

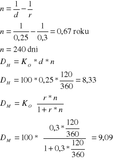
Zadanie 7

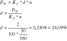
Za ile najmniej powinieneś kupić papier wartościowy o nominale 10000 zł i terminie wykupu 15 dni, aby osiągnąć rentowność 25%

0x08 graphic

Zadanie 8

Możliwy jest zakup papieru wartościowego przy stopie dyskontowej 25% lub rentowności 30%. Na ile dni przed terminem wykupu ta druga możliwość jest korzystniejsza. Proszę wyznaczyć dyskonto handlowe i matematyczne dla okresu 120 dni przy wartości nominalnej 100 zł

0x08 graphic
Dla okresu n < 240 wybór jest korzystny

Zadanie 9

Wyznaczyć stopę dyskontową, jeżeli dyskonto handlowe weksla o wartości nominalnej 100 zdyskontowanego na 30 dni przed terminem wykupu wynosi 2

0x08 graphic

Zadanie 10

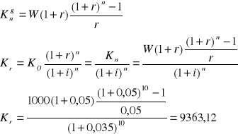
Firma otrzymała ofertę zakupu środka trwałego przy natychmiastowej zapłacie gotówką 4000 zł albo przy zapłacie 4800 za dwa lata. Firma ma możliwość uzyskania kredytu bankowego na okres 2 lat oprocentowanego 21% w skali roku przy kapitalizacji kwartalnej. Jaką decyzję powinno podjąć kierownictwo tej firmy?

0x08 graphic
Firma powinna zapłacić za dwa lata kwotę 4800 zł.

Model rat równych przy kapitalizacji rocznej z dołu (bez wyprzedzenia) i z góry z (wyprzedzeniem)

Zadanie 1

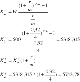
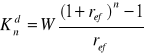
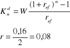
Jaka będzie wartość 500 zł po 2 latach przy kwartalnych ratach z dołu oraz góry, jeżeli nominalna stopa procentowa wynosi 32%, a odsetki kapitalizowane są kwartalnie

W = 500

n = 2

m = 4

0x08 graphic
r = 32%

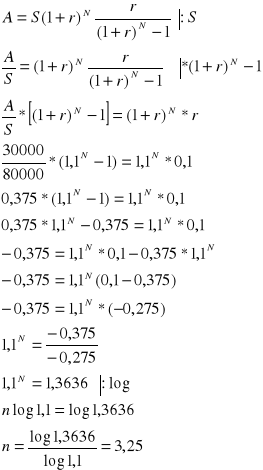
Zadanie 2

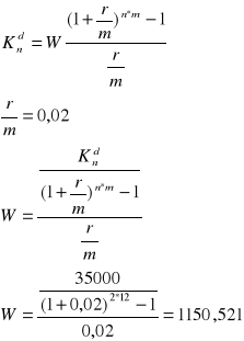
0x08 graphic
Cena samochodu wynosi 35000 zł, jakiej równej wysokości wkłady wnoszone na koniec kolejnych miesięcy pozwolą zgromadzić w ciągu 2 lat niezbędny fundusz na jego zakup. Bank stosuje miesięczną kapitalizację przy miesięcznej stopie procentowej wynoszącej 2%

Zadanie 3

0x08 graphic
Przy jaki okres czasu należy wpłacać z góry stałą kwotę 100 zł przy rocznej stopie procentowej 24% i kapitalizacji rocznej, aby uzbierać dokładnie 500 zł

Zadanie 4

Przez 5 lat będziemy otrzymywać rocznie 500 zł oblicz ile warte są te pieniądze obecnie jeśli:

  1. płatności występują bez wyprzedzenia

  2. płatności występują z wyprzedzeniem

Zakłada się, że nominalna stopa procentowa wynosić będzie 25%, a kapitalizacja ma miejsce jeden raz w roku

a)

0x08 graphic
b)

