Cel ćwiczenia:
- obserwacja wzajemnego oddziaływania ciał poruszających się w gazie, wywołanego
lepkością gazu,
wyznaczenie współczynnika lepkości gazu
Część teoretyczna:
Współczynnik lepkości jest wielkością charakterystyczną dla gazów i cieczy, przy czym zmienia się on w zależności od temperatury - dla cieczy maleje wraz z jej wzrostem a dla gazów rośnie. Zjawisko lepkości w gazach nazywa się czasami zjawiskiem transportu pędu a wynika to z tego, że cząsteczki gazu przechodząc z warstwy poruszającej się szybciej do warstwy poruszającej się wolniej przenosi swój pęd związany z ruchem uporządkowanym zwiększając pęd warstwy, do której przeniknęła. Określając ile cząsteczek przenika średnio, w jednostce czasu, z jednej warstwy do drugiej, można obliczyć zmianę pędu warstwy - zgodnie z drugą zasadą dynamiki Newtona siłę działającą na daną warstwę:
![]()
A ponieważ ogólnie wartość siły stycznej Ft , zwaną siłą tarcia wewnętrznego można zapisać wzorem:
![]()
gdzie: dv - różnica prędkości warstw
dx - odległość, na której ta różnica występuje
η - współczynnik lepkości
Dokonując obliczeń dochodzimy do wyrażenia na siłę wzajemnego oddziaływania warstw, który porównujemy z poprzednim otrzymując w ten sposób wzór określający współczynnik lepkości:
![]()
gdzie: λ - średnia droga swobodna cząsteczek
u - średnia prędkość ruchu chaotycznego
ρ - gęstość gazu
W praktyce wyznaczanie współczynnika lepkości gazu może być wyznaczone np. metodą wirujących tarczy - w metodzie tej ruch obrotowy dolnej tarczy wywoływany przez silnik elektryczny przenoszony jest poprzez gaz na górną tarczę wywołując jej odchylenie o pewien kąt ϕ. Pomiar kąta skręcenia tarczy wykonuje się odczytując go ze skali z podziałką, na którą pada wiązka laserowa odbita od zwierciadła umieszczonego na górnej tarczy. Kąt skręcenia tarczy odczytujemy ze wzoru:
![]()
gdzie: a - przesunięcie plamki na skali
l - odległość skali od zwierciadła
Pomiar częstości obrotów tarczy jest wykonywany w następujący sposób:
Na osi silnika jest osadzona tarcza z otworami, fotodioda jest oświetlana żarówką, liczba impulsów zarejestrowanych przez licznik częstości jest miarą prędkości kątowej obrotów tarczy. Ostatecznie częstotliwość f obrotów tarczy jest równa częstotliwości fn odczytanej z miernika podzielonej przez liczbę n - otworów w tarczy:
![]()
Niepożądane wibracje tarczy są eliminowane przez wzbudzenie w niej prądów wirowych za pomocą elektromagnesów.
Przestrzeń między tarczą wirującą a tarczą nieruchomą wypełniona jest gazem, który podzielić można na nieskończenie cienkie warstwy równoległe do tarcz. Warstwy te wirują a prędkość kątowa ruchu wirowego zawarta jest w granicach od 0 (dla warstwy przylegającej do warstwy nieruchomej) do prędkości równej prędkości ω=2πf tarczy ruchomej (f - częstość obrotów).
W przypadku ruchu laminarnego warstw zależności prędkości kątowej od współrzędnej x poprowadzonej prostopadle do tarcz jest liniowa. Aby określić moment sił z jaką tarcza wirująca dzięki siłom lepkości gazu, oddziałuje na tarczę nieruchomą wybiera się dwie sąsiednie warstwy gazu. W warstwach tych wybieramy nieskończenie cienkie pierścienie o promieniach r i szerokości dr. Pierścienie te oddziałują wzajemnie na siebie z siłą:
![]()

gdzie: η jest poszukiwanym współczynnikiem lepkości gazu, a wielkości dv i ds. możemy w tym przypadku napisać następująco:
Moment sił oddziaływania:
![]()
zatem:
![]()
Całkując obustronnie ostatnie wyrażenie (w granicach od 0 do R po prawej stronie, gdzie R - promień tarczy), otrzymujemy całkowity moment sił oddziaływania wybranych nieskończenie cienkich warstw o powierzchni równej powierzchni tarczy:
![]()
Przy założeniu liniowego rozkładu prędkości kątowych warstw gazu, lokalny gradient prędkości kątowej dϖ/dx równy jest gradientowi średniemu na całej odległości d między tarczami. Na tej podstawie otrzymujemy ostateczne wyrażenie na moment sił oddziaływania tarczy wirującej na tarczę nieruchomą:
![]()
Moment sił reakcji sprężystej nici, na której zawieszona jest tarcza nieruchoma, dla małych kątów skręcenia, jest proporcjonalny do tego kąta:
M = - Dϕ
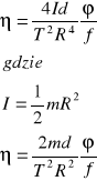
gdzie D jest momentem kierującym zależnym od geometrii i rodzaju materiału nici. Wartość tego momentu można wyznaczyć pośrednio, mierząc okres drgań swobodnych (słabo tłumionych) tarczy zawieszonej na nici. Okres ten, zgodnie z teorią wahadła torsyjnego, dany jest wzorem:
![]()
gdzie: I - moment bezwładności tarczy.
Podstawiając ten wzór do poprzedniego otrzymujemy:
![]()
Współczynnik lepkości gazu można wyznaczyć porównując powyższe wzory:

