Projekt manipulatora, Automatyka i Robotyka, Semestr 5, PKM, projekty, projekty, A PROJEKT MANIPULATORA


Politechnika Śląska w Gliwicach

Podstawy Konstrukcji Maszyn

Projekt manipulatora robota

Projekt opracował:

Gawlik Marek

Wydział: Mechaniczny Technologiczny

Kierunek: Automatyka i Robotyka

Grupa: I

Rok studiów: III

Semestr V

Rok akademicki: 1999/2000

  1. TEMAT PROJEKTU

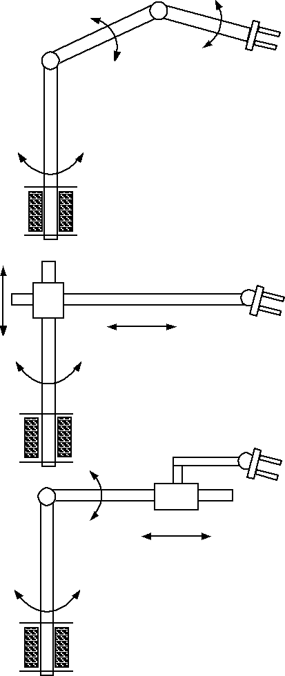
Zaprojektować manipulator robota obsługujący dwie obrabiarki tworzące wspólne gniazdo zrobotyzowane. Przedmiotem manipulacji jest walec o średnicy d i wysokości h.

2. Założenia wstępne

2.1 Dane sytuacyjne:

  1. Obrabiarki mogą być w różny sposób względem siebie usytuowane.

  2. Obrabiarka pierwsza posiada uchwyt samocentrujący dolny na wysokości h1 od poziomu.

  3. Obrabiarka druga posiada uchwyt samocentrujący górny na wysokości h2 od poziomu.

2.2 Kryteria projektowe

  1. Minimalna masa manipulatora.

  2. Minimalna długość ruchu jałowego.

  3. Prostota działania i wykonania manipulatora.

  4. Modułowość budowy manipulatora.

  5. Błąd pozycjonowania 0,2÷0,4 cm.

  6. Maksymalny stopień wykorzystania elementów znormalizowanych i stypizowanych.

  7. Trwałość ( łożyskowa ) układów przegubowych powyżej 20.000 godzin pracy.

2.3 Dane ilościowe

- wysokość manipulowanego walca:

h = 180 mm,

- średnica manipulowanego walca:

d = 100 mm,

- wysokość uchwytu samocentrującego obrabiarki pierwszej:

h1 = 1200 mm,

- wysokość uchwytu samocentrującego obrabiarki pierwszej:

h2 = 1000 mm,

- średnica obszaru roboczego:

D = 4 m ,

- masa chwytaka:

mCH = 6 kg.

0x08 graphic
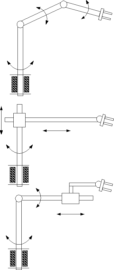
3. Warianty manipulatora

  1. Optymalizacja

W wyborze optymalnego wariantu do realizacji posłużę się następującą tabelą:

X

K1

K2

K3

K4

K5

K6

K7

ΣKi

W1

W2

W3

Wi

K1

X

0,5

1

1

0,5

0,5

1

4,5

4

3

3

5

K2

0,5

X

1

1

0,5

0,5

1

4,5

4

4

4

5

K3

0

0

X

0,5

0

0,5

0,5

1,5

4

4

3

5

K4

0

0

0,5

X

0

0,5

0

1

4

3

3

5

K5

0,5

0,5

1

1

X

1

1

5

4

3

3

5

K6

0,5

0,5

0,5

0,5

0

X

0,5

2,5

5

4

5

5

K7

0

0

0,5

1

0

0,5

X

2

4

4

4

5

86,5

73,5

74,5

105

0,824

0,7

0,71

1

Skala 3-5

Na podstawie tabeli i własnych przemyśleń dochodzę do wniosku, że najlepszym rozwiązaniem jest wariant pierwszy.