0x08 graphic

Wpłaty niezgodne

  1. Kapitalizacja odsetek jest częstsza niż wpłaty

    1. model rat równych przy kapitalizacji rocznej z dołu bez wyprzedzenia

    1. 0x08 graphic
      model rat równych przy kapitalizacji rocznej z góry z wyprzedzeniem

0x08 graphic

0x08 graphic
kapitalizacja śródroczna

kapitalizacja ciągła

0x08 graphic

0x08 graphic
np.

okres wpłat co kwartał a okres kapitalizacji co miesiąc czyli m = 3/1 = 3

okres wpłat co rok a okres kapitalizacji co pół roku czyli m = 1/0,5 = 2

0x08 graphic

Zadanie 5

Na koniec każdego półrocza wpłacano na konto kwotę 500 zł, wyznaczyć przyszłą wartość sumy wkładów oszczędnościowych po 4 latach, jeżeli bank stosuje kapitalizacje kwartalną przy rocznej stopie procentowej 16%

0x08 graphic
0x08 graphic
r = 0,08 dlatego że wpłaty są półroczne i roczną stopę procentową należy podzielić przez 2

Zadanie 6

Wpłacasz 300 zł co pół roku przy stopie procentowej 10% jaką kwotę otrzymasz po 3 latach jeżeli bank stosuje kapitalizację ciągłą wpłaty dokonywane są bez wyprzedzenia (z dołu)

0x08 graphic


Zadanie 1

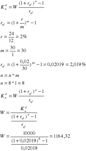
Zwracasz 10000 zł przy stopie procentowej 24% dług spłacisz z dołu w 8 miesięcznych równych ratach. Wyznacz kwotę raty jeżeli kapitalizacja odsetek jest:

  1. dzienna

  2. miesięczna

  1. wpłaty niezgodne

  2. 0x08 graphic
    0x08 graphic
    wpłaty zgodne

Zadanie 2

Lokujesz 10000 zł na 10 lat, stopa oprocentowania 17%, stopa inflacji 14%. Kapitalizacja na końcu roku. Jaką nominalną oraz realną kwotę będziesz dyskontować po podanym okresie

0x08 graphic

Zadanie 3

Lokujesz przez 10 lat po 100 zł

  1. na początku każdego roku

  2. na końcu każdego roku

Oprocentowanie wynosi 5%, inflacja 3,5%. Kapitalizacja na końcu roku. Jaką realną kwotę będziesz dysponować po tym okresie

a)

0x08 graphic
b)

0x08 graphic
Szybsze rozwiązanie podpunktu b to wynik z podpunktu a podzielić przez (1+r)

Zadanie 4

Ile powinno się ulokować w banku, aby móc kupić za 5 lat mieszkanie o obecnej wartości 60000 zł, stopa procentowa dla oszczędności oferowana przez bank wynosi 16%, stopa inflacji (wzrost cen mieszkania) równa jest 9%, kapitalizacja raz w roku

0x08 graphic

Zadanie 1

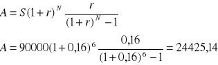
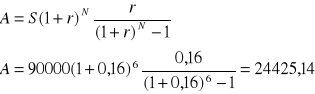
Sporządzić plan amortyzacji kredytu w wysokości 90000 zł oprocentowanego na 16% kredyt ten ma być spłacony w 6 równych kwotach płatności uiszczanych na końcu roku

0x08 graphic

Kolejne lata

Dług na początku okresu

Rata kapitałowa

Rata odsetkowa

Kwota płatności

Dług na koniec okresu

1

90000

10025,14

14400

24425,14

79974,86

2

79974,86

11629,16

12795,97

24425,14

68345,70

3

68345,70

13489,83

10935,31

24425,14

54855,87

4

54855,87

15648,21

8776,93

24425,14

39207,66

5

39207,66

18151,92

6273,22

24425,14

21055,74

6

21055,74

21056,23

3368,91

24425,14

0

Σ

56550,34

Rata odsetkowa = Dług na początku okresu * stopa procentowa

Kwota płatności = Rata kapitałowa + rata odsetkowa

Dług na koniec okresu = Dług na początku okresu - rata kapitałowa

Zadanie 2

Pewien przedsiębiorca zaciągnął kredyt w wysokości 2000 zł oprocentowanie nominalne kredytu 36% w skali roku kredyt ten należy spłacić w ciągu 4 lat w ratach kapitałowych o stałej wysokości płatnych na koniec każdego roku. Dokonać amortyzacji kredytu

