statystyka - teoria i przyklady., statystyka


Estymacja przedziałowa parametrów strukturalnych zbiorowości generalnej

Parametr zbiorowości generalnej 0x01 graphic
- miara opisowa, np. średnia arytmetyczna 0x01 graphic
odchylenie standardowe 0x01 graphic
czy wskaźnik struktury 0x01 graphic
zbiorowości generalnej, której wartość jest na ogół nie znana.

Estymacja, czyli szacowanie parametrów, polega na podaniu ocen parametrów populacji generalnej na podstawie statystyki uzyskanej z próby losowej.

Statystyki wyliczone na podstawie pobranych z populacji grup losowych z teorii estymacji noszą nazwę estymatorów. Estymatorem jest więc każda statystyka wyliczona z próby losowej, która służy do szacowania odpowiadającego jej parametru populacji generalnej.

Aby statystyki mogły być uznane za dobre estymatory powinny charakteryzować się pewnymi cechami:

      1. Nieobciążoność - jeśli wartość oczekiwana estymatora stosowanego do wyznaczenia nieznanego parametru zbiorowości generalnej jest równa wartości tego parametru, to taki estymator nazywamy nieobciążonym:

0x01 graphic

      1. Zgodność - własność estymatora powodująca, że wraz ze wzrostem liczebności próby wartość estymatora zbliża się do parametru zbiorowości generalnej. Innymi słowy różnica między tymi wielkościami podlega działaniu prawa wielkich liczb:

0x01 graphic

gdzie:

0x01 graphic
jest dowolnie małą liczbą

      1. Efektywność - spośród dwóch estymatorów wybieramy ten, którego wariancja jest mniejsza. Miarą efektywności estymatora jest jego wariancja 0x01 graphic
        .

Wyróżniamy dwa rodzaje estymacji:

      1. Estymacja punktowa polega na podaniu wielkości szacowanego parametru, która jest równa wartości estymatora. Ponieważ z reguły wielkości estymatora różnią się od wartości parametru populacji generalnej, podaje się jednocześnie średni błąd szacunku, czyli odchylenie standardowe estymatora.

      2. Estymacja przedziałowa polega na skonstruowaniu pewnego przedziału liczbowego, zwanego przedziałem ufności (Neymana), który z określonym prawdopodobieństwem pokryje estymarowy parametr.

Losowanie niezależne (ze zwrotem) - proces wybory jednostek do próby, w którym każdorazowo elementy zbiorowości generalnej mają takie samo prawdopodobieństwo dostania się do próby.

Rozkład estymatora w próbie - rozkład prawdopodobieństwa wskazujący na wszystkie możliwe wielkości, jakie może przyjąć dana statystyka (np. średnia arytmetyczna w próbie, odchylenie standardowe w próbie czy częstość względna w próbie).

Błąd standardowy - odchylenie standardowe estymatora 0x01 graphic
, które zapisujemy 0x01 graphic
.

Zbieżność do rozkładu normalnego - jeśli liczba jednostek obserwacji dąży do nieskończoności (w praktyce oznacza to zazwyczaj 0x01 graphic
), to rozkład estymatora 0x01 graphic
jest zbliżony do rozkładu normalnego.

Wartość oczekiwana średniej arytmetycznej z próby

0x01 graphic

gdzie:

0x01 graphic
- wartość średniej w zbiorowości generalnej,

0x01 graphic
- wartość średniej w próbie.

Błąd standardowy średniej arytmetycznej z próby

0x01 graphic

Wartość oczekiwana wskaźnika struktury z próby

0x01 graphic

gdzie:

0x01 graphic
- nieznana wartość wskaźnika struktury (częstości względnej) zbiorowości generalnej

Błąd standardowy wskaźnika struktury z próby

0x01 graphic

gdzie:

0x01 graphic
- nieznana wartość wskaźnika struktury z próby

Estymacja przedziałowa nieznanej wartości średniej populacji generalnej

Współczynnik ufności - dzięki estymacji przedziałowej wyznacza się przedział liczbowy, który z pewnym prawdopodobieństwem zawiera nieznaną wartość parametru. To prawdopodobieństwo nazywane jest współczynnikiem ufności, a oszacowany przedział - przedziałem ufności (Neymana).