  1. Ustawienie obrabiarek w gnieździe produkcyjnym

0x08 graphic

  1. Obliczenia

6.1 Obliczenie maksymalnego kąta wychylenia ramienia

0x01 graphic

Dane:

h = 0.1 [m]

R = 2.0 [m]

Szukane:
α = ?

0x01 graphic

Do dalszych obliczeń przyjmuję α = 3°.

6.1b Obliczenie skoku siłownika

0x08 graphic
Dane:

AO=BO=CO=DO=0.5 m.

α = 3°

Szukane:

BA,DA=?

0x01 graphic
= 90° - α = 87°

0x01 graphic
= (180° - 0x01 graphic
) / 2 = (180° - 87°) / 2 = 46,5°

z trójkąta OAB wynika:

0x01 graphic

EA = 0.5*cos 46,5°=0.344m.

Wysięg minimalny siłownika wynosi:

Lmin=2*EA=2*0.344=0.688m.

z trójkąta OAD wynika:

0x08 graphic
0x01 graphic
= 90° + α = 93°

0x01 graphic
= (180° - 0x01 graphic
) / 2 = (180° - 93°) = 43,5°

0x01 graphic

FA = OA* cos 43,5° = 0.362m.

Wysięg maksymalny siłownika wynosi:

Lmax = 2*FA = 0.725m.

Skok siłownika jest zatem równy:

S = Lmax - Lmin

S = 0.725 - 0.688 = 0.037m = 37 mm

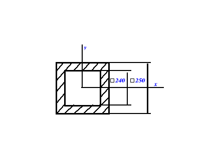
6.3 Obliczenia reakcji podpory oraz siły działania siłownika.

0x01 graphic

Dane:

a = 0.25 m.

b = 4*a = 1m.

Szukane:

Q1,Q2,Q3,RA,P=?

Określenie wielkości sił działających ramię manipulatora

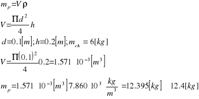
    1. siła Q1

0x08 graphic

Składa się z dwóch ciężarów, ciężaru chwytaka oraz elementu obrabianego

0x01 graphic


mch - masa chwytaka,
mp - masa przedmiotu,
g - przyśpieszenie ziemskie.

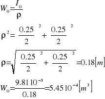
Masa przedmiotu jest nieznana. Wyznaczam ją z warunków geometrycznych. Półfabrykat wykonany jest ze stali St5 o gęstości ρ = 7.89 [g/cm3] = 7860 [kg/m3].
0x01 graphic

    1. siła Q2
      Zakładam, że ramię będzie wykonane z ceownika C200 PN—71/H—93451, którego masa wynosi 25.3 [kg/m].
      Masa ramienia wynosi więc

      0x01 graphic

    1. siła Q3
      Siła Q3 równa jest iloczynowi masy ceownika na długości 2a i przyśpieszenia ziemskiego.

      0x01 graphic

Równania równowagi

a) na oś y

Ra - P - Q1 - Q2 - Q3 = 0

b) równanie momentów względem punktu A

0x01 graphic


Z równania (b) wyznaczamy reakcję podpory:

0x01 graphic


Z równania (a) wyznaczam siłę siłownika:

0x01 graphic

Dobór siłownika


Na podstawie wyżej przeprowadzonych obliczeń dobrałem siłownik firmy Mannesman Rexroth o oznaczeniu CD/H1/MP5/40/22.

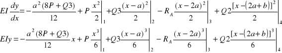
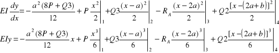
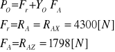
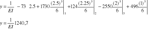
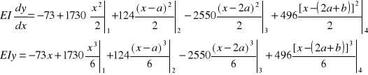
6.4 Obliczenia wytrzymałościowe ramienia

Obliczanie maksymalnego momentu gnącego


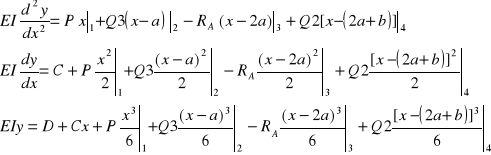
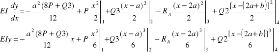
Maksymalny moment gnący obliczam stosując metodę Clebscha
0x01 graphic