0x08 graphic

Kolejne lata

Dług na początku okresu

Rata kapitałowa

Rata odsetkowa

Kwota płatności

Dług na koniec okresu

1

2000

500

720

1220

1500

2

1500

500

540

1040

1000

3

1000

500

360

860

500

4

500

500

180

680

0

Σ

1800

Rata odsetkowa = Dług na początku okresu * stopa procentowa

Kwota płatności = Rata kapitałowa + rata odsetkowa

Dług na koniec okresu = Dług na początku okresu - rata kapitałowa

Zadanie 3

Kredyt w wysokości 10000 zł ma zostać spłacony w 4 równych rocznych ratach kapitałowych. Stopa procentowa 14%. Kapitalizacja odsetek miesięczna. Ustalono że okres spłaty kredytu rozpoczyna się po upływie 2 lat od momentu jego zaciągnięcia. Sporządzić plan amortyzacji tego długu jeżeli karencję objęte są spłaty

  1. kapitału i odsetek

  2. 0x08 graphic
    samego kapitału

Wzór ogólny na spłatę kredytu przy zastosowaniu karencji

0x08 graphic

0x08 graphic
0x08 graphic
Wzór ogólny na spłatę kredytu przy zastosowaniu karencji w przypadku spłat niezgodnych

a)

Kolejne lata

Dług na początku okresu

Rata kapitałowa

Rata odsetkowa

Kwota płatności

Dług na koniec okresu

1

10000

-

-

-

-

2

-

-

-

-

13209,87

3

13209,87

3302,47

1972,23

5274,70

9907,40

4

9907,40

3302,47

1479,17

4781,64

6604,93

5

6604,93

3302,47

986,11

4288,58

3302,47

6

3302,47

3302,47

493,11

3795,57

0

Σ

4930,61

Rata odsetkowa = Dług na początku okresu * stopa procentowa

Kwota płatności = Rata kapitałowa + rata odsetkowa

Dług na koniec okresu = Dług na początku okresu - rata kapitałowa

b)

0x08 graphic

6718,5

Kolejne lata

Dług na początku okresu

Rata kapitałowa

Rata odsetkowa

Kwota płatności

Dług na koniec okresu

1

10000

-

1493

1493

10000

2

10000

-

1493

1493

10000

3

10000

2500

1493

3993

7500

4

7500

2500

1119,75

3619,75

5000

5

5000

2500

746,50

3246,50

2500

6

2500

2500

373,25

2873,25

0

Σ

Rata odsetkowa = Dług na początku okresu * stopa procentowa

Kwota płatności = Rata kapitałowa + rata odsetkowa

Dług na koniec okresu = Dług na początku okresu - rata kapitałowa

Zadanie 4

Po 3 letnim okresie karencji obejmującym tylko raty kapitałowe dług w wysokości 80000 zł należy spłacać w jednakowych kwotach płatności po 30000 zł, bank stosuje kapitalizację roczną przy rocznej stopie procentowej 10%. Ułożyć plan spłaty długu