Współczynnik ufności oznacza się: 0x01 graphic
. Najczęściej ma on takie wartości:

0,99 0,95 0,90

0x08 graphic
0x08 graphic
0x08 graphic

2,58 1,96 1,64

Przedział ufności Neymana ma postać ogólną:

0x01 graphic

gdzie:

0x01 graphic
- wartość zmiennej losowej w rozkładzie 0x01 graphic
, takiej że 0x01 graphic

lub następującą formułę:

0x01 graphic

gdzie:

0x01 graphic
- wartość zmiennej losowej w rozkładzie t-Studenta przy 0x01 graphic
stopniach swobody, takiej że prawdopodobieństwo 0x01 graphic
.

Zbieżność rozkładu średniej z próby 0x01 graphic
do rozkładu normalnego - wraz ze wzrostem liczby jednostek w próbie 0x01 graphic
estymator 0x01 graphic
ma rozkład zbliżony do rozkładu normalnego o nadziei matematycznej (wartości oczekiwanej) równej 0x01 graphic
i odchyleniu standardowym 0x01 graphic
. Jest to szczególny przypadek działania prawa wielkich liczb.

Normalność rozkładu średniej z prób 0x01 graphic
- jeśli zmienna losowa X ma rozkład normalny, to także x ma rozkład normalny, bez względu na wielkość próby.

Zbieżność do rozkładu t-Studenta - gdy nie jest możliwe skorzystanie ze zbieżności rozkładu 0x01 graphic
do rozkładu normalnego, zmienna X w zbiorowości generalnej ma rozkład normalny oraz nieznane jest 0x01 graphic
z populacji generalnej, wówczas korzystamy ze zbieżności statystyki 0x01 graphic
do rozkładu t-Studenta o 0x01 graphic
stopniach swobody, gdzie 0x01 graphic
w zależności od liczebności próby 0x01 graphic
(odpowiednio 0x01 graphic
).

Sposób budowy przedziałów ufności dla 0x01 graphic
w zależności od informacji pochodzących ze zbiorowości generalnej, rozkładu statystyki 0x01 graphic
oraz wielkości próby przedstawia schemat.

0x08 graphic
tak nie

0x08 graphic
0x08 graphic
0x08 graphic
0x08 graphic

0x01 graphic

0x08 graphic
0x08 graphic

0x08 graphic
0x08 graphic

0x08 graphic
0x08 graphic
tak nie

0x08 graphic
0x08 graphic
0x08 graphic
0x08 graphic

0x08 graphic

1)

0x08 graphic
0x08 graphic
0x08 graphic

0x08 graphic
0x08 graphic

0x08 graphic
0x08 graphic
1) 2)

Objaśnienie do powyższego schematu:

Schemat ten przedstawia przedziały ufności dla nieznanej wartości średniej (0x01 graphic
) zmiennej X o rozkładzie normalnym lub zbliżonym do normalnego

1) 0x01 graphic
to wartość 0x01 graphic
o rozkładzie 0x01 graphic
taka że 0x01 graphic

2) 0x01 graphic
to wartość 0x01 graphic
o rozkładzie t-Studenta o 0x01 graphic
stopniach swobody, która spełnia zależność 0x01 graphic

Przykład 10

(na przedział ufności dla wartości oczekiwanej)

W pewnym zakładzie produkcyjnym postanowiono zbadać staż pracy pracowników umysłowych. W tym celu z populacji tych pracowników wylosowano grupę (losowanie niezależne (ze zwrotem)) o liczbie 0x01 graphic
pracowników, z której obliczono średnią 0x01 graphic
lat. Dotychczasowe doświadczenie wskazuje, że rozkład stażu pracowników umysłowych jest rozkładem normalnym z odchyleniem standardowym 2,8 lat (0x01 graphic
).

Przyjmując współczynnik ufności 0x01 graphic
zbudować przedział ufności dla nieznanego średniego stażu pracy w populacji pracowników umysłowych w tym zakładzie.