Dane:
0x01 graphic
Q1=200 [N] P=1730 [N]

Q2=496 [N] a=0.25 m

Q3=124 [N] b=1.0 m

RA=2550 [N]

Równanie momentów gnących od strony lewej:

0x01 graphic

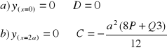
Równanie momentów wstawiamy do równania różniczkowego osi ugiętej, a następnie dwukrotnie całkujemy:

0x01 graphic

Warunki brzegowe:

0x01 graphic

Ostatecznie więc równania przyjmują postać:

0x08 graphic
0x08 graphic

Po wstawieniu danych liczbowych otrzymujemy:

0x08 graphic

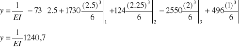
Ugięcie na końcu belki

Liczymy ugięcie w punkcie x=2a+2b=2,5 m.

0x08 graphic
Korzystając z norm odczytujemy dane dla ceownika C200 PN:

Ix =1910 [cm4]=1910*10 -8[m4],

Iy =148 [cm4]=148*10 -8[m4].

oraz

E=2*105[Mpa]=2*1011[Pa].

Ugięcie jest zatem równe:

yx =3.25*10-4 [m],

yy =4.15*10-3 [m].

Wartości te spełniają założenia konstrukcyjne odnośnie dokładności pozycjonowania.

Maksymalny moment gnący w belce

Liczymy momenty gnące w belce korzystając z napisanego już wyżej równania momentów gnących od strony lewej:

0x01 graphic

Wstawiając wartości x dla poszczególnych przedziałów otrzymujemy następujące wartości momentów gnących na końcach przedziałów:

Mg (x=0) = 0 [Nm],

Mg (x=0.25) = -432.5 [Nm],

Mg (x=0.5) = -896 [Nm],

Mg (x=1.5) = -200 [Nm],

0x08 graphic
Mg (x=2.5) = 0 [Nm].

Na postawie otrzymanych danych tworzymy wykres momentów gnących.
Z wykresu widać, iż maksymalny moment znajduje się na końcu drugiego przedziału. Wartość momentu w tym punkcie wynosi Mg max = -896 [Nm].

Sprawdzenie warunku wytrzymałościowego

Warunek wytrzymałościowy ma następującą postać:

0x01 graphic

Dla stali kg=50*106

0x08 graphic
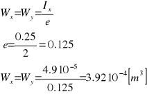
Wskaźniki wytrzymałości na zginanie dla ceownika C200 PN mają wartości:
wx=191 [cm3]=191*10-3 [m3],

wy=27 [cm3]=27*10-3 [m3].

Otrzymujemy więc:

0x01 graphic

Jak widać naprężenia w obu płaszczyznach są wyraźnie mniejsze od naprężeń dopuszczalnych, a więc warunek wytrzymałościowy jest spełniony.

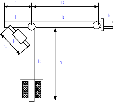
6.5 Obliczenia dotyczące słupa oraz siłownika obrotowego 0x01 graphic

Wyznaczenie momentu obrotowego siłownika obrotowego

0x08 graphic

Zakładam, że słup będzie wykonany z rury stalowej bez szwu precyzyjnej według PN-91 H-74240 o średnicy zewnętrznej D=200 mm i grubości ścianki g=20 mm. oraz masie 88.8 kg/m.

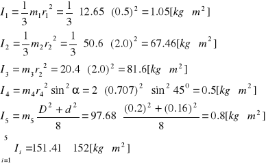
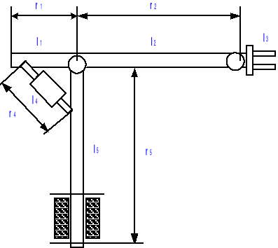
Dane:

D=200 mm = 0.2 m. r1=0.5 m

d=160 mm = 0.16 m. r2=2.0 m

m1=12.65 kg r3=1.1 m

m2=50.6 kg r4=0.707 m

m3=20.4 kg

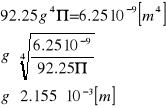
m4=2.0 kg 0x01 graphic

m5=97,68 kg

0x01 graphic

Szukane:

M=?

