Zyski ciepła od ludzi.
![]()
gdzie :
ϕ - współczynnik jednoczesności przebywania ludzi ;
n - liczba osób przebywających w pomieszczeniu ;
qj - ciepło jawne oddawane przez człowieka, przy określonej aktywności i określonej temperaturze powietrza w pomieszczeniu, kcal/h.
I nawa hali
29 pracowników płci męskiej - praca ciężka w temperaturze +26 oC i więcej oraz 13 osób płci żeńskiej - praca lekka.
Jeden człowiek wykonujący pracę ciężką przy temperaturze powietrza w pomieszczeniu +26 oC wydziela qj=82 kcal/h ciepła jawnego i w=298 G/h wilgoci.
Jeden człowiek wykonujący pracę lekką przy temperaturze powietrza w pomieszczeniu +26 oC wydziela qj=57 kcal/h ciepła jawnego i w=163 G/h wilgoci.

III nawa hali
30 pracowników płci męskiej - praca ciężka w temperaturze +26 oC i więcej oraz 20 pracowników płci żeńskiej - praca lekka.
Jeden człowiek wykonujący pracę ciężką przy temperaturze powietrza w pomieszczeniu +26 oC wydziela qj=82 kcal/h ciepła jawnego i w=298 G/h wilgoci.
Jeden człowiek wykonujący pracę lekką przy temperaturze powietrza w pomieszczeniu +26 oC wydziela qj=57 kcal/h ciepła jawnego i w=163 G/h wilgoci.

![]()
Zyski ciepła od silników i maszyn.
![]()
gdzie :
860 - równoważnik cieplny 1 kWh wyrażony w kcal/kWh; jeżeli moc N będzie wyrażona w KM, to równoważnik cieplny 1 KMh wyniesie 632 kcal/KMh;
N - moc silnika maszyny w kW lub KM;
ηs - sprawność silnika;
ϕ1 - współczynnik wykorzystania zainstalowanej mocy; jest to stosunek mocy rzeczywistej do mocy znamionowej, wynoszący zazwyczaj 0,7÷0,9;
ϕ2 - współczynnik obciążenia, stosunek rzeczywistej przeciętnej zapotrzebowanej mocy do niezbędnej mocy maksymalnej; zazwyczaj 0,4÷0,9;
ϕ3 - współczynnik jednoczesności pracy; wartość tego współczynnika waha się w granicach 0,3÷1,0;
ϕ4 - współczynnik przyswajania ciepła przez powietrze.
I nawa hali
6 maszyn do wytłaczania wyrobów metalowych z silnikami elektrycznymi asynchronicznymi (krótkozwartymi) o mocy 22 kW każdy. Maszyny wraz z silnikami umieszczone w hali (silniki chłodzone w sposób naturalny).
![]()
III nawa hali
5 maszyn do obróbki skrawaniem(z emulsją) z silnikami elektrycznymi asynchronicznymi (pierścieniowymi) o mocy 14,5 kW każdy. Maszyny wraz z silnikami umieszczone są w hali (silniki chłodzone w sposób naturalny).
![]()
Zyski ciepła od oświetlenia elektrycznego.
![]()
gdzie:
N - zainstalowana moc oświetlenia elektrycznego , kW/h;
β - współczynnik wyrażający stosunek ciepła konwekcyjnego, przekazanego powietrzu w pomieszczeniu, do całkowitej mocy zainstalowanej;
α - współczynnik wyrażający stosunek ciepła konwekcyjnego, odprowadzonego z powietrzem przepływającym przez oprawy wentylowane, do całkowitej mocy zainstalowanej. Dla opraw niewentylowanych α=0;
k0 - współczynnik akumulacji;
ϕ - współczynnik jednoczesności wykorzystania mocy zainstalowanej.
I nawa hali
Oświetlenie elektryczne żarowe, lampy swobodnie zawieszone, oprawy niewentylowane, I=120 luxów, A=405 m2.
![]()
![]()
![]()
III nawa hali
Oświetlenie elektryczne fluorescencyjne, lampy swobodnie zawieszone, oprawy niewentylowane, I=350 luxów, A=405 m2.
![]()
![]()
![]()
Zysk ciepła od spawarek elektrycznych.
![]()
gdzie :
N - średnie zapotrzebowanie mocy kW/h;
ϕ - współczynnik jednoczesności pracy;
0,25 - współczynnik uwzględniający wodne chłodzenie spawarek.
I nawa hali
8 spawarek elektrycznych o średniej mocy 3,2 kW każda; współczynnik jednoczesności pracy spawarek ϕ=0,80.
![]()
Zyski ciepła od pieców i innych rozgrzanych urządzeń.
![]()
gdzie :
B -zużycie węgla, kg/h;
QW - wartość opałowa węgla, kcal/h;
η - sprawność pieca.
I nawa hali
2 piece zużywające po 215 kg/h węgla o wartości opałowej 4630 kcal/h każdy; η=0,23
![]()
III nawa hali
1 piec zużywający 180 kg/h węgla o wartości opałowej 4980 kcal/h każdy; η=0,21
![]()
Zyski ciepła przy spalaniu gazu
![]()
gdzie :
V - zapotrzebowanie gazu, m3/h;
q - wartość opałowa paliwa, kcal/m3;
ϕ - współczynnik uwzględniający niecałkowite spalanie; przyjmowany 0,9÷0,95.
I nawa hali
1 urządzenie do spalania dla potrzeb technologicznych gazu ziemnego w ilości 23,0 m3/h i 4 urządzenia spalające po 5,0 m3/h .