0x08 graphic

Kolejne lata

Dług na początku okresu

Rata kapitałowa

Rata odsetkowa

Kwota płatności

Dług na koniec okresu

1

80000

-

8000

80000

80000

2

80000

-

8000

80000

80000

3

80000

-

8000

80000

80000

4

80000

22000

8000

30000

58000

5

58000

24200

5800

30000

33800

6

33800

26620

3380

30000

7180

6,25

7180

7180

179,73

30000

0

41359,73

W okresie 6,25 stopę procentową należy podzielić r/4

Rata odsetkowa = Dług na początku okresu * stopa procentowa

Kwota płatności = Rata kapitałowa + rata odsetkowa

Dług na koniec okresu = Dług na początku okresu - rata kapitałowa

Zadanie 5

Który z banków oferuje lepsze warunki do zaciągnięcia kredytu jeżeli w pierwszym banku stopa oprocentowania kredytu wynosi 20% a odsetki trzeba płacić co kwartał w drugim banku nominalna stopa procentowa wynosi 22% a odsetki należy płacić co pół roku

0x08 graphic
0x08 graphic
bank 1

0x08 graphic
bank 2

Lepsze warunki do zaciągnięcia kredytu oferuje bank 1

Zadanie 6

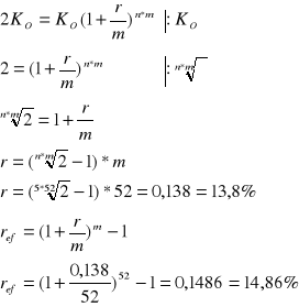
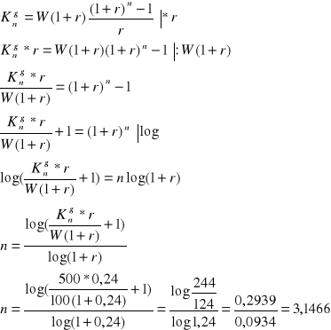
Bank udziela kredytów wg. stopy 20% przy miesięcznym poborze odsetek. Klient chciałby zaciągnąć kredyt w wysokości 5000 zł na okres 12 miesięcy spłacając go jednorazowo wraz z odsetkami na koniec jego trwania. Jeżeli bank zaakceptuje propozycję klienta to, jakie powinna być stopa tego kredytu, aby jego koszt nie odbiegał od standardowo udzielanych. Ile powinien zwrócić po upływie roku kredytobiorca

0x01 graphic

0x01 graphic

0x01 graphic

0x01 graphic

0x01 graphic

0x01 graphic

0x01 graphic

0x01 graphic

0x01 graphic

0x01 graphic

0x01 graphic

0x01 graphic

0x01 graphic

0x01 graphic

0x01 graphic

0x01 graphic

0x01 graphic

0x01 graphic

0x01 graphic

0x01 graphic

0x01 graphic

0x01 graphic

0x01 graphic

0x01 graphic

0x01 graphic

0x01 graphic

0x01 graphic

0x01 graphic

0x01 graphic

0x01 graphic

0x01 graphic

0x01 graphic

0x01 graphic

0x01 graphic

0x01 graphic

0x01 graphic

0x01 graphic

0x01 graphic

0x01 graphic

0x01 graphic

0x01 graphic

0x01 graphic

0x01 graphic

0x01 graphic

0x01 graphic

0x01 graphic

0x01 graphic

0x01 graphic

0x01 graphic

0x01 graphic

0x01 graphic

0x01 graphic

0x01 graphic

0x01 graphic

0x01 graphic

0x01 graphic



Wyszukiwarka

Podobne podstrony:
,matematyka finansowa, wzory i zadania Rachunek odsetek prostych
Matematyka finansowa wzory i zadania (23 strony)
matematyka finansowa wzory i zadania (23 strony) id
Matematyka finansowa - wzory i zadania-wydanie nowe, Nauka, Matematyka
,matematyka finansowa, wzory i zadania Rachunek oprocentowania składanego
,matematyka finansowa, wzory i zadania Dyskonto handlowe i matematyczne
matematyka finansowa wzory i zadania , kapital, odse
,matematyka finansowa, wzory i zadania Model rat równych przy kapitalizacji rocznej z dołu
,matematyka finansowa, wzory i zadania Wpłaty niezgodne
Matematyka finansowa wzory i zadania (23 strony
,matematyka finansowa, wzory i zadania Rachunek odsetek prostych
matematyka finansowa wzory i zadania (23 strony)

więcej podobnych podstron