Moment obrotowy wyraża się następującym wzorem:

0x01 graphic

gdzie:

0x08 graphic

- suma momentów bezwładności od poszczególnych części robota,

- przyśpieszenie obrotowe.

Momenty bezwładności:

0x01 graphic

Moment obrotowy jest zatem równy:

0x01 graphic

Z katalogu MANNESMANN REXROTH dobrałem siłownik obrotowy o oznaczeniu RE 91180/04.93 A10FSM rozmiar 23 o maksymalnym momencie obrotowym 80 [Nm].

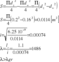
Weryfikacja słupa

Wymiary słupa zweryfikowałem obliczając go na wyboczenie.

0x08 graphic

Dane:


0x01 graphic


Przy obliczeniach na wyboczenie korzystam ze wzoru Eulera

0x01 graphic


gdzie:
nW= (1.3 ÷ 4) - współczynnik bezpieczeństwa ze względu na wyboczenie

Do obliczeń przyjmuję nW = 4.

Ze wzoru Eulera wyznaczam moment bezwładności I.

0x01 graphic


Średnicę zewnętrzną słupa wynosi dz = 200 [mm], natomiast średnica wewnętrzna jest równa dw = 160 [mm]. Średnica wyrażana przez grubość ścianki g wygląda więc następująco: dz = 10g, dw = 8g, czyli g = 20 [mm].

Obliczam moment bezwładności I

0x01 graphic


Porównując moment bezwładności wyliczony ze wzoru Eulera oraz moment bezwładności wyrażony przez grubość ścianki otrzymuję:

0x01 graphic

Sprawdzam warunek na smukłość

0x01 graphic


gdzie:
i - promień bezwładności
S - pole przekroju


0x01 graphic

Warunek wytrzymałościowy został więc spełniony

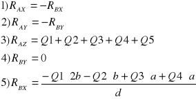
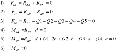
6.6 Łożyskowanie

Na słupie osadzone będą dwa łożyska toczne. Łożysko górne przenosić będzie tylko obciążenie poprzeczne. Łożysko dolne przenosić będzie całe obciążenie wzdłużne oraz część obciążenia poprzecznego.

0x08 graphic

Ponieważ prędkości i przyśpieszenia obrotowe robota są małe, to prędkości i przyśpieszenia liniowe poszczególnych części (mas) robota będą również niewielkie dlatego pomijamy siły bezwładności przez nie wywołane, gdyż ich wpływ jest znikomy.

Dane:

Q1=200 [N] a=0.25 m

Q2=496 [N] b=1.0 m.

Q3=124 [N] c=0.7 m

Q4=20 [N] d=0.2 m.

Q5=958 [N]

Szukane:

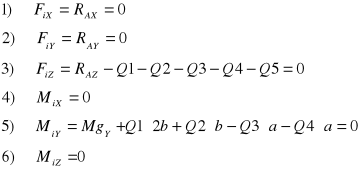
RAX, RAY, RAZ, RBX, RBY=?

Szukane wartości znajduje korzystając z równań równowagi dla układu przestrzennego.

Równania równowagi:

0x01 graphic

Po przekształceniach otrzymujemy:

0x01 graphic

Ostatecznie:

0x01 graphic

Dobór łożysk na słupie

Dane:

d=200 mm

n=2.5[obr/min]

trwałość łożyskowa = 20000 godzi pracy

a) łożysko górne - łożysko kulkowe

Zakładam, że łożyskiem górnym będzie łożysko kulkowe dla którego obciążenie statyczne równoważne wyraża się wzorem

P = X*Fr+Y*Fa

gdzie: Fr = RB=RBX,

Fa=0,

X=1.