Zgodnie ze schematem ustalamy, że spełnione są warunki:

0x01 graphic
- odchylenie standardowe

0x01 graphic
- rozkład normalny

Zatem korzystamy z następującego wzoru na przedział ufności dla nieznanej wartości 0x01 graphic
ze zbiorowości generalnej:

0x01 graphic

Na podstawie tablic dystrybuanty rozkładu normalnego dla

0x01 graphic
wiemy, że

0x01 graphic

Przedział ufności przyjmuje postać:

0x01 graphic

Odp.: Z prawdopodobieństwem 0,95 możemy przypuszczać, że średni staż pracy w populacji pracowników umysłowych w tym zakładzie zawiera się w przedziale (6,508 lat; 7,292 lat). Innymi słowy 95% wszystkich takich przedziałów pokryje parametr 0x01 graphic
, natomiast 5% nie pokryje. Godzimy się więc z ryzykiem błędu, że w 5 przypadkach na 100 nieznana wartość średniego stażu pracy w populacji generalnej znajduje się poza wyznaczonym przedziałem liczbowym.

0x08 graphic
Wykreślenie graficzne f(z)

0x08 graphic
0x08 graphic
0x01 graphic
0x08 graphic

0x08 graphic
0x08 graphic

0x08 graphic

0x01 graphic
0 0x01 graphic

Przykład 11

Odchylenie standardowe

W losowo wybranej grupie 450 samochodów osobowych marki FSO 1500 przeprowadzono badanie zużycia benzyny na tej samej dla wszystkich samochodów trasie długości 100 km. Okazało się, że odchylenie standardowe zużycia benzyny dla tej grupy samochodów wynosiło 0,8 litra na 100 km.

Zakładając, że badana cecha ma rozkład normalny wyznaczyć przedział ufności dla odchylenia standardowego ze zużyciem benzyny przez wszystkie samochody tej marki na takiej trasie. Przyjąć współczynnik ufności 0,99.

Rozwiązanie

0x01 graphic

S = 0,8 (odchylenie standardowe)

0x01 graphic

Odp.: Otrzymany przedział 0,731 i 0,869 jest jednym z tych wszystkich możliwych do otrzymania przedziałów, które z prawdopodobieństwem 0,99 pokrywają odchylenie standardowe zużycia benzyny przez samochody FSO 1500 na trasie 100 km.

Przykład 12

W celu oszacowania średniej długości pewnego detalu produkowanego w przedsiębiorstwie wylosowano 17 detali i otrzymano średnią ich długość 32 cm oraz odchylenie standardowe 0,6 mm.

Oszacować przy współczynniku ufności 0,90 wartość oczekiwaną produkowanych w tej firmie detali.

Rozwiązanie

Rozkład t-Studenta

Rozwiązaniem jest przedział liczbowy dla nieznanej 0x01 graphic
, który wyznaczymy ze schematu przy założeniu, że x zbiorowości generalnej ma rozkład normalny.

Z tablic rozkładu t-Studenta otrzymujemy dla liczby stopnia 0x01 graphic
, który u nas równa się 0x01 graphic
i 0x01 graphic

0x01 graphic

Skorzystamy ze wzoru:

0x01 graphic

Odp.: W 90% możemy przypuszczać, że w przedziale od 31,738 do 32,262 produkuje się średnią długość detali w tym przedsiębiorstwie.

Wykres graficzny

0x08 graphic
f(t)

0x08 graphic

0x08 graphic
0x01 graphic
0x01 graphic

0x08 graphic
0x08 graphic
0x08 graphic

0x08 graphic

0x01 graphic
0 0x01 graphic
t

Graficzna ilustracja 0x01 graphic

Estymacja przedziałowa nieznanego wskaźnika struktury zbiorowości generalnej

Estymatorem wskaźnika struktury frakcji (prawdopodobieństwa) jest wskaźnik struktury z próby losowej.

Warunkiem często zalecanym w procederze szacowania wskaźnika struktury 0x01 graphic
jest duża próba 0x01 graphic
. W zastosowaniach statystyki warunek ten jest znacznie łagodniejszy 0x01 graphic
. Oczywiście, im większa próba, tym bardziej precyzyjne wyniki.