Część pomiarowa:
1. Pomiar odległości między tarczami.
Jedna podziałka równa jest 25 μm; odległość między tarczami d = 3,8 podziałki ± 0,1 tj.
d = 95 μm ± 0,25 μm.
2.Wyniki pomiarów dla kilku częstotliwości f obrotów tarczy przedstawia poniższa tabela:
Napięcie U |
Częstotliwość fm |
Wychylenie a |
Kąt skręcenia tarczy ϕ |
Δfm |
Δa |
[V] |
[Hz] |
|
|
[Hz] |
|
2,3 |
45 |
2,5 |
1,25 |
|
|
3,7 |
240 |
11,5 |
5,75 |
|
|
5,3 |
478 |
22,5 |
11,25 |
|
|
5,6 |
537 |
25 |
12,5 |
1,2 |
0,5 |
5,6 |
538 |
25 |
12,5 |
0,2 |
0,5 |
5,6 |
537 |
25 |
12,5 |
1,2 |
0,5 |
5,6 |
543 |
25 |
12,5 |
4,8 |
0,5 |
5,6 |
537 |
25 |
12,5 |
1,2 |
0,5 |
5,6 |
538 |
25 |
12,5 |
0,2 |
0,5 |
5,6 |
538 |
25 |
12,5 |
0,2 |
0,5 |
5,6 |
539 |
25 |
12,5 |
0,8 |
0,5 |
5,6 |
538 |
25 |
12,5 |
0,2 |
0,5 |
5,6 |
537 |
25 |
12,5 |
1,2 |
0,5 |

m = (41,7 ± 0,1) [g] - masa tarczy
R = (2,48 ± 0,01) [cm] - promień tarczy
Uc= (10 ± 0,1) [V] - napięcie na cewkach
L = (1 ± 0,05) [m] - odległość podziałki od tarczy

Wartość średnia częstotliwości odczytanej z miernika przy ustalonym już napięciu na ok. 5,6 [V] wynosi: fm = (538,2 ± 1,1) Hz.
Ostatecznie częstotliwość f obrotów tarczy jest równa średniej częstotliwości fm odczytanej z miernika podzielonej przez liczbę otworów n = 24 w tarczy:
f = 538,2/24 = (22,425 ± 0,045) Hz
Kąt skręcenia tarczy obliczyć można ze wzoru (j.w.)
φ = 25/2 . 1 = 12,5° ± 0,25°
![]()
Aby zmierzyć okres T drgań swobodnych tarczy należało ustawić odbite światło lasera na środku oddalonej o ok. 1 m podziałki, następnie włączając silnik spowodować odchylenie punktu świetlnego nieco więcej niż połowa podziałki, wyłączyć jednocześnie silnik i cewki oraz zmierzyć czas dziesięciu wahnięć punktu i dzieląc przez dziesięć otrzymać okres T.
Podstawiając ostatecznie do wzoru na współczynnik lepkości otrzymujemy:
η = (2 . 41,7 . 10-3 . 95 . 10-6 . 12,5)/((5,277)2 . (0,0248)2 . 22,425) = 0,00025788 [Ns/m²]
Błąd tego pomiaru obliczamy za pomocą różniczki logarytmicznej:
Δη = ( Δm /m + Δd /d + Δφ /φ + ΔT /T + ΔR/R + Δf/f). η
czyli:
Δη = (0,1/41,7 + 0,25/95 + 0,25/12,5 + 0,1/5,277 + 0,01/2,48 + 0,045/22,425) .
. 0,00025788 = 0,000008 [Ns/m²]
Wnioski:
Podczas pomiaru współczynnika lepkości gazu metodą wirujących tarczy podstawowymi czynnikami wpływającymi na różnicę uzyskanych wyników z wynikami tablicowymi mogły być np.: czynniki ludzkie (błąd odczytu, drgania przenoszone na przyrząd pomiarowy lub niedokładne ustawienia układów pomiarowych), czynniki zewnętrzne (zmiany temperatury, zanieczyszczenie powietrza) itp.
1
![]()
![]()
![]()
![]()
![]()
![]()

![]()
![]()
![]()
![]()
![]()
![]()

![]()
![]()