Po podstawieniu otrzymujemy:

P = RBX =4300 [N]

Nośność spoczynkowa wyraża się wzorem:
0x01 graphic

gdzie:
SO - współczynnik zabezpieczający łożysko przed zbyt dużym odkształceniem trwałym;
SO = 3.5 dla łożysk wałeczkowych
SO = 2 dla łożysk kulkowych.

0x01 graphic


Dobieram łożysko kulkowe 61840 wg PN-85 M-86100 dla którego CO = 72500 [N], C = 73400 [N].

Sprawdzam, czy łożysko wytrzyma założone 20000 [h]
0x01 graphic

q =3 - dla łożysk kulkowych
0x01 graphic


Trwałość łożyska jest wielokrotnie większa od wymaganej.

b) łożysko dolne

Zakładam, że łożyskiem dolnym będzie łożysko baryłkowe dla którego obciążenie równoważne statyczne obliczam ze wzoru

0x01 graphic

YO - współczynnik obciążeń statycznych; przyjmuję YO = 3.3

Po podstawieniu otrzymuje

0x01 graphic


Obliczam nośność statyczną łożyska ze wzoru

0x01 graphic

SO = 3.5 dla łożysk wałeczkowych


0x01 graphic


Dobieram łożysko baryłkowe 23936C / W33, dla którego CO = 73000 [N]; C = 431000 [N].

Sprawdzam czy łożysko wytrzyma założone 20000 [h].

0x01 graphic

q = 10/3 dla łożysk wałeczkowych

0x01 graphic


Stwierdzam, że trwałość łożyska jest wielokrotnie przekroczona.

6.7 Obliczenia śrub fundamentowych

0x08 graphic

Pomijam siły bezwładności gdyż ich wpływ jest znikomy.

Dane:

Q1=200 [N] a=0.25 m

Q2=496 [N] b=1.0 m.

Q3=124 [N] c=1.1 m

Q4=20 [N]

Q5=9

Szukane:

RX, RY, RZ, MgX, MgY, MgY =?

Szukane wartości znajduje korzystając z równań równowagi dla układu przestrzennego.

Równania równowagi:

0x01 graphic

Po przekształceniach otrzymujemy:

0x01 graphic

Ostatecznie:

0x01 graphic

Jak wynika z równań równowagi siłami działającymi na płytę są:

RAZ - siła dociskająca,
Mgy - moment gnący (wyrywa).

Układ sił z płytą jest przedstawiony poniżej:

0x01 graphic

W tym przypadku nie mamy do czynienia z siłami przesuwającymi płytę , więc wzór na siłę występującą w jednej śrubie fundamentowej jest postaci:

0x01 graphic

gdzie:

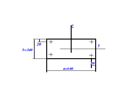
Fst =a*b = 0.64 [m] * 0.34 [m]= 0.2176 [m2]
z =4 - liczba śrub,

0x01 graphic

Po podstawieniu danych liczbowych otrzymujemy:

0x01 graphic

Z warunku wytrzymałościowego dla śruby mamy:

0x01 graphic


Re = 300 [MPa]

x = 2

0x01 graphic


Ponieważ przekrój śruby jest kołem

0x01 graphic

Przekształcając warunek wytrzymałościowy otrzymuję wzór na średnicę rdzenia śruby

0x01 graphic


Średnica rdzenia wynosi 11 [mm]. Dobrałem śrubę M14.

6.8 Obliczenia przegubu siłownika

Siłownik połączony jest poprzez ucho i sworzeń z ramieniem manipulatora. Sworzeń jest pasowany, dlatego obliczono go z warunku na ścinanie. Sworzeń wykonany jest ze stali St5.

ks = 90 [MPa]


0x01 graphic


Warunek wytrzymałościowy

0x01 graphic

Dane:

P = 1730 [N]
kt = 90 [MPa]

Z warunków wytrzymałościowych obliczam średnicę sworznia

0x01 graphic


Przyjmuję średnicę sworznia d = 12 [mm]

6.9 Weryfikacja połączenia spawanego

Weryfikacji poddaję połączenie spawane korpusu górnego z korpusem dolnym manipulatora
robota.

Zakładam spoinę pachwinową o grubości 10 [mm].