Błąd standardowy estymatora 0x01 graphic

0x01 graphic

Przedział ufności dla nieznanego wskaźnika struktury zbiorowości generalnej (p)

0x01 graphic

gdzie:

0x01 graphic

0x01 graphic
- wartość zmiennej losowej standaryzowanej w rozkładzie normalnym, przy danym 0x01 graphic
, gdyż mamy zawsze do czynienia z dużą próbą.

Przedział ufności dla 0x01 graphic
(rząd wielkości 0x01 graphic
nie jest znany)

0x01 graphic

Przykład 12

Chcemy znaleźć prawdopodobieństwo tego, że losowo wybrany pracownik pewnego dużego zakładu będzie miał wykształcenie wyższe. W tym celu wylosowano próbę liczącą 400 pracowników i stwierdzono, że 32 spośród nich posiada wykształcenie wyższe.

Oszacować na tej podstawie przy współczynniku ufności 0,95 udział osób z wykształceniem wyższym spośród zatrudnionych w tym przedsiębiorstwie.

Rozwiązanie zadania

0x01 graphic

p - wskaźnik struktury

0x01 graphic

Odp.: Z 95% wiarygodnością możemy przypuszczać, że odsetek osób z wykształceniem wyższym w tym przedsiębiorstwie waha się w przedziale od 5,3% do 10,7%.

Można niekiedy zastosować najostrożniejszy sposób postępowania. Polega on na przyjęciu maksymalnej wartości 0x01 graphic
:

0x01 graphic
przy danym 0x01 graphic
osiąga maksimum dla 0x01 graphic

Przedział ufności dla 0x01 graphic
(najostrożniejszy sposób postępowania przy danym 0x01 graphic

0x01 graphic

Niezbędna (minimalna) liczebność próby w przypadku szacowania p (wskaźnika struktury)

0x01 graphic

Gdy 0x01 graphic
nie jest wstępnie znane (np. brak badań pilotażowych czy innych wcześniejszych informacji), wówczas można przyjąć:

0x01 graphic

Zatem wzór na niezbędną liczebność próby przyjmuje następującą postać:

0x01 graphic

lub przy postępowaniu w najostrożniejszy sposób 0x01 graphic

0x01 graphic

gdzie:

0x01 graphic
- bezwzględny maksymalny błąd szacunku 0x01 graphic

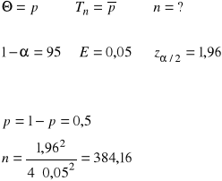
Przykład 13

Właściciel sklepu z artykułami żywnościowymi chce ustalić procent swoich stałych klientów spośród ogółu klientów jego sklepu. Jak liczną grupę powinien wylosować, aby z prawdopodobieństwem 95% maksymalny błąd szacunku nie przekraczał 5%?

Rozwiązanie:

0x01 graphic

Skorzystaliśmy z tego właśnie wzoru, gdyż brak jest jakichkolwiek informacji o odsetku klientów powtarzających zakupy w tym sklepie (to chcieliśmy właśnie ustalić), zatem postąpiliśmy w sposób najostrożniejszy.

Odp.: Należy zatem wylosować próbę liczącą 385 klientów.

σ znane

0x01 graphic
ma rozkład zbliżony

do t-Studenta o n-1

stopnia swobody

0x01 graphic
ma rozkład normalny lub

asymptotycznie normalny o

parametrach 0x01 graphic
i 0x01 graphic

0x01 graphic

0x01 graphic

0x01 graphic

0x01 graphic

0x01 graphic

0x01 graphic

0x01 graphic



Wyszukiwarka

Podobne podstrony:
Statystyka - teoria i przyklady, Studia UE Katowice FiR, I stopień, semestr III, Statystyka
Statystyka - teoria i przykłady
Statystyka Teoria i Przykłady
Statystyka Teoria i Przykłady 2
estymacja teoria i przyklady id 163721
Algebra z geometrią teoria, przykłady, zadania
Macierze teoria przyklady zadan Nieznany
Rownowaga cial sztywnych Teoria - przykłady obliczeń, Prywatne, Wytrzymałość materiałow

więcej podobnych podstron