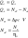
Zyski ciepła od wentylatora.

gdzie :
Qs - strumień ciepła suchego, kW;
Nel - moc elektryczna, kW;
Nu - moc użyteczna, kW;
Ne - moc efektywna, kW;
ηs - sprawność;
V - strumień objętości powietrza, m3/h;
Δpc - spiętrzenie wentylatora, Pa.
III nawa hali
1 wentylator z silnikiem o mocy efektywnej Ne=5,0 kW i sprawności ηs=82% (parametry wentylatora; V=13500 m3/h, Δpc=950 Pa).

![]()
Rozpływy powietrza w nawach.

Obliczenie wymiany powietrza dla I i III nawy.
![]()
gdzie: Q -sumaryczny zysk ciepła
Cp- pojemność cieplna powietrza; Cp=0,24 kcal/kgK
tw- temperatura powietrza wewnętrznego; tw=28oC
to- temperatura powietrza zewnętrznego; to=20oC
L1= 368600,6 kg/h
L2= 433647,8 kg/h
L3= 85160,6 kg/h
L4= 111741 kg/h
L5= 91627,6 kg/h
L6= 65047,2 kg/h
L7= 20113,4 kg/h
Obliczenie gęstości powietrza
Obliczenie gęstości powietrza zewnętrznego

![]()
Obliczenie gęstości powietrza wewnętrznego

gdzie:
Rz - zastępcza stała gazowa, Rz=287,04 J/kgK
p - ciś. powietrza, p=760 Tr
T - temperatura w K
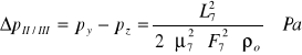
Spadki ciśnień przy przepływie powietrza między nawami.

gdzie:
μ - współczynnik wydatku![]()
F6, F7 - przyjmuję odpowiednio 25m2, 20m2
py, pz - ciś. w nawach, Pa
ρ0 - gęstość powietrza, kg/m3
L - ilość powietzra dopływającego do nawy, kg/s
![]()
![]()

![]()
Przyjmujemy : py=-3
Wówczas: px=-3-0,34=-3,34
pz=-3-0,05=-3,05
![]()
gdzie: q- ciśnienie dynamiczne wiatru;
k2- współczynnik aerodynamiczny;
g- przyspieszenie ziemskie; g=9,81 m/s2
H- wysokość hali;
ρo- gęstość powietrza; ρo=1,2 kg/m3
ρw- gęstość powietrza wilgotnego; ρw=1,172 kg/m3 (obliczone na podstawie parametrów odczytanych z
wykresu i,X Moliera.
![]()
![]()
![]()
![]()
![]()
![]()
![]()
Ciśnienie na otworach.
![]()
![]()
![]()
![]()
![]()
![]()
![]()
![]()
![]()
![]()
Obliczenie powierzchni otworów aeracyjnych.

gdzie: L- ilość doprowadzonego powietrza przez poszczególne otwory
μ- współczynnik wydatku
Δp- ciśnienie w otworach
ρ- gęstość powietrza
![]()
![]()
![]()
![]()
![]()
![]()
![]()
Politechnika Wrocławska Wrocław dnia:
Wydz. Górniczy
Ćwiczenie Projektowe Nr1
Temat: Obliczyć aerację (wentylację naturalną w budynkach fabrycznych) trzynawowej hali fabrycznej.
Określić powierzchnię otworów aeracyjnych(nawiewowych i wywiewowych).
Wykonał :
Ćwiczenie projektowe nr1
- 10 -
![]()
![]()