0x01 graphic

Dane:

0x01 graphic

  1. Momenty bezwładności

  1. Wskaźniki wytrzymałości

0x01 graphic
0x01 graphic

0x01 graphic



Zgodnie z PN—/B—03200 poszczególne naprężenia muszą spełniać następujący warunek

0x01 graphic


Dla spoiny pachwinowej:

s = 0.8
R = 250 [MPa]

0x01 graphic

  1. Obliczenia naprężeń działających w spoinie

Dla spoiny pachwinowej występują jedynie naprężenia styczne


0x01 graphic
lub 0x01 graphic


gdzie:

F - siła
Fst - pole powierzchni spoiny

0x01 graphic

Naprężenia wynoszą odpowiednio

0x01 graphic


Jak wynika z przeprowadzonych wyżej obliczeń poszczególne naprężenia spełniają warunek wytrzymałościowy.

  1. Wykres i naprężenia wypadkowe

0x08 graphic

Naprężenie wypadkowe wyraża się wzorem

0x01 graphic

Ponieważ zgodnie z PN / B—03200 naprężenie wypadkowe będzie złożeniem kilku naprężeń i musi spełniać warunek


0x01 graphic


wobec tego


0x01 graphic

Z obliczeń wynika, że również warunek na naprężenia wypadkowe jest spełniony.

Opierając się na powyższej weryfikacji można stwierdzić, że połączenie spawane w postaci spoiny pachwinowej wokół obudowy manipulatora wytrzyma obciążenia jakie występują w czasie jego pracy.


1

2

0x01 graphic

0x01 graphic

0x01 graphic

0x01 graphic

0x01 graphic

0x01 graphic

0x01 graphic

0x01 graphic

0x01 graphic

0x01 graphic

0x01 graphic

0x01 graphic

0x01 graphic

0x01 graphic

0x01 graphic

0x01 graphic

0x01 graphic



Wyszukiwarka

Podobne podstrony:
Konstruowanie katalogowe manipulatorów, Automatyka i Robotyka, Semestr 5, PKM, projekty, projekty,
Manipulator, Automatyka i Robotyka, Semestr 5, PKM, projekty, projekty
Manipulator 3, Automatyka i Robotyka, Semestr 5, PKM, projekty, projekty
Projekt pkm2, Automatyka i Robotyka, Semestr 5, PKM, projekty, projekty, Projekty - multum ciulstwa
pkm, Automatyka i Robotyka, Semestr 5, PKM, projekty
pstan, Automatyka i Robotyka, Semestr 5, PKM, projekty, projekty, Projekty - multum ciulstwa, Manip
man r2, Automatyka i Robotyka, Semestr 5, PKM, projekty, projekty, Projekty - multum ciulstwa, Mani
man r3, Automatyka i Robotyka, Semestr 5, PKM, projekty, projekty, Projekty - multum ciulstwa, Mani
Pytania z PKM, Automatyka i Robotyka, Semestr 5, PKM, pytania
obliczenia do robota, Automatyka i Robotyka, Semestr 4, Kinematyka i Dynamika Robotów i Manipulatoró
Kinematyka odwrotna, Automatyka i Robotyka, Semestr 4, Kinematyka i Dynamika Robotów i Manipulatorów
Notacja Denavita, Automatyka i Robotyka, Semestr 4, Kinematyka i Dynamika Robotów i Manipulatorów, p
POLITECHNIKA ŚLĄSKA W GLIWICACH fffffff, Automatyka i Robotyka, Semestr IV, Podstawy Konstrukcji mas
projekt dla rudego, Automatyka i Robotyka, Semestr 4, Podstawy konstrukcji maszyn, Projekt
interpolacja projekt, Automatyka i Robotyka, Semestr 1, Podstawy Sterowania, projekt1-Interpolacja
Analiza cyklogramu szeregowego, Automatyka i Robotyka, Semestr 2, Robotyzacja, projekt, projekt 2
interpolacje projekt2, Automatyka i Robotyka, Semestr 1, Podstawy Sterowania, projekt1-Interpolacja

więcej podobnych podstron